Токсические эффекты в последующих поколениях от полозависимого воздействия 2,3′,4,4′,5-пентахлорбифенила (ПХБ 118) на Danio rerio
- Авторы: Коцур Д.А.1,2, Новоселов А.П.2, Сорокина Т.Ю.1, Аксенов А.С.1, Чащин В.П.1,3,4,5
-
Учреждения:
- Северный (Арктический) федеральный университет им. М.В. Ломоносова
- Федеральный исследовательский центр комплексного изучения Арктики им. академика Н.П. Лаверова Уральского отделения Российской академии наук
- Северо-Западный государственный медицинский университет им. И.И. Мечникова
- Национальный исследовательский университет “Высшая школа экономики”, Институт экологии
- Северо-Западный научный центр гигиены и общественного здоровья Федеральной службы по защите прав потребителей и благополучию человека
- Выпуск: Том 17, № 4 (2024)
- Страницы: 661-669
- Раздел: ВОДНАЯ ТОКСИКОЛОГИЯ
- URL: https://journal-vniispk.ru/0320-9652/article/view/269884
- DOI: https://doi.org/10.31857/S0320965224040142
- EDN: https://elibrary.ru/YIWRLG
- ID: 269884
Цитировать
Полный текст
Аннотация
Представлены результаты эксперимента по пероральному вводу с пищей полихлорированного бифенила (ПХБ) 118 в организмы рыб Danio rerio (Hamilton, 1822) (F0) с расчетными дозами 5, 20, 80 мкг/особь. В первом поколении F1 обнаружено снижение выживаемости и смещение в соотношении полов преимущественно в сторону самок. Во втором поколении F2 отмечены те же эффекты, что и в поколении F1, но не так ярко выраженные. Выдвинута гипотеза, что выявленные эффекты в поколении F2 могут быть вызваны эпигенетическими механизмами, которые еще плохо изучены. Возможно, феминизация популяций животных и снижение их выживаемости – весьма сильные факторы по сокращению популяций живых организмов, в том числе и человека, особенно вблизи очагов распространения ПХБ. Необходимо проведение исследования эпигенетических механизмов для разработки мер по устранению и предотвращению проблем с биотической деградацией и депопуляцией рыб в очагах воздействия ПХБ, которые возникли вследствие неправильной утилизации отходов электротехники, содержащей ПХБ.
Ключевые слова
Полный текст
ВВЕДЕНИЕ1
ПХБ относятся к опасным для здоровья живых организмов СОЗ (Kaya et al., 2018). В прошлом веке их использовали в качестве компонента масел для термоизоляции в электротехнических и бытовых приборах почти по всему миру (Hu et al., 2010). Эти вещества применяли с 1930-х до 1970-х годов, в конце этого периода были обнаружены опасные канцерогенные и токсические свойства данных соединений (Kraugerud et al., 2010). В связи с массовым производством трансформаторной электротехники, в которой использовали ПХБ, происходила утечка токсических веществ из оборудования (Nogales et al., 2001; Di Lenola et al., 2018). Значительная часть утекших загрязняющих веществ из утилизированного оборудования проникала в водоемы, где по пищевым цепям происходила биоаккумуляция токсиканта преимущественно в жировой ткани гидробионтов. При очень длительном периоде распада2 (Kyriklaki et al., 2016) и миграции по пищевым цепочкам (беспозвоночные – рыбы – млекопитающие) они могут попасть в организм человека и привести к негативным последствиям для его здоровья и, возможно, здоровья будущих поколений.
В связи с обнаруженными токсическими свойствами ПХБ, в большинстве стран приняты решения о запрете производства и утилизации оборудования с их использованием. В Российской Федерации производство ПХБ прекратили в 1993 г. Однако, несмотря на запрет и ограничение производства ПХБ, они все же попадают в окружающую среду, где становятся источником контаминации для живых организмов3�. Часто контаминации подвергаются и промысловые объекты. Например, имеются сведения о контаминации СОЗ в донных отложениях Рыбинского водохранилища, где среди идентифицированных СОЗ количественно преобладают ПХБ (Shcherbina, 2021; Tomilina et al., 2021; Tomilina et al., 2022).
