Род Hydrocharis L. (Hydrocharitaceae): экология сообществ, толерантность к абиотическим факторам
- Авторы: Ефремов А.Н.1, Свириденко Б.Ф.2, Ли Ч.Ч.3, Местерхази А.4, Чатчуанг Э.Н.5, Тома Ц.6, Гришина В.С.2, Мурашко Ю.А.7
-
Учреждения:
- Научный центр фундаментальных и прикладных проблем биоэкологии и биотехнологии Ульяновского государственного педагогического университета
- Омский государственный педагогический университет
- Ключевая лаборатория водной ботаники и экологии водоразделов, Уханьский ботанический сад Китайской академии наук
- Национальный парк Хортобадь
- Национальный гербарий Камеруна Института сельскохозяйственных исследований
- Независимый исследователь
- Сургутский государственный университет
- Выпуск: № 3 (2023)
- Страницы: 325-336
- Раздел: ВЫСШАЯ ВОДНАЯ РАСТИТЕЛЬНОСТЬ
- URL: https://journal-vniispk.ru/0320-9652/article/view/134921
- DOI: https://doi.org/10.31857/S0320965223030051
- EDN: https://elibrary.ru/PHAWZY
- ID: 134921
Цитировать
Полный текст
Аннотация
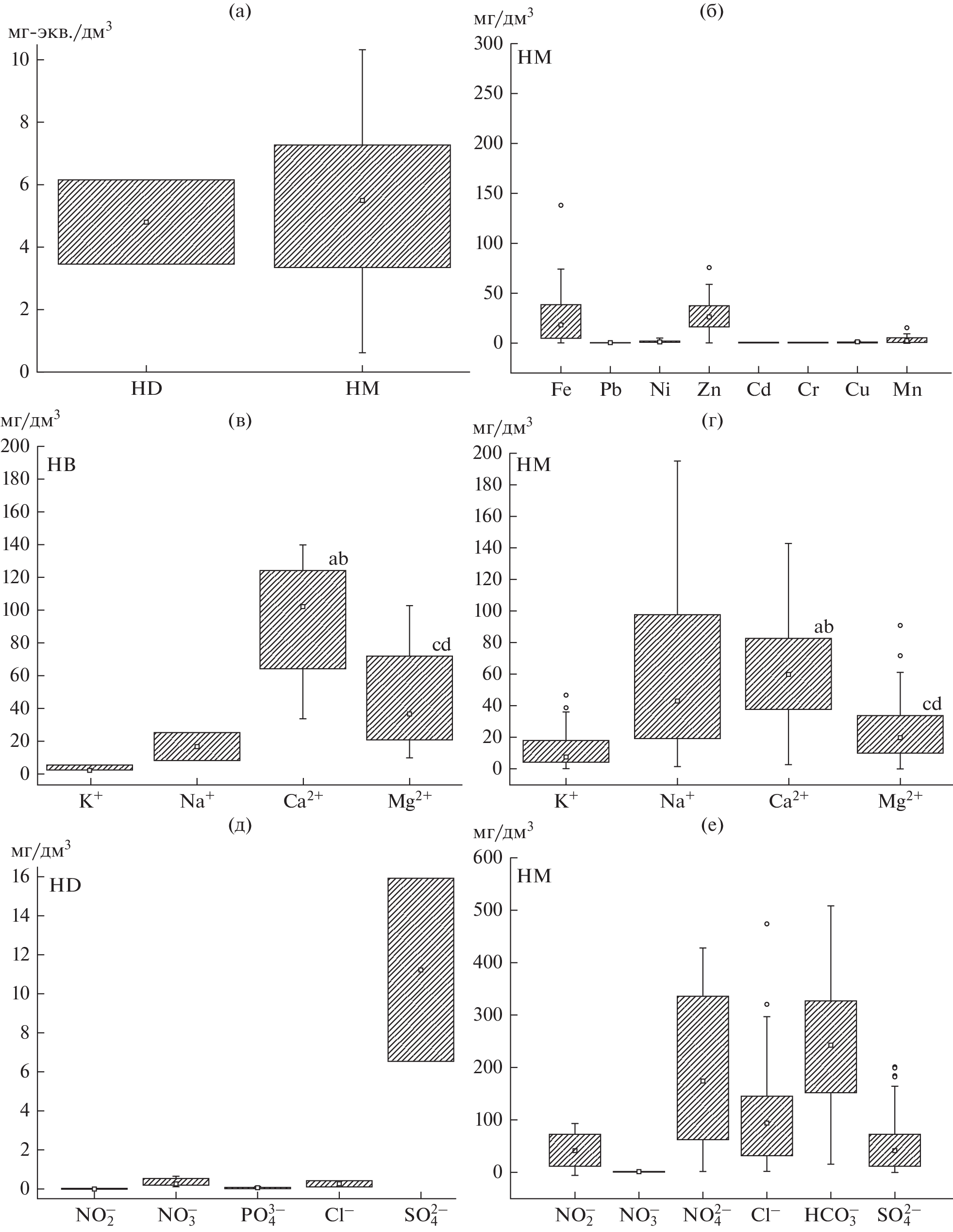
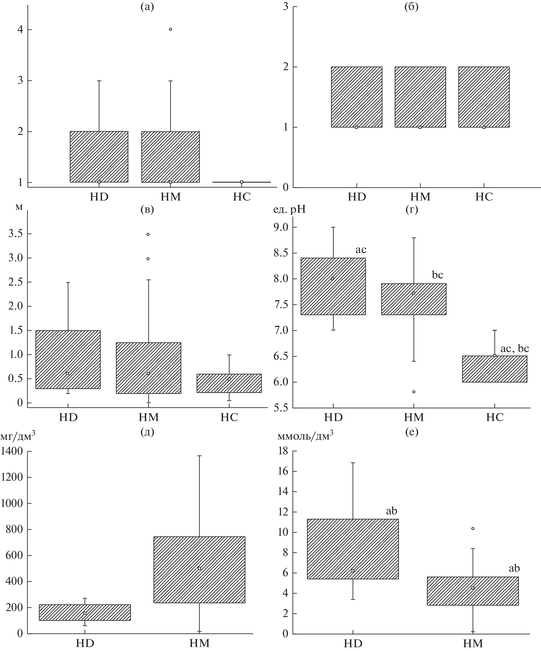
Род Hydrocharis L. объединяет свободноплавающие, изредка укореняющиеся облигатные плейстофиты и укореняющийся гидрогелофит, являющиеся эдификаторами и субэдификаторами в сообществах пресноводной растительности. Насколько экологически сходны близкородственные виды? Установлено, что Hydrocharis dubia (Blume) Backer. и H. morsus-ranae L. – условно-пресноводные алкалифильные мезоевтрофные, орто-, мезоаллювиофильные детрито-, псаммопелофилы. Экологически обособлен H. chevalieri (De Wild.) – пресноводный ацидо-нейтрофильный мезо-, мезоевтрофный, орто-мезоаллювиофильный индиферентный к механическому составу донных отложений вид. Ценокомплекс H. chevalieri отличается обилием гелофитных группировок, в составе ценокомплекса двух других видов ключевое значение играют гидатофитные и плейстофитные группировки. Сообщества с участием видов рода Hydrocharis характеризуются простой синморфологией, относительно высокой видовой насыщенностью и высокой долей малoобильных видов.
Ключевые слова
Об авторах
А. Н. Ефремов
Научный центр фундаментальных и прикладных проблем биоэкологии и биотехнологии Ульяновского государственного педагогического университета
Автор, ответственный за переписку.
