Радиоэкологические исследования озерной лягушки (Pelophylax ridibundus) в водоемах Среднего Урала
- Авторы: Чеботина М.Я.1, Гусева В.П.1, Берзин Д.Л.1
-
Учреждения:
- Институт экологии растений и животных Уральского отделения Российской академии наук
- Выпуск: Том 17, № 3 (2024)
- Страницы: 469-480
- Раздел: ВОДНАЯ ТОКСИКОЛОГИЯ
- URL: https://journal-vniispk.ru/0320-9652/article/view/266955
- DOI: https://doi.org/10.31857/S0320965224030111
- EDN: https://elibrary.ru/ZPCEPQ
- ID: 266955
Цитировать
Полный текст
Аннотация
Исследовано накопление радионуклидов 90Sr, 134Cs и 137Cs озерной лягушкой (Pelophylax ridibundus Pall., 1771), обитающей в водоемах Среднего Урала. Отмечена вариабельность размерно-массовых показателей и концентраций радионуклидов в животных на обследованной территории. В отдельных представителях амфибий выявлены повышенные концентрации 137Cs и 134Cs по сравнению со средними значениями. На большом статистическом материале установлено достоверное снижение концентрации 90Sr в лягушках с увеличением сырой массы тела. Анализ полученных данных по концентрациям 90Sr и 137Cs в лягушках разного пола не выявил достоверных различий в накоплении обоих радионуклидов между самцами и самками, а также в накоплении 90Sr полосатыми (striata) и бесполосыми амфибиями. Показано, что поступление радионуклидов 90Sr и 137Cs из воды в организм животных значительно больше, чем из грунта, с увеличением концентрации радионуклида в среде обитания коэффициенты их перехода в организм животных снижаются.
Ключевые слова
Полный текст
ВВЕДЕНИЕ
Интерес к озерным лягушкам (Pelophylax ridibundus Pall., 1771) как объекту научных исследований в значительной степени вызван их использованием для производства пищевой продукции в ряде стран мира (Китай, Вьетнам, Франция, Бельгия, Корея, Италия, Испания, Голландия и др.), где этих амфибий активно культивируют в искусственных и природных водоемах. Мировой вылов животных достигает сотни тысяч тонн в год (Omoniy et al., 2012; Желанкин, 2020). Обеспечение радиационной чистоты продукции из природных водоемов — важные условие использования амфибий для пищевых целей. Кроме того, важность их исследования объясняется тем, что лягушки служат комплексными индикаторами экологического состояния окружающей среды, поскольку большинство их видов обитает и в водной, и в наземной среде. Кожа лягушек обладает высокой чувствительностью из-за ее проницаемости для воды, газов, а также радиоактивных и химических загрязнителей, присутствующих в среде обитания.
Проблема накопления радионуклидов озерной лягушкой в Уральском регионе представляет особый интерес в связи с широким использованием радионуклидов и ионизирующих излучений в различных областях производственной деятельности человека, вследствие чего возможно неконтролируемое поступление их в окружающую среду, в том числе в природные водоемы. На территории Уральского региона расположены крупнейшие в стране энергетические объекты (ПО “Маяк”, Белоярская атомная электростанция), произошла тяжелейшая радиационная катастрофа, оставившая после себя Восточно-Уральский радиоактивный след, проводились массовые подземные технологические взрывы, испытания ядерного оружия, сосредоточено производство и хранение ядерных боеприпасов, перерабатывается ядерное горючее, ведется добыча и первичная переработка урана и тория. Кроме того, регион испытывает загрязнение от природных радиоактивных источников. На фоне радиоактивного загрязнения окружающей среды в Уральском регионе регистрируют сильное загрязнение тяжелыми металлами. В связи с этим, в ряде промышленных центров и более удаленных территорий происходит загрязнение атмосферного воздуха, поверхностных и подземных вод, почв, растет заболеваемость населения (Первушкина, 1998; Уткин и др., 2004; Калинкин и др., 2020).
Для решения радиоэкологических проблем, возникших с развитием атомной промышленности на Урале, в ряде крупных городов (Екатеринбург, Челябинск, Озерск и др.) созданы научные центры для систематического наблюдения за состоянием окружающей среды в регионе и проведения фундаментальных научных исследований по данной проблеме. Результатом этих исследований служат монографии (Отдаленные…, 2000; Мокров, 2002, 2003; Уткин и др., 2004; Смагин, 2013; Киселев и др., 2016 и др.) и большое количество статей, опубликованных в научных журналах. Объектами исследований в работах служили различные природные среды (вода, воздух, почвы, грунты), представители растительного и животного мира (наземные и водные растения, лишайники, мышевидные грызуны, рыбы, планктон, скот и пр.), а также человек. В то же время радиоэкологические исследования озерной лягушки в Уральском регионе единичны и ограничиваются нашими работами (Берзин и др., 2020; Чеботина и др., 2021).
Озерная лягушка, один из широко распространенных чужеродных видов амфибий, случайно попала в водоемы Уральского региона и расселилась на значительной его территории. Считается, что на Урале озерная лягушка появилась в 70-е годы прошлого столетия (Топоркова и др., 1979; Вершинин, 2007а. Экологические особенности этого вида изучены и описаны в работах (Иванова, 1995; Вершинин, Иванова, 2006; Иванова, Жигальский, 2011). Благодаря высокой экологической пластичности, озерная лягушка широко распространена в водных экосистемах различных географических зон мира. Излюбленным местом ее обитания служат зоны подогрева водоемов–охладителей тепловых и атомных электростанций, где создаются благоприятные условия для жизни и размножения в течение всего года. Однако в условиях умеренных широт она благополучно живет и размножается при более низких температурах.
Цель работы — дать сравнительную оценку накопления радионуклидов 90Sr, 134Cs и 137Cs озерной лягушкой P. ridibundus, обитающей в водных объектах Среднего Урала.