Вопрос о воздействии подобных токсикантов на режим естественного воспроизводства биологических объектов рассматривали и для рыбопромысловых районов. Для Шекснинского плеса Рыбинского водохранилища отмечено снижение индекса токсичности по показателю “плодовитость” ветвистоусого рачка Сeriodaphnia dubia (Richard, 1894). Анализ зависимости между параметрами токсичности и химического состава донных отложений выявил достоверные корреляционные связи гибели и изменения размеров личинок хирономид от физико-химических характеристик грунта и содержания СОЗ, включая ПХБ, в донных отложениях (Tomilina et al., 2021).
Наибольшее беспокойство вызывает воздействие ПХБ на воспроизводительную систему живых организмов, приводящее к мертворождению, снижению выживаемости и патологии в развитии последующих поколений4. Подобные исследования проводят на модельных группах, имеющих довольно короткую генерацию поколений, например, на грызунах или рыбах Danio rerio (Нamilton, 1822). Чтобы оценить влияние ПХБ на выживаемость и развитие потомства Danio rerio, нами проведен эксперимент, где исследовали выживаемость, соотношение полов и онтогенез потомства рыб после воздействия ПХБ 118 (2,3′, 4,4′, 5-пентахлорбифенил) на родительские группы особей Danio rerio, в которых обработаны или самки F0, или самцы F0, или особи F0 обоих полов. Большее внимание уделяли выживаемости потомства и возможному смещению в соотношении полов, поскольку в ихтиологических исследованиях определению пола рыб отводится большое место при работах по систематике и биологии рыб и при оценке состояния рыбных запасов. Исследование полового состава (соотношения полов) в популяции и его изменений важно для прогнозирования численности рыб, осуществления акклиматизационных мероприятий и решения вопросов об охране редких или ценных видов. Как показано С.С. Шварцем, динамика популяционной структуры, включая и ее половой состав, – один из важнейших экологических механизмов эволюционного процесса (Георгиевский и др., 2006). Эти же исследования необходимы и для промысла (Правдин, 1966).
Цель работы – оценить разницу в снижении жизнеспособности и эффекта смещения в соотношении полов в последующих поколениях (F1 и F2), вызванных воздействием ПХБ 118 в группах, где отдельно обработаны самцы F0, самки F0 или родительские особи F0 обоих полов, а также выявить, аддитивны ли эффекты в потомствах в случае обработки родительских особей F0 обоих полов.
МАТЕРИАЛ И МЕТОДЫ ИССЛЕДОВАНИЯ
Для эксперимента использовали конгенер ПХБ 118, поскольку он диоксиноподобен и имеет четыре дескриптора в соединении: CP1, 4CL, PP, 2M5. Кроме того, известно, что ПХБ 118 способствует снижению фертильности потомственных самцов крыс после перорального введения низких доз конгенера в беременных самок крыс (Kuriyama, Chahoud, 2004). Поскольку ПХБ 118 способствует снижению фертильности потомственных самцов от их обработанных материнских крыс (Kuriyama, Chahoud, 2004), а данных по воздействию ПХБ на самцов модельных организмов в целом недостаточно, принято решение использовать именно его в качестве токсиканта.
Для эксперимента использовали рыб Danio rerio – полосатая, вуалевая форма, самки и самцы в количестве 250 шт. (125 самок F0, 125 самцов F0). Возраст рыб на момент их приобретения достигал 3 мес. после оплодотворения. Всех рыб содержали в лаборатории, в аквариумах на 20 и 120 л без проточной системы при нормальных условиях (световой режим 14:10 ч, температура воды 25 ± 0.5°С, водородный показатель pH 7.0 ± 0.5, общая жесткость воды dGH: 3–15). В аквариумах на 20 л находилось по 10 рыб, в каждом аквариуме были либо самки, либо самцы. Рыб поколения F0 содержали только в 20-литровых аквариумах, рыб поколения F1 и F2– в 20-литровых аквариумах только на ранней стадии жизни (до 35–40 сут с момента оплодотворения). Подросшую молодь F1 и F2, количество которой было от нескольких десятков до нескольких сотен на аквариум, переводили в аквариумы на 120 л. Частичную замену воды проводили 2 раза в неделю для аквариумов на 20 л и 1 раз в неделю для аквариумов на 120 л.