Email: stratiotes@yandex.ru
Россия, Ульяновск
Б. Ф. Свириденко
Омский государственный педагогический университет
Email: stratiotes@yandex.ru
Россия, Омск
Чжи Чжун Ли
Ключевая лаборатория водной ботаники и экологии водоразделов, Уханьский ботанический садКитайской академии наук
Email: stratiotes@yandex.ru
Китай, Ухань
А. Местерхази
Национальный парк Хортобадь
Email: stratiotes@yandex.ru
Венгрия, Дебрецен
Э. Нгансоп Чатчуанг
Национальный гербарий Камеруна Института сельскохозяйственных исследований
Email: stratiotes@yandex.ru
Камерун, Яунде
Ц. Тома
Независимый исследователь
Email: stratiotes@yandex.ru
Польша, Катовице
В. С. Гришина
Омский государственный педагогический университет
Email: stratiotes@yandex.ru
Россия, Омск
Ю. А. Мурашко
Сургутский государственный университет
Email: stratiotes@yandex.ru
Россия, Сургут
Список литературы
- Александрова В.Д. 1969. Классификация растительности: обзор принципов классификации и классификационных схем в разных геоботанических школах. Л.: Наука.
- Бобров А.А., Чемерис Е.В. 2006. Синтаксономический обзор растительных сообществ ручьев, малых и средних рек Верхнего Поволжья // Матер. VI Всерос. шк.-конф. по водным макрофитам “Гидроботаника 2005”. Рыбинск: ОАО Рыбинский Дом печати. С. 116.
- Василевич В.И. 1985. О методах классификации растительности // Ботан. журн. Т. 70(12). С. 1596.
- Вехов Н.В. 1994. Расширение ареалов водных сосудистых растений в связи с антропогенным воздействием в таежной зоне Архангельской области (Россия) // Ботан. журн. Т. 79(5). С. 72.
- Ефремов А.Н., Свириденко Б.Ф. 2012. Ресурсы Stratiotes aloides (Hydrocharitaceae) в долинах рек бассейна Среднего Иртыша // Раст. ресурсы. № 8(2). С. 202.
- Катанская В.М., Распопов И.М. 1983. Методы изучения высшей водной растительности // Руководство по методам гидробиологического анализа поверхностных вод и донных отложений. Л.: Гидрометеоиздат. С. 129.
- Киприянова Л.М. 2019. Водная и прибрежно-водная растительность юго-востока Западной Сибири: синтаксономия и эколого-географические закономерности распространения: Дис. … докт. биол. наук: 03.02.01 – Ботаника. Барнаул.
- Кривохарченко И.С., Жмылев П.Ю., Белякова Г.А. 1995. Водокрас лягушачий // Биологическая флора Московской области. Вып. 11. М.: Аргус. С. 56.
- Лихачева Т.В. 2007. Эколого-фитоценотические закономерности распределения растительного покрова водохранилищ Удмуртской Республики: Дис. … канд. биол. наук: 03.02.16 – Экология. Ижевск.
- Макрофиты – индикаторы изменений природной среды. 1993. Киев: Наук. думка.
- Папченков В.Г. 2001. Растительный покров водоемов и водотоков Среднего Поволжья. Ярославль: ЦМП МУБиНТ.
- Свириденко Б.Ф. 2000. Флора и растительность водоемов Северного Казахстана. Омск: Изд-во ОмГПУ.
- Свириденко Б.Ф., Мамонтов Ю.С., Свириденко Т.В. 2011. Использование гидромакрофитов в комплексной оценке экологического состояния водных объектов Западно-Сибирской равнины. Омск: Амфора.
- Хитун О.В., Ребристая О.В. 1998. Растительность и эколого-топологическая структура флоры окрестностей мыса Хноросале (арктические тундры Гыданского полуострова) // Бот. журн. № 83 (12). С. 21.
- Чепинога В.В. 2015. Флора и растительность водоемов Байкальской Сибири. Иркутск: Ин-т географии СО РАН.
- Ямалов С.М., Голованов Я.М., Бактыбаева З.Б., Петров С.С. 2014. Водная растительность Южного Урала (Республика Башкортостан). I. Классы Lemnetea и Charetea // Раст. России. № 24. С. 124.