МАТЕРИАЛ И МЕТОДЫ ИССЛЕДОВАНИЯ
Работу проводили в конце июля 2014–2019 гг. Материалом служили озерные лягушки, вода, водные растения, грунт в водных объектах Среднего Урала в пределах Свердловской обл. В их числе — водоем-охладитель Белоярской АЭС (БАЭС) (Белоярское водохранилище), водоемы-охладители Рефтинской и Верхнетагильской ГРЭС (Рефтинское и Верхнетагильское водохранилища), Верх-Нейвинское водохранилище, р. Тагил и другие более мелкие водные экосистемы (рис. 1). Ниже приведена краткая характеристика крупных водоемов.
Рис. 1. Карта района исследований. 1 – Белоярское водохранилище, промливневый канал (ПЛК) БАЭС; 2 – зона сброса подогретой воды из систем охлаждения атомной электростанции в Белоярское водохранилище; 3 – водоем в лесу за четвертым энергоблоком БАЭС; 4 – Рефтинское водохранилище, прибрежная часть водоема напротив Рефтинской ГРЭС; 5 – Рефтинское водохранилище, теплый канал; 6 – Рефтинское водохранилище, канал напротив гидроузла; 7 – Верхнетагильское водохранилище в районе ГРЭС; 8 – р. Тагил за плотиной Верхнетагильского водохранилища; 9 – изолированный водоем ниже плотины недалеко от точки 8; 10 – Верх-Нейвинское водохранилище в районе железнодорожного вокзала; 11 – небольшой водоем между сбросными каналами Уральского электрохимического комбината.
Белоярское водохранилище — водоем-охладитель Белоярской АЭС (БАЭС) — образовано в 1959–1963 гг. путем зарегулирования русла р. Пышма в 75 км от ее истока. Протяженность водоема ~20 км, ширина на уровне АЭС ~3 км. Глубина по фарватеру р. Пышма 15–20 м, средняя глубина 8–9 м. Площадь зеркала водоема ~47 км2. Белоярская атомная электростанция расположена на левом берегу водохранилища в 7 км от плотины. Пущена в эксплуатацию в 1964 г., первый и второй энергоблоки станции к настоящему времени уже выведены из эксплуатации. Сейчас на БАЭС находятся в эксплуатации два энергобока — третий (работает с 1980 г.) и четвертый (пущен в 2014 г.). За время работы первых трех энергоблоков основной путь поступления радионуклидов в Белоярское водохранилище — промливневый канал (ПЛК), куда сбрасывают дебалансные воды станции (воды, прошедшие спецводоочистку, воды спецпрачечных, душевых, талые и ливневые воды с территории станции). Кроме того, в канал поступают воды с соседнего предприятия Института реакторных материалов (ИРМ), где работает экспериментальный реактор. Из растений в канале преобладают рдест гребенчатый и кладофора, реже встречаются ряска, рдест курчавый и элодея. Планктон представлен 30 видами фито- и 10 видами зоопланктона. В канале много мальков рыб, кроме того, встречаются карась, лещ, чебак, окунь, отмечено обилие озерных лягушек, особенно в период размножения.
Рефтинское водохранилище — водоем-охладитель Рефтинской ГРЭС, крупнейшей тепловой электростанции России, расположенной в 100 км северо-восточнее г. Екатеринбург. Площадь водоема 25.3 км2, максимальная и средняя длины 14 и 4 км, максимальная и средняя глубины 22 и 5 м соответственно. Рефтинское водохранилище создано в 1968 г. на р. Рефт, левого притока р. Пышма. Водохранилище используют для технического водоснабжения Рефтинской ГРЭС. Температура воды в период наибольшего прогрева превышает естественную на 4.3–4.8°С, а перепад температур в различных частях водоема из-за сброса подогретой воды может достигать 10°С. Особенности экологии озерной лягушки, интродуцированной в Рефтинское водохранилище, описаны в работах (Большаков, Иванова, 2013; Иванова, 2017).
Верхнетагильское водохранилище образовано в 1960 г. в районе слияния рек Тагил и Вогулка. Площадь зеркала водоема 3.5 км2, средняя глубина 3.8 м, максимальная глубина 5 м. Водохранилище служит в качестве водоема-охладителя Верхнетагильской ГРЭС. Подогретую воду используют для обеспечения горячей водой населения и предприятий г. Верхний Тагил. По характеру теплового баланса Верхнетагильское водохранилище относится к категории водоемов с сильным перегревом, поскольку температура воды в нем постоянно превышает температуру воды в естественных водоемах на ≥6°С. Озерная лягушка была завезена в водохранилище из Краснодарского края в 80-х годах прошлого столетия при зарыблении водоема белым амуром (Топоркова и др., 1979; Вершинин, 2007а).
Верх-Нейвинское водохранилище − искусственно созданный в 1762 г. пруд в верховьях р. Нейва. Водохранилище расположено в юго-западной части Уральского электрохимического комбината Свердловской обл. Его площадь 13 км2, средняя и максимальная глубины — 3 и 9 м соответственно. Пруд питается стоком мелких рек длиной ≤10 км. На северо-западном берегу водоема находятся объекты транспортного и промышленного назначения: железнодорожная станция Верх-Нейвинск, подъездные пути и промплощадка Верх-Нейвинского завода (ныне – филиал “Производство сплавов цветных металлов” АО “Уралэлектромедь”), а также насосная станция. По юго-восточной границе Верх-Нейвинского завода расположена плотина пруда, здесь из него вытекает р. Нейва. Восточный берег водоема занят лесами, за которыми простирается цепь гор Верх-Исетского горного массива. В водоеме много заболоченных мест. Преобладающие виды рыб — щука, плотва, окунь, лещ, налим, карась.
