Sturgeon Biological Parameters in the Ural River (Zhaiyk) of the Republic Kazakhstan
- Authors: Mikodina E.V.1,2, Ruban G.I.3, Shalgimbaev G.М.4
-
Affiliations:
- Moscow State University of Technologies and Management (First Cossack University)
- Shenzhen MSU-BIT University
- Severtsov Institute of Ecology and Evolution Russian, Academy of Science
- Head of the Laboratory of the Fisheries Research and Production Center
- Issue: Vol 17, No 4 (2024)
- Pages: 633-639
- Section: ИХТИОЛОГИЯ
- URL: https://journal-vniispk.ru/0320-9652/article/view/269876
- DOI: https://doi.org/10.31857/S0320965224040116
- EDN: https://elibrary.ru/YJEBKO
- ID: 269876
Cite item
Full Text
Abstract
The dynamics of capture of 4 Sturgeon species (family Acipenseridae): Russian sturgeon Acipenser gueldenstaedtii, Sterlet A. ruthenus, Stellate Sturgeon A. stellatus, Beluga Acipenser (Huso huso) in the IUU catches of the Ural (Zhaiyk) River within of the Republic of Kazakhstan borders is done. The annual number of Sturgeons estimated by arrested IUU catches in the period 2012–2018 which demonstrate the fluctuation of the Ural River Sturgeons number as well as male dominance is given. The biological indicators of Ural’s Sturgeons during the period of maximum catches in 2018: sex ratio, age, weight, length, length-weight relationship are given.
Full Text
ВВЕДЕНИЕ1
В связи с мораторием на вылов осетровых рыб в пресных водах Волжско-Каспийского (с 2005 г.) и Урало-Каспийского (с 2010 г.) бассейнов, а также в международных морских водах (с 2016 г.) Каспийского моря (Исбеков и др., 2018) основным источником сведений по их биологии в последующие годы, как правило, были данные мониторинга, полученные в рамках научного лова (Металлов и др., 2016). К сожалению, существует и ННН-вылов (ННН – незаконный, несообщаемый и нерегулируемый) осетровых, который известен в р. Урал вблизи с. Каракия, городов Мангистау, Актау, Атырау и других местах, выше г. Атырау осетровые рыбы не встречаются (Pueppke et al., 2003). В р. Урал незаконный вылов осетровых столь велик, что его объем близок к величине разрешенного изъятия (Рубан и др., 2015). При наличии данных о ННН-вылове осетровых некоторая часть конфиската незаконно выловленных осетровых рыб из р. Урал (казахское Жайык) может быть использована как дополнительный источник неучтенных мониторингом сведений по биологическим параметрам обитающих в ней осетровых рыб.
Цель настоящей работы – дать анализ видового состава ННН-вылова осетровых в р. Урал и ряда биологических параметров русского осетра из этих уловов.
МАТЕРИАЛ И МЕТОДЫ ИССЛЕДОВАНИЯ
Исследованный материал – конфискат ННН-вылова, полученный в 2015–2018 гг. Он представлен четырьмя видами осетровых рыб: белугой Acipenser (Huso) huso (L., 1758), русским осетром Acipenser gueldenstaedtii Brandt et Ratzeburg, 1833, севрюгой A. stellatus Pallas, 1771, стерлядью A. ruthenus L., 1758, изъятых на местах отлова в нижнем течении р. Урал (Жайык) ставными жаберными сетями c ячеей 100 мм в течение конца апреля–начале июня.
Проведен биологический анализ нежизнеспособных (снулых) рыб (табл. 1) с определением пола, соотношения полов, массы, длины и возраста. Рыб взвешивали безменом с точностью до 0.1 кг, длину TL измеряли с помощью мерной доски с точностью до 1 см. Пол устанавливали при вскрытии. Возраст определяли по спилам маргинальных лучей грудного плавника. Статистическую обработку материалов проводили с помощью программ Statistica v. 10 и Excel в составе пакета Microsoft Office 16.
Таблица 1. Исследованный материал из р. Урала
Вид | Годы вылова | n |
Севрюга | 2015–2018 | 57 |
Русский осетр | 2012–2019 | 89 |
Белуга | 2012–2018 | 20 |
Стерлядь | 2017 | 4 |
Всего | 170 | |
Примечание. n – число рыб, экз.