- Cao Q.-J., Mei F.-F., Wang L. 2017. Population genetic structure in six sympatric and widespread aquatic plants inhabiting diverse lake environments in China // Ecol. Evol. V. 7(15). P. 1. https://doi.org/10.1002/ece3.3141
- Catling P.M., Dore W.G. 1982. Status and identification of Hydrocharis morsus-ranae and Limnobium spongia (Hydrocharitaceae) in Northeastern North America // Rhodora. V. 84(840). P. 523.
- Catling P.M., Mitrow G., Haber E. et al. 2003. The biology of Canadian weeds. 124. Hydrocharis morsus-ranae L. // Can. J. Plant Sci. V. 83. P. 1001.
- Cook C.D.K., Lüönd R. 1982. A revision of the genus Hydrocharis (Hydrocharitaceae) // Aquat. Bot. V. 14. P. 177. https://doi.org/10.1016/0304-3770(82)90097-3
- Cook C.D.K., Urmi-König K. 1983. A revision of the genus Limnobium including Hydromystria (Hydrocharitaceae) // Aquat. Bot. V. 17. P. 1.
- Efremov A.N., Grishina V.S., Kislov D.E. et al. 2020. The genus Hydrocharis L. (Hydrocharitaceae): distribution features and conservation status // Botanica Pacifica. A Journal of Plant Science and Conservation. V. 9(2). P. 83. https://doi.org/10.17581/bp.2020.09215
- Efremov A.N., Grishina V.S., Toma C. et al. 2021. Comparative morphology of the genus Hydrocharis L. (Hydrocharitaceae) // Inland Water Biol. V. 14 (6). P. 638. https://doi.org/10.1134/S1995082921060031
- Ganie A.H., Bashir A., Khuroo A.A. et al. 2016. A new record of an invasive aquatic plant Hydrocharis morsus-ranae (Hydrocharitaceae), reaching to the Kashmir Himalaya // J. Japanese Bot. V. 91. P. 100.
- Guiry M.D., Guiry G.M. 2022. AlgaeBase. World-wide electronic publication, National University of Ireland, Galway. https://www.algaebase.org (дата обращения: 12.02.2022).
- Haynes R.R. 2001. Hydrocharitaceae // Flora of Thailand. Bangkok. V. 7. P. 365.
- Jacops S.W.L., McColl K.A. 2011. Hydrocharitaceae // A. Wilson (ed.) Flora of Australia. V. 39. Alismatales to Arales. Department of Sustainability, Environment, Water, Population and Communities. ABRS/CSIRO, Melbourne, Australia.
- Kaplan Z., Danihelka J., Chrtek J., Jr. et al. 2018. Distributions of vascular plants in the Czech Republic. Part 7 // Preslia. V. 90. P. 425.
- Kim G.-Y., Kim J.Y. 2014. Standing crop distribution of aquatic plants in the west Nakdong River and Riparian Wetlands in the Nakdong River // Korean J. Environ. Ecol. V. 47(1). P. 62. https://doi.org/10.11614/KSL.2014.47.1.062
- Li Zh.-Zh., Gichira A.W., Efremov A. et al. 2022. Plastome phylogenomics and historical biogeography of aquatic plant genus Hydrocharis (Hydrocharitaceae) // BMC Plant Biology. V. 22. P. 106. https://doi.org/10.1186/s12870-022-03483-2
- Lim J.-Ch., An K.-Wh., Lee Ch.-W. et al. 2016. Distribution patterns of hydrophytes by water depth distribution in Mokpo of Upo Wetland // Korean J. Environ. Ecol. V. 30. № 3. P. 308. https://doi.org/10.13047/KJEE.2016.30.3.308
- Lobato‑de Magalhães T., Murphy K., Efremov A. et al. 2022. How on Earth did that get there? Biogeographic and human influences on the global origins and distribution of aquatic macrophytes // Hydrobiologia. https://doi.org/10.1007/s10750-022-05107-0
- Lolu A.J., Shah M.A., Reshi Z.A. et al. 2016. Study on phytosociology and biomass changes (above-ground and below-ground) of emergent macrophytes in Hokersar wetland of Kashmir Himalaya // J. Environ. Sci., Toxicol. Food Technol. V. 10(11). P. 20.