В процессе выполнения работы лягушек ловили при помощи водного сачка, после чего усыпляли с помощью эфира. Растения и рыбу отбирали в трех повторностях, каждая из которых была 2–3 кг. Грунт отбирали пробоотборником на глубину 0–5 см. Пробы воды по 70 л в каждой точке наблюдений подкисляли соляной кислотой. После отбора все пробы транспортировали в лабораторию. Лягушек взвешивали, определяли длину, массу тела, пол и принадлежность к морфе striata. Все пробы после высушивания и озоления при температуре 500°С анализировали на содержание в них радионуклидов. Концентрацию 90Sr в пробах золы определяли радиохимическим методом (Трапезников и др., 2008). Радиометрию полученных осадков проводили на малофоновой установке УМФ-2000 (Россия) в трех повторностях при статистической ошибке счета 10–15%. Концентрацию 134, 137Cs определяли с помощью многоканальных γ-анализаторов фирмы “Canberra-Packard” и “ORTEC” (США) при ошибке измерений ≤10–20%. При проведении радиометрии на 90Sr каждую лягушку анализировали отдельно, на 134Cs и 137Cs — две-три пробы объединяли по половому признаку для повышения точности определений.
В процессе статистической обработки данных коэффициенты корреляции Пирсона и коэффициенты вариации рассчитывали с помощью пакета прикладных программ “Statistica v. 6.0”, StatSoft, 2001, США, лицензия № AXXR003A622407FAN8. Различия считали значимыми на уровне p <0.05. Среднюю квадратическую ошибку вычисляли с использованием таблиц Л.Б. Стрелкова (1966).
РЕЗУЛЬТАТЫ ИССЛЕДОВАНИЯ
Получены морфометрические показатели и коэффициенты вариации для озерных лягушек из различных мест обитания (табл. 1). В большинстве точек наблюдений озерные лягушки характеризовались близкими показателями длины (70–86 мм) и массы тела (53–62 г), за исключением животных из двух небольших почти изолированных водоемов (точки 3 и 9), где их масса тела была заметно больше (94–102 г). Возможно, это связано с благоприятными условиями жизни лягушек в указанных водоемах (отсутствием быстрого течения воды и штормовых волн, хорошим прогревом воды при небольшой глубине водоема, обильной пищевой базой и пр.).
Таблица 1. Характеристика озерной лягушки в точках отбора проб
Точки | Координаты | n | Длина тела, мм | Сырая масса тела, г | ||||
с.ш. | в.д. | ♀ | ♂ | |||||
1 | 56°51'10'' | 61°18'16'' | 11 | 32 | 79.4 ± 1.3 57.1–93.5* | (11) | 56.6 ± 2.7 21.5−105.5 | (34) |
2 | 56°49'53'' | 61°19'03'' | 11 | 39 | 75.2 ± 1.2 48.2–86.4 | (11) | 50.9 ± 1.7 19.1–80.8 | (24) |
3 | 56°53'11'' | 61°16'33'' | 3 | 18 | 95.5 ± 1.9 86.0–118.1 | (13) | 102.2 ± 6.8 190.1–75.6 | (33) |
4 | 57°10'13'' | 61°72'71'' | 9 | 33 | 70.6 ± 4.8 57.4−90.0 | (14) | 55.1 ± 5.0 15.0−96.6 | (31) |
5 | 57°06'18'' | 61°42'21'' | 34 | 20 | 86.2 ± 1.6 60.1–115.2 | (15) | 62.4 ± 3.1 26.0–130.2 | (43) |
6 | 57°06'25'' | 61°45'49'' | 18 | 13 | 73.3 ± 2.0 55.2–100.1 | (15) | 39.2 ± 3.4 14.4–92.6 | (53) |
7 | 57°21'21'' | 59°58'03'' | 21 | 15 | 77.3 ± 1.4 56.0−92.1 | (12) | 53.7 ± 2.4 19.1–79.9 | (29) |
8 | 57°22'43'' | 59°57'46'' | 12 | 21 | 85.6 ± 3.2 63.5–140.1 | (14) | 58.7 ± 3.2 31.2 ± 108.0 | (31) |
9 | 57°23'06'' | 59°57'41'' | 2 | 12 | 72.8 ± 8.3 10.1−110.8 | (39) | 94.4 ± 8.3 12.0−113.1 | (31) |
10 | 57°15'27'' | 60°07'04'' | 12 | 23 | 86.3 ± 2.2 60.1–115.0 | (11) | 66.6 ± 3.8 23.9–118.9 | (25) |
11 | 57°18'58'' | 60°05'01'' | 4 | 46 | 81.3 ± 1.1 67.2−102.1 | (11) | 53.6 ± 2.8 30.6−121.3 | (33) |
Примечание. Над чертой — среднее и его ошибка, под чертой — размах колебаний признака, в скобках — коэффициент вариации, %, * − разброс данных; n — количество особей, экз.