Рыб F0 кормили 2 раза в сутки сухим кормом Tetra Min granules в первую неделю периода адаптации, со второй недели – один 1 раз в сутки этим же кормом, в воскресные дни рыб не кормили. Рыб F1 и F2 в возрасте до 7 сут с момента оплодотворения не кормили. На 7–21-е сут с момента оплодотворения их кормили выращенными в лабораторных условиях инфузориями 5–6 раз в сутки и содержали при температуре 28°С. В возрасте 22–35 сут с момента оплодотворения личинок кормили науплиями артемии (Artemia salina (L., 1758) 3–4 раза в сутки. Температуру содержания снижали на 1°С еженедельно (вплоть до 25°С) и еженедельно повышали уровень воды в аквариумах мальков. В возрасте 35–60 сут рыб кормили 2 раза в сутки науплиями артемий, после 60 сут с момента оплодотворения – 1 раз в сутки сухим кормом Tetra Min granules.
Во время эксперимента для контроля качества воды ежедневно измеряли температуру в помещении и аквариумах и еженедельно контролировали качество воды, определяя общую жесткость воды, pH, содержание нитратов, нитритов, ионов аммония с помощью капельных индикаторных тестов качественной реакции НИЛПА или VladOx. В случае повышенной концентрации ионов аммония, нитритов и нитратов в воде, их содержание снижали путем замены воды (50–80% объема воды в аквариуме) и/или добавляли реактив “НИЛПА Антиаммиак”, растворяющий ионы аммония в воде (из расчета 5 мл реактива на 40 л воды). Постоянно проводили мониторинг состояния рыб (с учетом случаев гибели или заболевания, с описанием возможной причины гибели) и рабочего состояния оборудования (чистка фильтров, регулировка нагревателей). Ежедневно из аквариумов убирали остатки пищи и фекалии во избежание скоплений бактерий, а также образования ионов аммония.
Для моделирования вредного воздействия ПХБ 118 рыб F0 адаптировали к описанным выше лабораторным условиям, после чего экспонировали разными концентрациями данного токсиканта. Рыб расселяли по аквариумам для 10 групп экспонирования, в каждой из которых было по 10 самцов и 10 самок (табл. 1).
Таблица 1. Группы экспонирования рыб в эксперименте
Описание группы | Обозначение |
Контрольная группа (“чистые” самки и “чистые” самцы) | ♀0♂0 |
Экспонированные самки (низкая доза) и “чистые” самцы | ♀1♂0 |
Экспонированные самки (средняя доза) и “чистые” самцы | ♀2♂0 |
Экспонированные самки (высокая доза) и “чистые” самцы | ♀3♂0 |
“Чистые” самки и экспонированные самцы (низкая доза) | ♀0♂1 |
“Чистые” самки и экспонированные самцы (средняя доза) | ♀0♂2 |
“Чистые” самки и экспонированные самцы (высокая доза) | ♀0♂3 |
Экспонированные самки (низкая доза) и экспонированные самцы (низкая доза) | ♀1♂1 |
Экспонированные самки (средняя доза) и экспонированные самцы (средняя доза) | ♀2♂2 |
Экспонированные самки (высокая доза) и экспонированные самцы (высокая доза) | ♀3♂3 |
В ходе модельного эксперимента рыб подвергали обработке перорально согласно табл. 1. Затем, после экспонирования рыбы каждой группы нерестились для воспроизведения поколения F1. В процессе развития рыб поколения F1 оценивали токсический эффект ПХБ 118 на выживаемость и общее развитие.
В эксперименте применяли когенер ПХБ 118 в порошкообразном состоянии (масса 5 мг) в ампуле, чистота соединения >99%, производитель – AccuStandard (США). Экспонирование рыб F0 в возрасте 4 мес. с момента оплодотворения проходило перорально путем смешения конгенера ПХБ 118 с сухим кормом. Содержимое ампулы с конгенером ПХБ 118 (5 мг) растворяли в очищенном рыбьем жире печени тресковых рыб с помощью n-гексана в качестве растворителя. Полученный рыбий жир с растворенным в нем ПХБ 118 использовали для обработки корма, который позже имел самую высокую дозу. Для остальных двух доз делали разбавление очищенным рыбьим жиром без ПХБ 118. Затем обработанный ПХБ 118 рыбий жир трех разных концентраций смешивали с сухим кормом Tetra Min granules. Концентрации ПХБ 118 в жире были рассчитаны на 5, 20 и 80 мкг/особь (табл. 2). Из-за избегания ожирения рыб и загрязнения аквариумов кормление смесью обработанного жиром с ПХБ 118 корма проводили 1 раз в сутки и 3 раза в неделю (через сутки, в другие сутки кормили сухим кормом Tetra Min granules) на протяжении 3 нед в соответствии с табл. 1. Рыб F1 и F2 экспонированию не подвергали.