Официальные данные по общему допустимому улову и промысловому освоению лимитов вылова осетровых рыб в Урало-Каспийском бассейне за период 2012–2017 гг. предоставлены Жайык-Каспийской межобластной бассейновой инспекцией рыбного хозяйства, а также взяты из отчетов ТОО “Казахстанское агентство прикладной экологии” за 2012–2017 гг. (Отчет ТОО “Казахстанское …”, 2013, 2014, 2015).
РЕЗУЛЬТАТЫ И ИХ ОБСУЖДЕНИЕ
Известно, что в пресных, солоновато-водных и морских водоемах Казахстана обитают шесть видов осетровых рыб из сем. Acipenseridae: белуга, русский осетр, персидский осетр A. persicus Borodin 1896, севрюга, шип A. nudiventris Lovetsky 1828, стерлядь (Рыбы…, 1986), занесенных в Красную книгу Международного союза охраны природы (МСОП) (IUCN Red List of Threatened Species) и Республики Казахстан (Ќазаќстан Республикасыныњ…, 2010) находящиеся, как и другие виды осетровых (Микодина, Рубан, 2022), под угрозой исчезновения. Все они обитают в предустьевом пространстве и нижнем течении р. Урал, которая для осетровых в этой стране служит репродуктивным водотоком (Судакова и др., 2018; Assylbekova et al., 2022; Shalgimbaeva et al., 2022).
Наблюдения показывают, что численность осетровых не только катастрофически низкая, но и флуктуирует. Так, в научно-исследовательских уловах продолжают уменьшаться уловы севрюги, что свидетельствует о продолжающейся деградации популяции этого вида (Сафаралиев и др., 2019). В то же время, в ННН-уловах увеличивается численность русского осетра. Персидский осетр и шип редки, в 2010 г. впервые за ряд лет в научно-исследовательских уловах отмечена белуга (Pueppke et al., 2023). Среди выловленных в районе исследования рыб молоди осетровых не обнаружено, по-видимому, скатившись в море, она еще не достигла размеров, при которых могла попасть в использованные орудия лова. В целом состояние популяций осетровых рыб Казахстана считают не только неудовлетворительным, но даже катастрофическим, о чем свидетельствуют малые объемы общих допустимых уловов и еще более низкие величины вылова (табл. 2).2
Таблица 2. ОДУ и вылов осетровых рыб в казахстанском секторе Каспийского моря в 2012–2017 гг.
ОДУ | Вылов, т | % освоения | Период вылова |
0.535 | 0.05 | 9.30 | 2012 г. (10 мес.) |
0.748 | 0.056 | 7.49 | 2013 г. (10 мес.) |
0.793 | 0.771 | 97.2 | 2014 г. (9 мес.) |
0.727 | 0 | 0 | 15.02.2015–15.02.2016 гг. |
0.727 | 0 | 0 | 15.02.2016–15.02.2017 гг. |
Примечание. ОДУ – общий допустимый улов, т.; приведен по:(Биологическое обоснование. …, 2013, 2014, 2015)
Среди изъятых за 8 лет 170 контрафактных рыб 50% приходилось на русского осетра, 1/3 – на севрюгу, до 1/8 – на белугу, стерлядь встречалась единично (табл. 3). Таким образом, в исследованный период ежегодная встречаемость русского осетра среди всех изученных видов была неожиданно велика и в структуре уловов относительно устойчива. Если ранее р. Урал считали севрюжьей рекой (Баймуканов и др., 2006; Камелов, 2007; Бокова, 2008), то, по-видимому, видовая структура стада уральских осетровых изменилась в сторону преобладания русского осетра, который присутствовал в уловах в 2012–2014 г. и позднее; севрюга в эти годы не встречалась или была в незначительном количестве. С 2015 г. вплоть до 2018 г. севрюгу снова отмечали в уловах, наибольшее число этих рыб было выловлено в 2018 г. (табл. 3). Вызывает интерес, что по нашим данным, отсутствующая ранее в уловах из р. Урал белуга уральской популяции (молодь) вновь стала попадаться с 2010 г. и продолжала и далее встречаться в уловах (в основном единичные экземпляры, за исключением 2014 г.). По-видимому, этому способствовала деятельность по искусственному воспроизводству Урало-Арытауского осетрового рыбоводного завода Казахстана, где белуга – один из объектов разведения (Судакова и др., 2018). По нашим данным, белугу и позднее ловили единично, за исключением 2014 г., что, возможно, совпало с пиком нерестовой миграции диких особей в этом году.