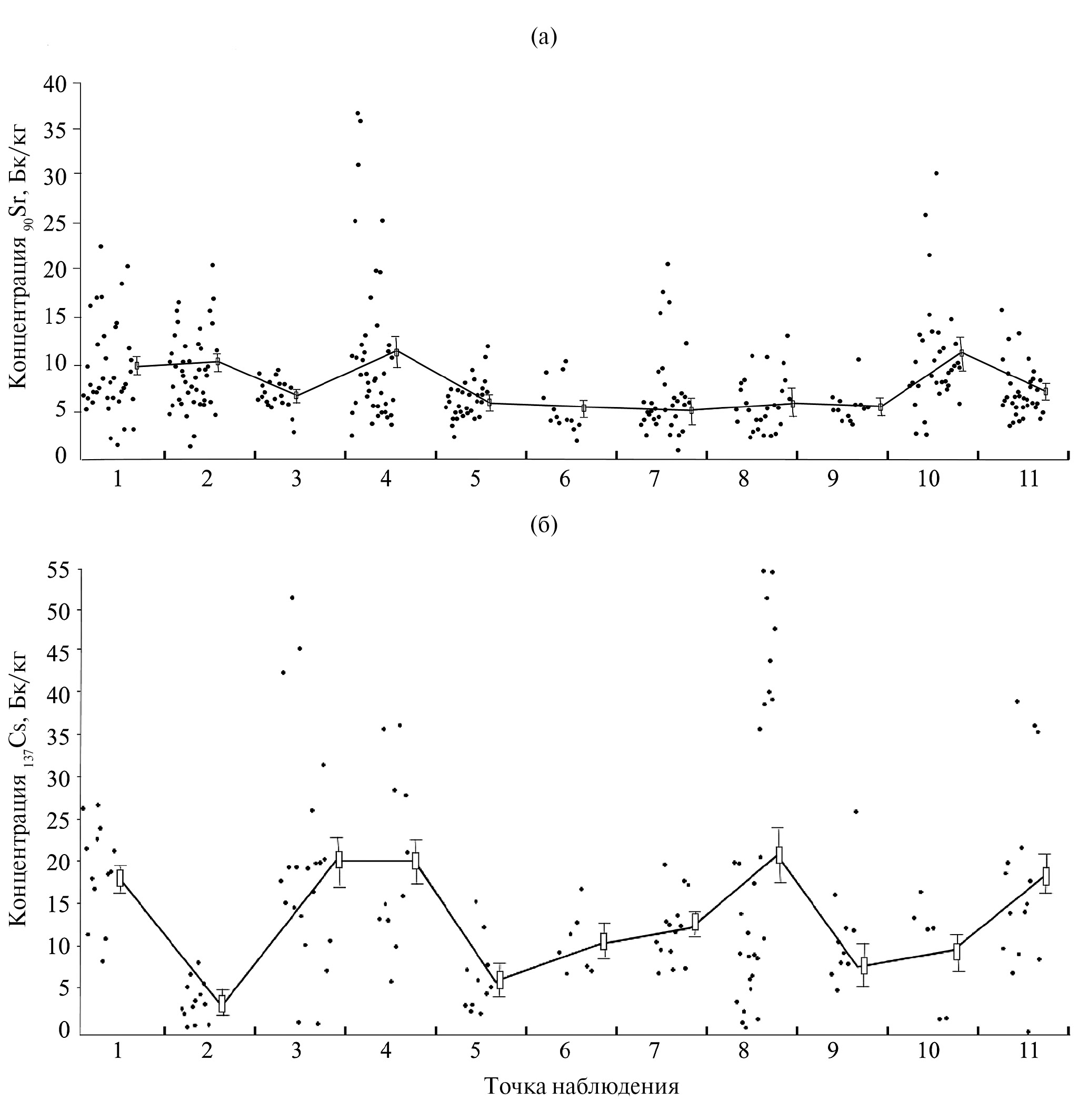
Выявлены индивидуальные и средние значения концентраций радионуклидов в лягушках, отобранных на исследуемых территориях Среднего Урала (рис. 2). Средние уровни концентраций 90Sr в лягушках различных местообитаний близки между собой (5.6–11.5 Бк/кг сухой массы), тогда как индивидуальные показатели в некоторых водоемах характеризуются заметной вариабельностью. К последним относятся, в основном, крупные водоемы − прибрежная часть Рефтинского водохранилища около ГРЭС (точка 4), побережье Верхнетагильского водохранилища вблизи ТЭЦ (точка 7), береговая часть Верх-Нейвинского водохранилища в районе железнодорожного вокзала (точка 10), примыкающий к Белоярской АЭС район Белоярского водохранилища (точки 1 и 2). Коэффициенты вариации концентраций 90Sr в лягушках для указанных точек наблюдений находятся в пределах 60−75%. Содержание радионуклида в лягушках, обитающих в мелких водоемах и каналах, как правило, более однородно, а коэффициенты вариации характеризуются более низкими значениями (24−32%).
Рис. 2. Индивидуальные и средние концентрации 90Sr (а) и 137Cs (б) у лягушек, отобранных на исследуемых территориях Среднего Урала.
Аналогичную ситуацию наблюдали для 137Cs. Средние значения концентраций радионуклида в лягушках различных мест наблюдений варьировали от 4.3 до 21.1 Бк/кг. Высокая вариабельность показателей отмечена для точек 3 (водоем в лесу за четвертым энергоблоком БАЭС), 4 (прибрежная часть Рефтинского водохранилища напротив ГРЭС), 8 (р. Тагил за плотиной Верхнетагильского водохранилища) и 11 (водоем между сбросными каналами Уральского электрохимического комбината). Коэффициенты вариации 137Cs в этих точках наблюдений имели наиболее высокие показатели (51–62%).
На фоне общей картины, характеризующей средние уровни концентраций радионуклидов в лягушках исследованной территории, у отдельных особей амфибий отмечены повышенные концентрации 137Cs и 134Cs. В частности, одна лягушка в точке 1 содержала 45 000 Бк/кг 137Cs, в другой лягушке из точки 8 обнаружено 52 904 Бк/кг радиоцезия. У этих двух особей отмечено повышенное содержание 134Cs (441 и 320 Бк/кг соответственно). Повышенная концентрация 137Cs (6914 Бк/кг) выявлена также у особи из Верх-Нейвинского водохранилища (точка 10), у трех особей из Рефтинского водохранилища напротив ГРЭС (101, 229 и 912 Бк/кг) (точка 4) и у особи с аномальным внешним видом и массой тела 11 г, отловленной в районе базы отдыха “Кедровая роща” на правом берегу Белоярского водохранилища (155 Бк/кг).