Таблица 2. Обозначение внешних доз ПХБ 118 в рыбьем жире для экспонирования
Доза | К | Обозначение |
Нет дозы | 0 | 0 |
Низкая | 5 | 1 |
Средняя | 20 | 2 |
Высокая | 80 | 3 |
Примечание. К – концентрация, мкг/особь
В возрасте 6 мес после оплодотворения рыб F0 отсаживали на нерест в 20-литровые аквариумы спустя 1 сут после голодания в вечернее время за 14–16 ч до нереста. На нерест отсаживали рыб группами по три самки и четыре самца, и оставляли рыб до 10–11 ч утра (до полного завершения нереста). Если в каких-либо группах нерест не происходил, эксперимент повторяли через 1 нед в этих же группах. Рыб после нереста отсаживали обратно. Всех рыб поколения F0, участвовавших в эксперименте, подвергали эвтаназии в возрасте 7 мес после оплодотворения путем быстрого замораживания и утилизировали. По достижению возраста рыб F1 4 мес до 10 самцов и 10 самок каждой группы случайным образом отбирали для воспроизведения поколения F2, остальных рыб подвергали эвтаназии путем быстрого замораживания и последующей утилизации.
Токсический эффект ПХБ 118 на выживаемость оценивали после нереста поколения F1 и F2 путем подсчета погибшей икры, погибших мальков в возрасте до 1 мес с момента оплодотворения (до 30 сут после оплодотворения), а также выживших молодых рыб старше 30 сут после оплодотворения. Собирали и подсчитывали погибшую икру на 5-е сут после оплодотворения с момента, когда личинки выводились из икры и прикреплялись к стеклу. Далее после 7 сут после оплодотворения ежедневно, за исключением выходных дней, собирали и подсчитывали погибших личинок, а также больных личинок, которые лежали на дне аквариума. Затем, при переводе рыб в возрасте 35–40 сут после оплодотворения в аквариумы на 120 л, подсчитывали рыб, оставшихся живыми, и определяли с помощью записей количество выжившей молоди рыб за период 30 cут после оплодотворения.
Перед определением пола у рыб поколений F1 и F2 рыб подвергали эвтаназии путем быстрого замораживания в воде. Возраст рыб на момент эвтаназии достигал 4 мес (120 сут с момента оплодотворения). Пол каждой рыбы определяли по двум критериям: форме тела и окраске. Самки зебрафиш, как правило, имеют серебристую окраску с ярко-синими полосами и более округлую форму тела за счет зрелой икры; у самцов – желтоватая окраска с менее яркими синими полосами и стреловидная форма тела, поскольку гонады самцов по размеру гораздо меньше гонад самок (Eaton et al., 1974; Laale, 1977; Spence et al., 2008; Kossack et al., 2019).
Результаты эксперимента выживаемости мальков были получены в виде нелинейных регрессий, которые проверяли на статистическую значимость и адекватность. Для этого регрессии приводили к линейному типу путем логарифмирования. Далее статистическую оценку значимости уравнений регрессий проводили с помощью F-критерия Фишера, сравнивая с функцией одностороннего F-распределения вероятностей на уровне значимости 0.05. Все регрессионные уравнения статистически значимы. По значениям регрессионных уравнений вычисляли средние с доверительным интервалом 95%. Для сравнения средних значений подопытных групп на предмет статистических различий эти выборки проверяли на нормальность, с последующим использованием непараметрического критерия Вилкоксона. Все анализы и расчеты проводили с помощью программного обеспечения IBM SPSS Statistics v. 23.0 (Корпорация IBM, Армонк, штат Нью-Йорк, США).