Таблица 3. Видовая структура изъятых сотрудниками рыбоохраны нелегальных уловов осетровых рыб из р. Урала, экз.
Год | Русский осетр | Севрюга | Белуга | Стерлядь |
2012 | 6 | – | 1 | – |
2013 | 10 | – | – | – |
2014 | 9 | – | 15 | – |
2015 | 22 | 4 | 1 | – |
2016 | 21 | 5 | 1 | – |
2017 | 8 | 3 | 1 | 4 |
2018 | 8 | 45 | 1 | – |
2019 | 5 | – | – | – |
Всего | 89 | 57 | 20 | 4 |
В улове, % | 52 | 33.5 | 11.9 | 2.6 |
Примечание. “–” – отсутствие в улове.
В исследованном материале наиболее многочисленными были выборки русского осетра и севрюги (табл. 3), что дало возможность описать и статистически оценить данные по их биологическим параметрам, включая возраст.
В выборках конфиската соотношение полов (самцы: самки) у севрюги в июне 2018 г. было 2 : 1, у русского осетра – в июне за период 2013–2018 гг. варьировало от 1.3 : 1 (2014, 2017, 2018 гг.) до 4.5 : 1 (2015 г.). Выявленное нарушение естественного соотношения полов в р. Урале согласуется с данными О. Л. Журавлевой (2012) о доминировании самцов в Волго-Каспийском бассейне и является следствием селективного ННН-вылова, преимущественно изымающего самок (Ruban et al., 2019).
Русский осетр в нижнем течении р. Урала Казахстанского сектора наиболее многочислен среди осетровых видов рыб. В браконьерских уловах зарегистрировано 89 экз. русского осетра, возрастная структура самцов и самок была различна (табл. 4, рис. 1). Самцы и самки русского осетра в исследуемой выборке достоверно различались по длине, массе тела и возрасту по критерию Манна–Уитни с вероятностью p ≤0.001. У севрюги различия по длине тела по этому критерию были достоверны при p ≤0.1, по массе тела и возрасту – при p ≤0.05.
Таблица 4. Биологические показатели севрюги и русского осетра уральского стада из конфиската 2012–2019 гг.
Параметр | Севрюга | Русский осетр | ||
♀♀ (n = 13) | ♂♂ (n = 25) | ♀♀ (n =20) | ♂♂ (n = 51) | |
Масса, кг | 8.10 ± 1.10 3.0–14.0 | 5.00 ± 0.34 3.0–10.0 | 20.4 ± 1.97 7.0–35.0 | 7.7 ± 0.52 2.7–20.0 |
Длина, см | 112.80 ± 5.27 89.0–142.0 | 101.90 ± 2.28 80.0–128.0 | 128.9 ± 4.56 100.0–180.0 | 100.2 ± 1.93 82.0–160.0 |
Возраст, лет | 12.70 ± 0.28 8.0–16.0 | 7.7 ± 0.46 4.0–12.0 | 17.10 ± 1.23 4–23 | 12.1 ± 0.55 6–24 |
*Примечание. n – число особей. Над чертой – среднее ± ошибка среднего, под чертой – пределы варьирования.
Рис. 1. Распределение частот встречаемости русского осетра по возрасту из ННН-уловов в нижнем течении р. Урал: а – самки, б – самцы.