На большом статистическом материале установлено достоверное снижение концентрации 90Sr в лягушках с увеличением сырой массы тела (p <0.0002) (рис. 3). Для 137Cs такую связь установить не представилось возможным, поскольку в процессе радиометрии часть проб лягушек объединяли для увеличения точности определений.
Рис. 3. Зависимость концентрации 90Sr от сырой массы лягушек.
Анализ полученных данных по концентрациям 90Sr и 137Cs в лягушках разного пола на обследованной территории Среднего Урала не выявил достоверной разницы (p >0.05) в накоплении радионуклидов между самцами и самками (6.7 ± 0.8 и 8.5 ± 0.6 для 90Sr и 12.7 ± 1.2 Бк/кг и 15.1 ± ± 1.0 Бк/кг для 137Cs соответственно).
В связи с частой встречаемостью на Урале полосатых особей лягушек (striata) в некоторых точках наблюдений (точки 5–8) получены данные о накоплении 90Sr в животных, различающихся по этому признаку. В выборке, представленной 54 особями, не выявлены достоверные различия между полосатыми (5.6 ± 0.5 Бк/кг) и бесполосыми (5.4 ± 0.4 Бк/кг) особями (p >0.05).
Сравнительный анализ концентраций 90Sr и 137Cs в компонентах водных экосистем обследованной территории на Среднем Урале (табл. 2) свидетельствует о вариации этих показателей в различных точках наблюдений. В некоторых местах отмечены повышенные уровни содержания того или иного радионуклида в том или ином компоненте водного биоценоза. В частности, повышенные концентрации обоих радионуклидов в воде отмечены в промливневом канале БАЭС (точка 1), а также 137Cs в Верхнетагильском водохранилище в районе ГРЭС (точка 7). В этих же точках зарегистрированы повышенные концентрации 137Cs в грунте и растениях. В двух точках наблюдений (точки 1 и 5) содержание исследуемых радионуклидов в лягушках в среднем превышало таковое в рыбах.
Таблица 2. Средние концентрации 90Sr и 137Cs в компонентах водных экосистем из различных точек наблюдений
Объект исследования | Радионуклид | 1 | 2 | 3 | 4 | 5 | 6 | 7 | 8 | 9 | 10 | 11 |
Вода | 90Sr 137Cs | 20 ± 3 33 ± 1.2 | 12 ± 2 22 ± 6 | 3.3 ± 0.2 13 ± 6 | 12 ± 1 17 ± 7 | 4.1 ± 0.1 7.8 ± 1.2 | 4.3 ± 0.2 3.4 ± 1.1 | 16.5 ± 1.3 36 ± 7 | 3.6 ± 0.2 3.1 ± 1.2 | 4.5 ± 0.5 2.9 ± 1.8 | 10 ± 2 20 ± 10 | 6.9 ± 1.0 5 ± 2.2 |
Грунт | 90Sr 137Cs | 6.4 ± 1.5 81 ± 9 | 2.8 ± 1.3 120.4 ± 8 | 11.4 ± 2.0 46.2 ± 3 | 8.3 ± 1.0 8.3 ± 1.9 | 22.9 ± 3.3 25.4 ± 7.5 | – – | 13.1 ± 1.6 34.6 ± 10.8 | 26.0 ± 2.6 10.7 ± 0.9 | 9.8 ± 0.1 10.8 ± 1.2 | 9.1 ± 1.9 26 ± 4.9 | 21.2 ± 1.7 10.8 ± 0.8 |
Лягушка | 90Sr 137Cs | 9.7 ± 0.9 18.1 ± 1.7 | 10.1 ± 2.1 4.3 ± 0.6 | 6.6 ± 0.4 22.3 ± 2.6 | 11.1 ± 1.2 20.3 ± 3 | 5.8 ± 0.3 6.3 ± 0.5 | 5.6 ± 0.7 10.4 ± 1.5 | 6.5 ± 0.8 11.8 ± 1.0 | 5.2 ± 0.7 11.7 ± 2.1 | 5.7 ± 0.9 11.6 ± 2.2 | 11.5 ± 1.6 10.1 ± 2.8 | 6.6 ± 0.5 19 ± 2.6 |
Кладофора | 90Sr 137Cs | 21.6 ± 2.2 1156 ± 150 | 14.2 ± 2.4 20.4 ± 1.4 | 7.3 ± 1.1 6.9 ± 1.9 | 7.9 ± 0.9 17.5 ± 5.1 | 4.5 ± 0.9 5.2 ± 2.9 | – – | 9.9 ± 2.2 44.8 ± 13.4 | 4.4 ± 0.3 11.2 ± 1.4 | – – | нпо 19.4 ± 4.6 | 3.9 ± 0.9 15.5 ± 5 |
Роголистник | 90Sr 137Cs | – – | 14.1 ± 1.8 22.3 ± 1.3 | – – | – – | – – | – – | 4.1 ± 0.4 103.6 ± 30.6 | – – | – – | нпо 3.4 ± 0.9 | – – |
Карп садковый | 90Sr 137Cs | – – | – – | – – | – – | 3.9 ± 0.3 2.9 ± 0.9 | – – | – – | – – | – – | – – | – – |
Окунь Карась Лещ | 90Sr 137Cs 90Sr 137Cs 90Sr 137Cs | – – 1.5 ± 0.1 17.3 ± 0.6 1.7 ± 0.6 8.8 ± 1.8 | – – – – – – | – – – – – – | – – – – – – | 3.7 ± 0.1 2.1 ± 0.7 – – – – | – – – – – – | – – – – – – | – – – – – – | – – – – – – | – – – – – – | – – – – – – |
Примечание. Единицы измерения показателей: вода — Бк/м3, остальные компоненты — Бк/кг сухой массы; нпо — ниже предела обнаружений,
“–” – данные отсутствуют. 1–11 —точки наблюдений.