РЕЗУЛЬТАТЫ ИССЛЕДОВАНИЯ
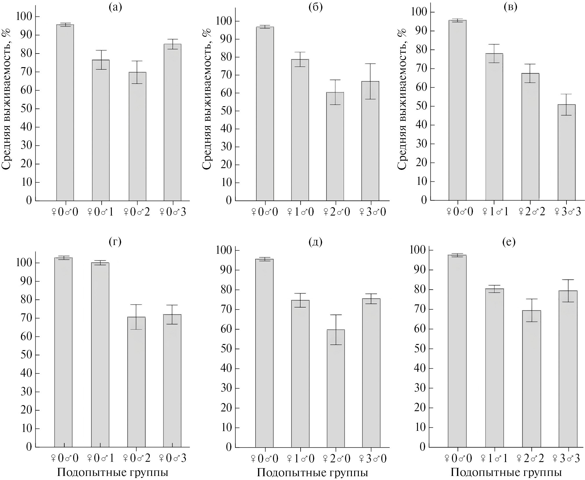
Выживаемость поколения F1. После экспонирования проводили наблюдение за рыбами F0. Каких-либо видимых эффектов, вызывающих нарушения в процессе развития, и отклонений в поведении рыб не обнаружено. Эмбриональное развитие в поколении F1 протекало во всех группах примерно одинаково. Вылупление (выклев) личинок проходило на 5-е сут после оплодотворения. В процессе развития мальков в течение 30 сут фиксировали количество погибших мальков. После подсчета выживших мальков вычисляли процент выживаемости мальков в каждые из 30 сут. На основе полученных данных были построены регрессии, средние значения которых представлены на рис. 1.
Рис. 1. Средняя выживаемость мальков F1 (а–в) и F2 (г–е) в течение 30 сут после оплодотворения.: а, г – только родители–самцы F0; б, д – только родители–самки F0; в, е – оба пола родительских особей F0. Даны среднее значение ± стандартное отклонение. Обозначения и описание подопытных групп даны в табл. 2.
Анализ полученных данных показал, что во всех группах обработки (табл. 1) происходило снижение выживаемости относительно контрольной группы в течение 30 сут после оплодотворения. В двух типах обработок особей ПХБ ♀0♂n и ♀n♂0 оказалась нарушенной дозозависимость (рис. 1а, 1б). В группе ♀0♂3 и ♀3♂0 среднее значение выживших мальков было выше, чем в группах с меньшими дозами, но ниже, чем в контроле, и эти различия статистически значимы. Однако однозначного объяснения этого результата пока нет.
При сравнении всех групп зависимостей ♀0♂n, ♀n♂0 и ♀n♂n относительно контрольной группы выявлено, что эффект воздействия ПХБ 118 наиболее ярко выражен в группах ♀n♂0, по сравнению с группами ♀0♂n. Следует также отметить, что в группах ♀n♂n наблюдали аддитивный эффект при высокой дозе обработки.
Соотношение полов в поколении рыб F1. Этот показатель определяли после исследования пола у каждой рыбы. Поскольку половозрелость рыб Danio rerio часто определяется не возрастом, а размерами тела6, пол у некоторых рыб не смогли определить из-за слишком маленьких размеров тела (SL <2 см). У рыб с наиболее медленным онтогенезом к 4 мес с момента оплодотворения еще не проявляются признаки полового диморфизма.
В табл. 3 представлены данные по соотношению полов в поколении F1 по трем способам экспозиции. Доли самок и самцов рассчитывали от всей подопытной группы, включая также рыб, пол которых не удалось определить. Однако у рыб, у которых пол не определен из-за отсутствия явных признаков полового диморфзима, по-видимому, уже произошла дифференциация гонад, поскольку у зебрафиш при нормальном развитии ее отмечают на 2-м мес после оплодотворения. Соответственно, таких рыб включили в анализируемые результаты. Таким образом, соотношение полов в таблицах представлены в виде: процента самцов от группы + процента половины рыб с неопределенным полом от группы ± процента половины рыб с неопределенным полом от группы; процента самок от группы + процента половины рыб с неопределенным полом от группы ± процента половины рыб с неопределенным полом от группы.