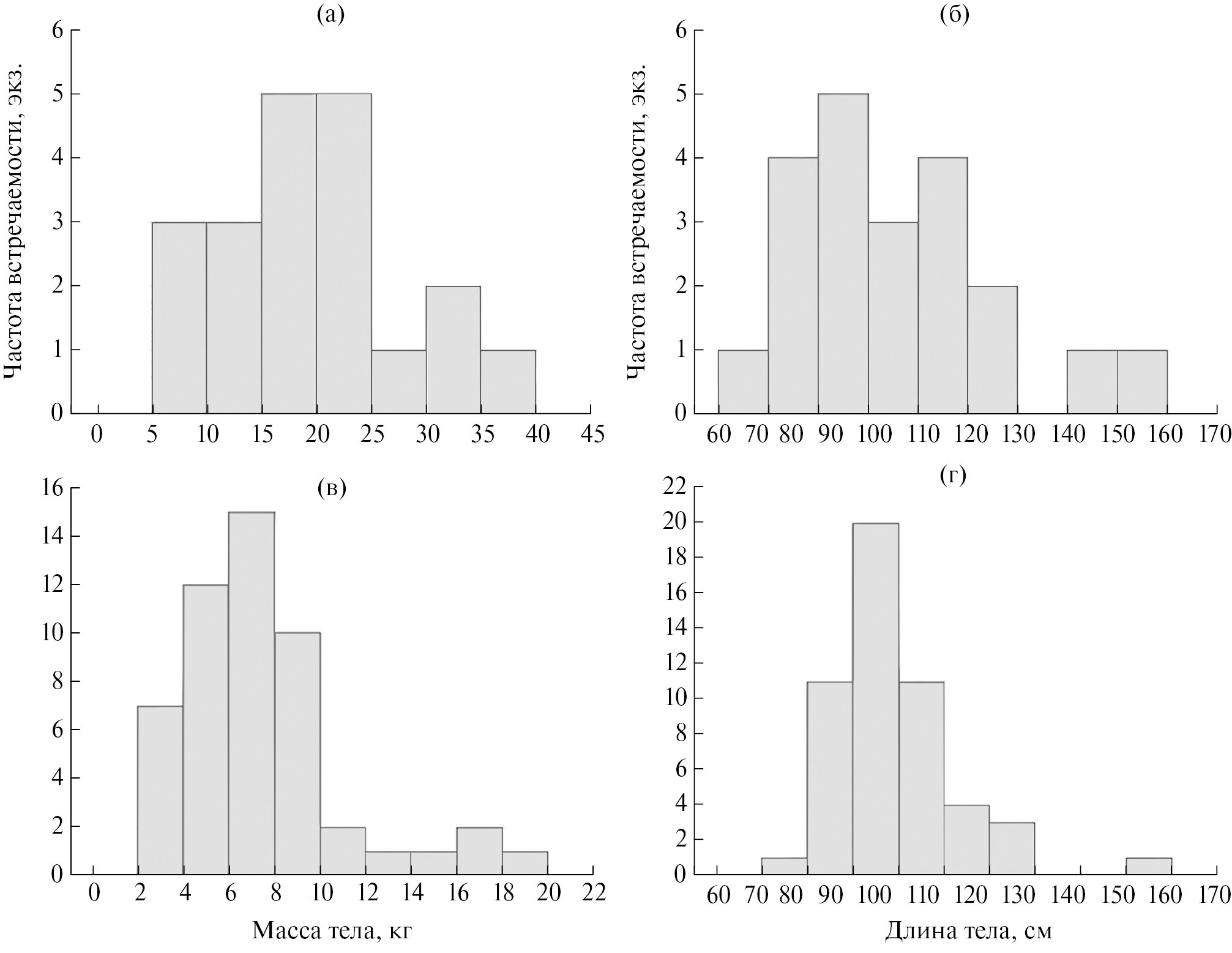
Несмотря на малочисленность исследованных рыб разных возрастных классов у самок преобладали особи 12 лет, у самцов выявлено два пика: 8 и 13 лет (рис. 2). Это подтверждает распределение русского осетра по массе и длине как у самок, так и у самцов (рис. 2).
Рис. 2. Распределение частоты встречаемости самок (a, б) и самцов (в, г) русского осетра по массе (а, в) и длине (б, г) в ННН-уловах р. Урал.
Среди различных взаимоотношений биометрических параметров у рыб исследователи наиболее часто используют соотношение длины и массы тела как функциональный инструмент, применяемый в различных исследованиях: рыбохозяйственных, экологии, популяционной динамики и оценке запасов (Pauly, 1993; Erzini, 1994; King, 1995; Petrakis and Stergiou, 1995; Ferreira et al., 2008). Это соотношение считается важным параметром в ихтиологических исследованиях, поскольку может дать информацию о состоянии популяций, коэффициентах упитанности, темпе роста, морфологических различиях, половой зрелости и репродуктивном потенциале, различных аспектах динамики популяций рыб и их общем благополучии (Le Cren, 1951; Bagenal and Tesch, 1978; Martin-Smith, 1996; Froese, 1998, 2006; Gonçalves, et al., 1997; Sutton et al., 2000; Santos et al., 2012; Torres et al., 2012; Meerbeek and Crane, 2017; Maurya et al., 2018). Это соотношение также используют для определения массы тела рыб при определенной длине их тела (Sarkar et al., 2009; Nazir and Khan, 2017).