Получены коэффициенты перехода 90Sr и 137Cs в организм лягушек из воды и грунта в зависимости от содержания радионуклида в среде обитания (рис. 4). Для оценки коэффициентов перехода радионуклида из воды (Бк/л) или грунта (Бк/кг) в организм лягушки использовали отношение средней концентрации того или иного радионуклида в сухой массе амфибии в каждой точке наблюдений к его концентрации в воде или грунте. Из рис. 4 видно, что исследованные радионуклиды поступают из воды в организм амфибий.
Рис. 4. Коэффициенты перехода 90Sr и 137Cs в организм лягушек в зависимости от концентрации радионуклида в среде обитания из воды (а, в) и грунта (б, г) соответственно.
ОБСУЖДЕНИЕ РЕЗУЛЬТАТОВ
В плане обсуждения роли озерной лягушки как объекта радиоэкологических исследований следует подчеркнуть малое количество данных по вопросу о накоплении ими радионуклидов. Имеющиеся в литературе работы относятся преимущественно к сильно загрязненным территориям в послеаварийный период на Фукусимской и Чернобыльской АЭС (ЧАЭС) и р. Саванна в Южной Каролине (Dapson, Kaplan, 1975; Jagoe et al., 2002; Matsushima et al., 2015; Beresford et al., 2020; Burraco et al., 2021). Приведенные в этих работах результаты свидетельствуют, что при высоких уровнях радиоактивного загрязнения природной среды, в частности, при авариях на атомных предприятиях, лягушки способны накапливать радионуклиды в высоких концентрациях, достигающих уровня радиоактивных отходов (Методические…, 1998). В работе (Stark et al., 2004) показано, что в заболоченных экосистемах центрально-восточной части Швеции через 17 лет после Чернобыльской аварии средняя концентрация 137Cs в остромордой лягушке достигала 1.7 ± 1.1 кБк/кг сырой массы, при этом наиболее высокие значения отмечены для самых мелких особей амфибий (3.5 кБк/кг сырой массы). На примере района Чернобыльской АЭС установлено, что при длительном пребывании амфибий в водоемах этой зоны накопление 90Sr и 137Cs в костях скелета может привести к развитию процессов фиброзной остеодистрофии (Родионова и др., 1994). Загрязнение природной среды тяжелыми металлами создает дополнительные отрицательные нагрузки на организм животных, вызывая мутации и повреждения хромосом. В частности, в работе (Акынбек кызы, 2010) при исследовании кариотипа грызунов и амфибий, обитающих вблизи Майлыcуйского радиоактивного хвостохранилища с высоким содержанием тяжелых металлов, обнаружены структурные изменения хромосом, выражающиеся в разрыве плеч хромосом и появлении дицентрических фигур. В работе (Пястолова и др., 1996) в лягушках, обитающих на радиоактивно загрязненных территориях в зоне ПО “Маяк”, по сравнению с контрольным регионом выявлены физиологические и генетические различия в популяции лягушек. По данным (Вершинин, 2007б), установлены изменения в печени, крови, половых органах и продолжительности жизни лягушек на территории Уральского радиоактивного следа по сравнению с контролем. Обзор результатов исследования генетических и цитогенетических показателей у лягушек импактных территорий (Республика Коми) при воздействии опасных загрязнителей приведен в работе (Юшкова и др., 2018).
В настоящей работе представлены результаты исследования накопления радионуклидов 90Sr и 137Cs озерной лягушкой, обитающей в районах расположения крупных водоемов Среднего Урала (Белоярское, Рефтинское, Верхнетагильское и Верх-Нейвинское водохранилища). Исследованная территория не подвергалась крупным радиационным воздействиям и аварийным загрязнениям, хотя такие районы на Урале имеются (Уткин и др., 2004). Установлено, что для основной массы животных средние уровни концентраций 90Sr в разных местообитаниях близки между собой (5.6−11.5 Бк/кг), а в случае 137Cs они варьируют в более широком диапазоне концентраций (4.3−21.1 Бк/кг). В то же время, полученные результаты свидетельствуют о заметной вариабельности 90Sr и 137Cs в большинстве точек наблюдения. Для всей совокупности данных вариабельность накопления можно объяснить разнообразием гидрохимических условий, особенностями пищевой базы животных и прочими экологическими факторами в разных местонахождениях. В отдельных случаях высокое накопление 137Cs и появление в организме лягушек 134Cs может быть следствием тесного контакта животного с радиоактивной средой, например на БАЭС (путешествие в радиоактивную зону, попадание горячей частицы и пр.). Поскольку анализ возможных путей поступления радионуклидов в организм лягушек (неконтролируемые сбросы, наличие на территории пунктов временного хранения радиоактивных материалов и радиоактивных отходов и пр.) не входил в задачу исследования, объяснить повышенное накопление 134Cs и 137Cs в отдельных особях озерной лягушки не представляется возможным. Следует учесть, что лягушки могут мигрировать на большие расстояния − до 15 км (Tunner, 1992), и поэтому они могут быть переносчиками поглощенных радионуклидов с других территорий.
В данном исследовании на большом статистическом материале показано, что концентрация 90Sr достоверно снижается с увеличением массы тела лягушек. Последнее можно объяснить тем, что параметры массы и возраста животных обратно пропорционально связаны друг с другом. Поэтому, согласно многочисленным работам, с увеличением возраста величина отложения остеотропного 90Sr в скелете животных уменьшается (Шведов, Аклеев, 2001; Калистратова и др., 2016 и др.).
Полученные данные подтвердили более ранние результаты исследований об отсутствии различий в накоплении радионуклидов самцами и самками амфибий (Берзин и др., 2020).