Таблица 3. Соотношение полов в группах поколений F1 и F2
Подопытная группа | Самки, % | Самцы, % |
Поколение F1 | ||
♀0♂0 | 48.03 ± 1.98 | 51.97 ± 1.98 |
♀1♂1 | 64.74 ± 5.77 | 35.26 ± 5.77 |
♀2♂2 | 66.96 ± 2.05 | 33.04 ± 2.05 |
♀3♂3 | 91.67 ± 2.38 | 8.33 ± 2.38 |
♀0♂1 | 55.49 ± 0.55 | 44.51 ± 0.55 |
♀0♂2 | 53.25 ± 1.30 | 46.75 ± 1.30 |
♀0♂3 | 84.42 ± 7.61 | 15.58 ± 7.61 |
♀1♂0 | 61.03 ± 7.15 | 38.96 ± 7.15 |
♀2♂0 | 68.00 ± 7.34 | 32.00 ± 7.34 |
♀3♂0 | 48.07 ± 1.16 | 51.92 ± 1.16 |
Поколение F2 | ||
♀0♂0 | 48.03 ± 1.98 | 51.97 ± 1.98 |
♀1♂1 | 88.24 ± 0.00 | 11.76 ± 0.00 |
♀2♂2 | 73.33 ± 12.50 | 26.67 ± 12.50 |
♀3♂3 | 39.36 ± 1.07 | 60.64 ± 1.07 |
♀0♂1 | 70.31 ± 9.38 | 29.69 ± 9.38 |
♀0♂2 | 58.77 ± 18.42 | 41.23 ± 18.42 |
♀0♂3 | 76.04 ± 3.82 | 23.96 ± 3.82 |
♀1♂0 | 73.94 ± 7.75 | 26.06 ± 7.75 |
♀2♂0 | 72.51 ± 7.02 | 27.49 ± 7.02 |
♀3♂0 | 59.52 ± 2.38 | 40.47 ± 2.38 |
По результатам эксперимента, в группах ♀0♂n и ♀n♂n наблюдали увеличение эффекта смещения в соотношении полов в сторону самок, в группах ♀n♂0 происходило стимулирование этого эффекта на низких дозах обработки, а затем его затухание.
Выживаемость поколения F2. После сбора данных по выживаемости мальков F1, молодь Danio rerio выращивали до половозрелого возраста 4 мес (120 сут после оплодотворения). Затем от каждой подопытной группы отбирали по 10 самок и 10 самцов для воспроизведения поколения F2 и помещали в аквариумы объемом 20 л раздельно по полу. Остальных рыб подвергли эвтаназии путем их быстрой заморозки с аквариумной водой. Оставшихся рыб содержали на протяжении 2 нед перед нерестом, чтобы самки накопили зрелую икру. Затем рыб F1 отсаживали для нереста и получения икры. Развитие мальков поколения F2 протекало во всех группах примерно одинаково. Вылупление (выклев) мальков из икры происходило на ~5-ые сут после оплодотворения. Погибшую икру и мальков подсчитывали в течение 1 мес и, по аналогии с поколением F1, рассчитывали процент выживших мальков в каждые из 30 сут с момента оплодотворения.
Во всех анализируемых группах рыб наблюдали снижение выживаемости относительно контрольной группы (рис. 1г–1е), но выраженной зависимости величины степени выживаемости от величины дозы не выявлено. Интересно, что группы ♀n♂n показали в целом более высокую выживаемость, чем группы ♀n♂0, поскольку ожидалось, что обработка приведет к аддитивному эффекту ПХБ 118 не только в потомстве F1, но и в последующем поколении F2.
Соотношение полов в поколении F2. Пол рыб у поколения F2 определяли по аналогии с поколением F1. В табл. 3 также дано соотношение полов в поколении F2 по трем способам экспозиции. В группах ♀n♂0 и ♀n♂n наблюдали обратную зависимость, где с возрастанием дозы токсиканта сила эффекта снижалась. В некоторых группах простимулирован ярко-выраженный эффект ПХБ 118 смещения в соотношении полов в сторону самок. В группах ♀0♂n не выявлено четкой тенденции по смещению в соотношении полов, но во всех трех случаях отмечено увеличение количества самок.