Анализ соотношения длины и массы тела русского осетра в выборке из р. Урал (рис. 3а) показал, что оно аппроксимируется уравнением (1):
y = 0.0019 x3.2941 , (1)
где y – масса тела в граммах, x – длина тела, см.
Рис. 3. Соотношение длины и массы тела русского осетра (а) и севрюги (б) из р. Урала.
Показатель степени в полученном уравнении немного выше, чем у русского осетра в южной части Каспийского моря, где он равен 3.21 (Fazli, Moghim, 2014). Это различие можно объяснить более высоким темпом массового роста русского осетра в более продуктивной северной части моря.
Анализ соотношения длины и массы тела севрюги в выборке из р. Урала (рис. 3б) показал, что оно аппроксимируется уравнением (2):
y = 0.0099x2.8454, (2)
Показатель степени в полученном уравнении немного ниже, чем у севрюги из юго-западной части Каспийского моря, где он равен 2.99 (Fazli, Moghim, 2014), и выше, чем в юго-восточной части моря – 2.780 (Fazli, Moghim, 2014). Это различие свидетельствует о более высоком темпе роста массы у севрюги в юго-западной части моря и наиболее низком – в юго- восточной части. Севрюга из р. Урал по этому показателю занимает промежуточное положение.
В целом полученные диаграммы и уравнения (рис. 3) свидетельствуют, что при одинаковых линейных размерах масса тела у русского осетра превышает таковую у севрюги. Это различие соответствует различию в форме тела исследуемых рыб – у севрюги оно более прогонистое, чем у русского осетра.
ЗАКЛЮЧЕНИЕ
В период 2012–2019 гг. в р. Урале в ННН-уловах попадались только четыре вида осетровых: русский осетр, севрюга, белуга и стерлядь. Впервые установлено изменение видовой структуры уловов осетровых рыб в р. Урале, где вместо преобладавшей ранее севрюги лидирующее место занял русский осетр. Возраст русского осетра варьировал от 2 до 28 лет, причем модальная группа самцов была 7 лет, самок – 13. Среди самок встречали как неполовозрелых (масса 6–8 кг), так и половозрелых (масса 12–14 кг) особей. Относительно небольшая доля самок демонстрирует результат многолетнего селективного ННН-промысла русского осетра (Ruban et al., 2019). Соотношение длины и массы тела у исследованных видов неодинаково в разных частях Каспийского бассейна и, по-видимому, отражает трофические условия в местах обитания. Материалы по биологическим параметрам осетровых рыб из ННН-уловов в Урало-Каспийском районе дополняют данные мониторинга в практическом отношении (прогнозы общего допустимого улова и режимы рыболовства в условиях имеющихся запретов).
ФИНАНСИРОВАНИЕ
Работа проведена при поддержке государственного задания “Экология и биоразнообразие водных сообществ”, тема № АААА-А18-118042490059-5.
1 Сокращения: ННН – незаконный, несообщаемый и нерегулируемый вылов.
2 Биологическое обоснование. Проведение комплексных морских исследований по оценке состояния биологических ресурсов казахстанской части Каспийского моря. Алматы: 2013–2015.
About the authors
E. V. Mikodina
Moscow State University of Technologies and Management (First Cossack University); Shenzhen MSU-BIT University
Author for correspondence.
Email: georgii-ruban@mail.ru
Russian Federation, Moscow; Shenzhen, China
G. I. Ruban
Severtsov Institute of Ecology and Evolution Russian, Academy of Science
Email: georgii-ruban@mail.ru
Russian Federation, Moscow
G. М. Shalgimbaev
Head of the Laboratory of the Fisheries Research and Production Center
Email: georgii-ruban@mail.ru
Kazakhstan, Almaty
References
- Баймуканов М.Т., Бокова Е.Б., Койшыбаева С.К. и др. 2006. О некоторых результатах изучения генофонда уральской нерестовой группы севрюги (Acipenser stellatus) // Тр. ВНИРО. С. 183.