В работе оценены сравнительные коэффициенты перехода радионуклидов 90Sr и 137Cs в организм лягушек из воды и грунта, свидетельствующие о большем переходе радионуклидов с водой. Очевидно, это связано с высокой проницаемостью кожи лягушек для воды, с которой радионуклиды поступают в организм преимущественно путем диффузии, однако не исключено их попадание вместе с пищей. Аналогичные данные о больших коэффициентах перехода 137Cs в тело лягушек Rana alvaris из воды относительно грунта (bioconcentration factor) представлены в работе (Stark et al., 2004). Полученные нами фактические данные о снижении коэффициентов перехода 90Sr и 137Cs в организм лягушек с увеличением их концентрации в среде обитания согласуются с данными других авторов на других природных объектах (Beresford, Wright, 2005; Sobakin et al., 2014; Mikhailovskaya et al., 2022), однако в настоящее время объяснение этой зависимости отсутствует.
Представленные в работе данные по накоплению радионуклидов в лягушках водоемов Среднего Урала можно использовать в качестве реперных показателей при аналогичных исследованиях на других территориях.
ЗАКЛЮЧЕНИЕ
Приведенные в работе данные по накоплению 90Sr и 137Cs озерной лягушкой свидетельствуют о вариабельности их концентраций в различных точках наблюдений, что можно объяснить разнообразием гидрохимических условий, особенностями пищевой базы животных и прочими экологическими факторами. На большом статистическом материале показано достоверное снижение концентрации 90Sr в лягушках с увеличением массы их тела. Оценены коэффициенты перехода 90Sr и 137Cs в организм лягушек из воды и грунта, свидетельствующие о большем поступлении радионуклидов с водой.
ФИНАНСИРОВАНИЕ
Работа выполнена в рамках государственных заданий Института экологии растений и животных Уральского отделения РАН № 122021000077-6 и № 122021000082-0. Никаких дополнительных грантов на проведение или руководство данным конкретным исследованием получено не было.
Об авторах
М. Я. Чеботина
Институт экологии растений и животных Уральского отделения Российской академии наук
Автор, ответственный за переписку.
Email: Chebotina@ipae.uran.ru
Россия, Екатеринбург
В. П. Гусева
Институт экологии растений и животных Уральского отделения Российской академии наук
Email: Chebotina@ipae.uran.ru
Россия, Екатеринбург
Д. Л. Берзин
Институт экологии растений и животных Уральского отделения Российской академии наук
Email: Chebotina@ipae.uran.ru
Россия, Екатеринбург
Список литературы
- Акынбек кызы С. 2010. Изучение кариотипа некоторых позвоночных животных вблизи Майлысульского радиоактивного хвостохранилища // Известия вузов Кыргызстана. № 2. С. 32.
- Берзин Д.Л., Чеботина М.Я., Гусева В.П. 2020. Накопление радионуклидов в озерной лягушке Pelophylax ridibundus в зоне атомного предприятия // Биология внутр. вод. № 6. С 613. https://doi.org/10.31857/S0320965220060042
- Большаков В.Н., Иванова Н.Л. 2013. Озерная лягушка (Rana ridibunda Pall.) как объект мониторинга водоема-охладителя Рефтинской ГРЭС // Изв. Оренбург. аграрного ун-та. № 1. С. 245.
- Вершинин В.Л. 2007а. Амфибии и рептилии Урала. Екатеринбург: УрО РАН.
- Вершинин В.А. 2007б. Специфика жизненного цикла R. arvalis Nills. на территории Восточно-Уральского радиоактивного следа // Сиб. экол. журн. Вып. 4. С. 677.
- Вершинин В.Л., Иванова Н.Л. 2006. Специфика трофических связей вида-вселенца (Rana radibunda Pallas, 1771) в зависимости от условий обитаний // Поволж. экол. журн. № 3. С. 12.
- Желанкин Р.В. 2020. Хозяйственное значение генетических и биотехнических особенностей съедобной лягушки Pelophylax esculentus как объекта аквакультуры // Кролиководство и звероводство. Т. 2. № 5. С. 49. https://doi.org/10.24411/0023-4885-2020-105020
- Иванова Н.Л. 1995. Особенности экологии озерной лягушки (Rana radibunda Pall.), интродуцированной в водоемы-охладители // Экология. № 6. С. 473.
- Иванова Н.Л., Жигальский О.А. 2011. Демографические особенности популяций озерной лягушки (Rana radibunda Pall.), интродуцированной в водоемы Среднего Урала // Экология. № 5. С. 381.
- Иванова Н.Л. 2017. Характер и темпы роста озерной лягушки Pelophylax ridibundus Pall., интродуцированной в водоемы Среднего Урала // Изв. РАН. Серия биол. № 4. С. 413. https://doi.org/10.12737/1024-6177-2020-65-4-5-11
- Калистратова В.С., Беляев И.К., Жорова Е.С. и др. 2016. Радиобиология инкорпорированных радионуклидов. М: ФГБУ ГНЦ ФМБЦ им. А.И. Бурназяна ФМБА России.
- Калинкин Д.Е., Тахауов Р.М., Карпов А.Б. и др. 2020. Факторы влияния на состояние здоровья взрослого населения, проживающего в зоне действия предприятия атомной индустрии // Медицинская радиология и радиационная безопасность. № 65(4). С. 5. https://doi.org/10.12737/1024-6177-2020-65-4-5-11
- Киселев С.М., Жуковский М.В., Стамат И.П. и др. 2016. Радон: от фундаментальных исследований к практике регулирования. М.: Изд-во ФГБУ ГНЦ ФМБЦ им. А.И. Бурназяна.
- Мокров Ю.Г. 2002. Реконструкция и прогноз радиоактивного загрязнения р. Теча. Ч. 1. Озерск: Редакционно-издательский центр.
- Мокров Ю.Г. 2003. Реконструкция и прогноз радиоактивного загрязнения р. Теча. Ч. 2. Озерск: Редакционно-издательский центр.
- Методические указания по методам контроля МУК 2.6.1.717-98. 1998. М.: Минздрав России.