- Lubini A. 1983. Association herbeuse aquatique à Hydrocharis chevalieri dans la région de Kisangani (Haut-Zaïre) // Bulletin van de Nationale Plantentuin van België. V. 53 (3/4). P. 331.
- Murphy K., Efremov A., Davidson T.A. et al. 2019. World distribution, diversity and endemism of aquatic macrophytes // Aquat. Bot. V. 158. P. 103.
- Nowell A.A., Fletcher A.W. 2006. Food transfers in immature wild western lowland gorillas (Gorilla gorilla gorilla) // Primates. V. 47. P. 294.
- Oki Y. 1994. Integrated management of aquatic weeds in Japan // Integrated management of paddy and aquatic weeds in Asia. Proceedings of an international seminar, Tsukuba, Japan, 19–25 October 1992. P. 96.
- Passarge H. 1996. Pflanzengesellschaften Nordostdeutsch-lands. 1. Hydro- und Therophytosa. Berlin: J. Cramer.
- Pindel Z., Wozniak L. 1998. Natural conditions for presence of some ornamental water and peatbog plants. Fol Univ Agric Stetin 187 // Agricultura. V. 70. P. 83.
- Schweingruber F.H., Kucerová A., Adamec L., Doležal Ji. 2020. Anatomic atlas of aquatic and wetland plant stems. Cham: Springer Nature.
- Skwierawski A., Skwierawska M. 2013. The role of Hydrocharitetum morsus-ranae in shaping the chemical composition of Surface Waters // Pol. J. Environ. Stud. 22 (6). P. 1825.
- Siraj S., Yousuf A.R., Parveen M. 2011. Spatio-temporal dynamics of macrophytes in relation to ecology of a Kashmir Himalayan Wetland // Int. Res. J. Biochem. Bioinfor. V. 1(4). P. 084.
- Sosef M.S.M. 2017. Hydrocharitaceae // Flore du Gabon. V. 50: Anacardiaceae, Hydrocharitaceae, Piperaceae. Leiden: Joseph Margraf. P. 52.
- Symoens J.-J. 2015. Hydrocharitaceae // Flore d’Afrique Centrale. Meise: Jardin botanique Meise.
- Temgoua L.F., Momo Solefack M.C., Mevoungou M.-V. et al. 2018. Caractérisation de la végétation des clairières sur sol hydromorphe du Parc National de Lobéké, Est-Cameroun // Int. J. Biol. Chem. Sci. V. 12(3). P. 1364.
- Toivonen H. 1985. Changes in the pleustic macrophyte flora of 54 small Finnish lakes in 30 years // Ann. Bot. Fenn. V. 22(1). P. 37. http://www.jstor.org/stable/23725290
- Tsuchiya T. 1989. Growth and biomass turnover of Hydrocharis dubia L. cultured under different nutrient conditions // Ecol. Res. V. 4. P. 157.
- Vegetace Česke republiky. 3, Vodni a mokřadni vegetace = Vegetation of the Czech Republic. 3, Aquatic and wetland vegetation. 2011. Praha: Academia. Vyd. 1.
- Zhu B., Ottaviani C.C., Naddafi R. et al. 2018. Invasive European frogbit (Hydrocharis morsus-ranae L.) in North America: an updated review 2003–2016 // J. Plant Ecol. V. 11(1). P. 17. https://doi.org/10.1093/jpe/rtx031
- Zutshi D.P., Vass K.K. 1971. Ecology and Production of Salvinia natans Hoffim; in Kashmir // Hydrobiologia. V. 38. № 2. P. 303.