- Бокова Е.Б. 2008. Условия естественного воспроизводства осетровых р. Урал // Рыбохозяйственные исследования на Каспии. Астрахань: КаспНИРХ. С. 225.
- Журавлева О.Л. 2012. Закономерности формирования численности и структуры популяции русского осетра Acipenser gueldenstaedtii Brandt под воздействием промысла, воспроизводства и условий обитания: Автореф. дис. … докт. биол. наук. Петрозаводск. 45 с.
- Исбеков К.Б., Камелов А.К., Асылбекова С.Ж. и др. 2018. Современное состояние естественного воспроизводства осетровых рыб (Acipenseridae) в реке Урал // Вестн. Астрахан. гос. техн. ун-та. Сер. Рыбн. хоз-во. № 2. С. 81. https://doi.org/10.24143/2073-5529-2018-2-81-88
- Камелов А.К. 2007. Динамика размерно-возрастной структуры нерестовой популяции севрюги р. Урал // Матер. 2-й Междунар. науч.-практ. конф. “Проблемы сохранения экосистемы Каспийского моря в условиях освоения нефтегазовых месторождений”, Астрахань, 28–30 августа 2007. Астрахань. С. 58.
- Металлов Г.Ф., Гераскин П.П., Аксeнов В.П., Левина О.А. 2016. Многолетний мониторинг физиологического состояния основных видов каспийских осетровых рыб // Вестн. Астрахан. гос. техн. ун-та. Сер. Рыбн. хоз-во. № 1. Р. 88.
- Микодина Е.В., Рубан Г.И. 2022. Современные сведения по биологии сахалинского осетра Acipenser mikadoi (Acipenseridae, Acipenseriformes) (обзор) // Биол. внутр. вод. № 1. С. 71. https://doi.org/10.31857/S0320965221060115
- Рубан Г.И., Ходоревская Р.П., Кошелев В.Н. 2015. О состоянии осетровых в России // Астрахан. вестн. экологического образования. № 1(31). С. 42.
- Рыбы Казахстана. 1986. Алма-Ата. Т. 1. 268 с.
- Сафаралиев И.А., Рубан Г.И., Булгакова Т.И. 2019. Каспийская севрюга: распределение, оценка запаса и сценарии восстановления волжской популяции. М.: ВНИРО.
- Судакова Н.В., Микодина Е.В., Васильева Л.М. 2018. Смена парадигмы искусственного воспроизводства осетровых рыб (Acipenseridae) в Волжско-Каспийском бассейне в условиях дефицита производителей естественных генераций (обзор) // Сельскохозяйственная биология. Т. 53. № 4. С. 698. https://doi.org/10.15389/agrobiology.2018.4.698rus
- Ќазаќстан Республикасыныњ Ќызыл кітабы. 4-басылым, ќайта μњделген жєне толыќтырылѓан (Красная книга Республики Казахстан). 2010. Т. 1. Жануарлар; 1-бөлім: Омыртқалылар. (авторлар ұжымы). Алматы: “DPS”. 324 бет.
- Assylbekova S.Zh., Mikodina E.V., Isbekov K.B., Shalgimbaeva G.M. 2022. Experience, principles and parameters in the sturgeon quality assessment by anomalies in early ontogenesis (A Review) // Biology. V. 11. Is. 8. P. 1240. https://doi.org/10.3390/biology11081240
- Bagenal T.B., Tesch F.W. 1978. Age and growth // Methods for assessment of fish production in freshwaters. IBP Handbook. № . 3. Oxford: Blackwell Sci. Publ. Р. 101.
- Erzini K. 1994. An empirical study of variability in length-at-age of marine fishes // J. Appl. Ichthyol. V. 10. Р. 17.
- Fazli H., Moghim M. 2014. Length-weight relationships of five species of sturgeon in the Iranian waters of the Caspian Sea // J. Survey in Fisheries Sci. V. 1(1). Р. 56.
- Ferreira S., Sousa R.J., Carvalho D.T. 2008. Weight–length relationships for demersal fish species caught off the Madeira archipelago (eastern-central Atlantic) // J. Appl. Ichthyol. V. 24(1). Р. 93.