- Отдаленные эколого-генетические последствия радиационных инцидентов: Тоцкий ядерный взрыв. 2000. Екатеринбург: Изд-во “Екатеринбург”.
- Первушкина Н.Л. 1998. Здоровье потомков работников предприятия атомной промышленности — Производственного объединения “МАЯК”. М.: РАДЭКОН.
- Пястолова О.А., Вершинин В.Л., Трубецкая Е.А. и др. 1996. Использование амфибий в биоиндикационных исследованиях территории Восточно-Уральского радиоактивного следа // Экология. № 5. С. 378.
- Родионова Н.В., Мажуга П.М., Домашевская Е.И. и др. 1994. Изменения в гистоструктуре костного скелета у амфибий, обитающих в зоне отчуждения ЧАЭС // Проблемы Чернобыльской зоны отчуждения. Вып. 1. С. 139
- Смагин А.И. 2013. Экология водоемов в зоне техногенной радионуклидной геохимической аномалии на Южном Урале. Челябинск: Издат. центр ЮУрГУ.
- Стрелков Л.Б. 1966. Метод вычисления стандартной ошибки и доверительных интервалов средних арифметических величин с помощью таблицы. Сухуми: Алашара.
- Топоркова Л.Я., Боголюбова Т.В., Хафизова Р.Т. 1979. К экологии озерной лягушки, индуцированной в водоемы горно-таежной зоны Среднего Урала // Фауна Урала и Европейского Севера. Свердловск: Изд-во Уральск. гос. ун-та. С. 108.
- Трапезников А.В., Чеботина М.Я., Трапезникова В.Н. и др. 2008. Влияние АЭС на радиоэкологическое состояние водоема-охладителя. Екатеринбург: УрО РАН.
- Уткин В.И., Чеботина М.Я., Евстигнеев А.В. и др. 2004. Особенности радиационной обстановки на Урале. Екатеринбург: УрО РАН.
- Чеботина М.Я., Гусева В.П., Берзин Д.Л. 2021. Накопление долгоживущих радионуклидов озерной лягушкой в водоеме-охладителе Белоярской АЭС // Радиационная биология. Радиоэкология. Т. 61. № 1. С. 79. https://doi.org/10.31857/S0869803121010045
- Шведов В.Л., Аклеев А.В. 2001. Радиобиология стронция-90. Челябинск: УНПЦ РМ.
- Юшкова Е.А., Бондарь И.С., Шадрин Д.М. и др. 2018. Цитогенетические и молекулярно-генетические показатели в популяциях бесхвостых амфибий (Rana arvalis Nilsson) в условиях радиоактивного и химического загрязнения водной среды // Биология внутр. вод. № 3. С. 88. https://doi.org/10.1134/S0320965218030233
- Beresford N.A., Wright S.M. 2005. Non-linearity in radiocaesium soil to plant transfer: fact or fiction? // Radioprotection. V. 40. P. 67. https://doi.org/10.1051/radiopro: 2005s1-011
- Beresford N.A., Barnett С.L., Gashchak S. et al. 2020. Radionuclide transfer to wildlife at a ‘Reference site’ in the Chernobyl Exclusion Zone and resultant radiation exposures // J. Environ. Radioactivity. V. 211. P. 1. https://doi.org/
- Burraco P., Car C., Bonzom J.-M. et al. 2021. Assessment of exposure to ionizing radiation in Chernobyl tree frogs (Hyla orientalis) // Sci. Reports. V. 11. e20509. https://doi.org/10.1038/s41598-021-00125-9
- Dapson R.W., Kaplan L. 1975. Biological half-life and distribution of radiocesium in a contaminated population of green treefrogs Hyla cinerea // Oikos. V. 26. № 1. Р. 39. Copenhagen: Wiley. https://doi.org/10.2307/3543274
- Jagoe C.H., Majeske A.J., Oleksyk T.K. et al. 2002. Radiocesium concentrations and DNA strand breakage in two species of amphibians from the Chornobyl exclusion zone // Radioprotection. V. 37. P. 873. https://doi.org/10.1051/radiopro/2002217
- Matsushima N., Ihara S., Takase M. et al. 2015. Assessment of radiocesium contamination in frogs 18 months after the Fukushima Daiichi nuclear disaster // Sci. Reports. V. 5. P. 1. https://doi.org/10.038/srep09712
- Mikhailovskaya L.N., Pozolotina V.N., Modorov M.V. et al. 2022. Accumulation of 90SR by Betula pendula within the East Ural Radioactive Trace zone // J. Environ. Radioactivity. V. 250. https://doi.org/10.1016/j.jenvrad.2022.106914
- Omoniy L.O., Ajibola M.E., Bifarin J.O. 2012. Demand analysis for frog meat in Ondo State, Nigeria // Global journal of science frontier research agriculture & biology. Global Journals Inc. P. 8. https://doi.org/10.1007/s10935-020-00619-8
- Stark K., Avila R., Wallberg P. 2004. Estimation of radiation doses from 137Cs to frogs in a wetland ecosystem // J. Environ. Radioactivity. V. 75. P. 1. https://doi.org/ 10.1016/j.jenvrad.2003.12.011
- Sobakin P.I., Gerasimov Y.R., Chevychelov A.P. et al. 2014. Radioecological situation in the impact zone of the accidental underground nuclear explosion “Kraton-3” in the Republic of Sakha (Yakutia) // Radiatsionnaia Biol. Radioecol. V. 54. Р. 641. https://doi.org/10.7868/ S0869803114060125
- Tunner H.G. 1992. Locomotory behaviour in water frogs from Neusiedlersee (Austria, Hungari). 15 km migration of Rana lessonae and ist hybridogenetic associate Rana esculenta // Proceedings of the 6th Ordinary General Meeting of the SAH: Budapest (Hungarian Natural History Museum). P. 449.
Дополнительные файлы