- Froese R. 1998. Length-weight relationships for 18 less-studied fish species // J. Appl. Ichthyol. V. 14. Р. 117.
- Froese R. 2006. Cube law, condition factor and weight–length relationships: history, metaanalysis and recommendations // J. Appl. Ichthyol. V. 22. Р. 241.
- Gonçalves J.M.S., Bentes L., Lino P.G. et al. 1997. Weight-length relationships for selected fish species of the small-scale demersal fisheries of the south and south-west coast of Portugal // Fish Res. V. 30. Р. 253.
- King M. 1995. Fisheries biology, assessment and management // Fishing News Books. Oxford: England. P. 107.
- Le Cren E.D. 1951. The length-weight relationship and seasonal cycle in gonad weight and condition in the perch (Perca fluviatilis) // J. Anim. Ecol. V. 20. P. 201.
- Martin-Smith K.M. 1996. Length/weight relationships of fishes in a diverse tropical freshwater community, Sabah, Malaysia // J. Fish Biol. V. 49. Р. 731.
- Maurya A., Prasad L., Gautam R. 2018. Length–weight relationship and condition factor of Anabas testudineus (Bloch, 1792) from Rudrasagar Lake (A Ramsar site), Tripura // J. Pharmacognosy and Phytochem. V. 7. Р. 1395.
- Meerbeek J.R., Crane D.P. 2017. A comparison of Muskellunge weight estimation equations to a modified length-girth technique. Muskellunge management fifty years of cooperation among anglers, scientist, and fisheries biologists // Amer. Fish Soc. Symposium. V. 85. P. 539.
- Nazir A., Khan M.A. 2017. Length–weight and length–length relationships of Cirrhinus mrigala (Cyprinidae) and Xenentodon cancila (Belonidae) from the River Ganga // J. Appl. Ichthyol. V. 57. Р. 787.
- Pauly D. 1993. Fishbyte section editorial. V. 16. Naga, ICLARM, Quart, ICLARM, Naga, Philippines 16. P. 26.
- Petrakis G., Stergiou K.I. 1995. Weight–length relationships for 33 fish species in Greek waters // Fish Res. V. 21. Р. 465.
- Pueppke S.G., Nurtazin S.T., Murzashev T.K. et al. 2003. Re-Establishing Naturally Reproducing Sturgeon Populations in the Caspian Basin: A Wicked Problem in the Ural River // Water. № 15(19). V. 3399. https://doi.org/10.3390/w15193399
- Ruban G.I., Khodorevskaya R.P., Shatunovskii M.I. 2019. Factors influencing the natural reproduction decline in the beluga (Huso huso, Linnaeus, 1758), Russian sturgeon (Acipenser gueldenstaedtii, Brandt & Ratzeburg, 1833), and stellate sturgeon (A. stellatus, Pallas, 1771) of the Volga–Caspian basin // J. Appl. Ichthyol. V. 35. P. 387. https://doi.org/ 10.1111/jai.13885
- Sarkar U.K., Deepak P.K., Negi R.S. 2009. Length–weight relationship of clown knifefish, Chitala chitala (Hamilton, 1822) from the river Ganga basin, India // J. Appl. Ichthyol. V. 25. Р. 232.
- Santos M., Lemos J., Pereira C. еt al. 2012. Length–weight relationships of four ornamental fish species from the Brazilian Negro River basin // J. Appl. Ichthyol. V. 28. Р. 148.
- Sutton S.G., Bult T.P., Haedrich R.L. 2000. Relationships among fat weight, body weight, water weight, and condition factors in wild Atlantic salmon parr // Trans. Amеr. Fish Soc. V. 129. Р. 527.
- Shalgimbaeva G.M., Mugue N.S., Isbekov K.B. et al. 2022. Ural (Zhayik) River Spawning Grounds of Sturgeon (Acipenseridae) in the Republic of Kazakhstan: Modern Situation // J. Ichthyol. V. 62. № 7. P. 1439. https://doi.org/10.1134/S0032945222060273
- Torres M., Ramos F., Sobrino I. 2012. Length–weight relationships of 76 fish species from the Gulf of Cadiz (SW Spain) // Fish Res. V. 128. P. 171.
Supplementary files