ОБСУЖДЕНИЕ РЕЗУЛЬТАТОВ
Цель нашего эксперимента состояла в исследовании токсического эффекта ПХБ 118 на выживаемость последующих поколений и эффекта смещения в соотношении полов в последующих поколениях после обработки родительских особей зебрафиш. В проведенном эксперименте погрешности в полученных результатах могли быть вызваны многими факторами, наиболее значимыми из которых – плотность заселения потомства и, следовательно, возможно различающаяся экспрессия генов у особей на каждую подопытную группу. В любом случае, данный модельный организм нельзя воспринимать как точный механизм, с помощью которого можно получить точные результаты экспериментов.
Смертность потомства. Обработка особей Danio rerio конгенером ПХБ 118 привела к снижению выживаемости относительно контрольной группы в следующем поколении F1 и в последующем F2, хотя поколение F1 не подвергалось обработке. Однако в целом не выявлена зависимость степени выживаемости мальков от дозы токсиканта. По-видимому, накопление низкой дозы ПХБ стимулирует эффект снижения выживаемости в потомстве. Но при поступлении в организм более высоких доз ПХБ происходит затухание эффекта снижения выживаемости поскольку организм рыб мог вывести излишки контаминанта во избежание сильного отравления.
Еще одна возможная причина отсутствия дозозависимости эмбриотоксического эффекта ПХБ – высокий разброс по количеству икры на нерест. В каждой подопытной группе было отобрано для нереста по три самки. В процессе нереста могли отнереститься либо одна, либо две, либо все три самки; количество выметанной икры разными самками могло значительно варьировать. Мы не стали проводить нерест искусственным путем, чтобы гарантированно получить потомство от подопытных особей. Это могло привести к риску возникновения патологий, вызванных повреждением икры во время выдавливания ее из самок, и нарушило бы чистоту эксперимента.
Поколение рыб F1 не подвергали обработке, но эмбриотоксический эффект в поколении F2 был обнаружен, это может свидетельствовать о наличии эпигенетического механизма, который вызвал изменения экспрессии генов у поколения F1, повлиявшую на выживаемость мальков поколения F2. Например, в работе (Lyche еt al., 2010) авторы сообщают об изменениях экспрессии генов в яичнике у самок после обработки смесью СОЗ, в составе которых присутствовали конгенеры ПХБ. Экспрессируемые гены были связаны с раком, метаболическими заболеваниями, заболеваниями репродуктивной системы, гибелью клеток, метаболизмом липидов, низкомолекулярной биохимией и аномальным развитием органов. В то же время, по данным (Alfonso еt al., 2019), отмечено изменение транскрипции генов у последующих поколений F1–F4 после обработки поколения F0 смесью из 22 конгенеров ПХБ и семи конгенеров полибромированных дифениловых эфиров (ПБДЭ).
Соотношение полов. Обработка особей Danio rerio конгенером ПХБ 118 привела к смешению в соотношении полов в сторону самок в обоих поколениях потомства (в F1 и F2). Однако этот эффект в поколении F1 оказался более ярко выражен при обработке самок поколения F0, чем при обработке самцов F0. Смещение соотношения полов в поколении F2 вряд ли достоверно, поскольку поколение F1 не подвергали обработке ПХБ 118. Следовательно, смещение в соотношении полов могло случиться не только при воздействии ПХБ 118, но и из-за различий в генетике рыб.
Мы исходили из того, что воздействие эстрогеноподобных ПХБ может вызвать повышенную смертность в потомстве у млекопитающих за счет доимплатационной гибели самцов. Однако в случае с рыбами ситуация другая. Личинки зебрафиш изначально рождаются с набором половых клеток и мужских, и женских (Kossack, Draper, 2019). Т. е., эмбрионы и личинки зебрафиш – ювенильные гермафродиты (Takahashi, 1977), и пол определяется полигенным механизмом (Liew et al., 2012). Кроме того, вместе с генетическим механизмом пол также зависит от факторов окружающей среды: температуры воды, концентрации кислорода в воде, плотности популяции в воде и доступностью пищи (Kossack, Draper, 2019). Это значит, что более суровые условия (пониженная температура воды, высокая плотность популяции в аквариуме, сниженное содержание кислорода) стимулируют развитие особей как самцов, а более щадящие условия (повышенная температура воды, оптимальная плотность популяции в аквариуме, повышенное содержание кислорода) – как самок. На изменение условий жизни, в частности обеспеченности пищей, популяция закономерно отвечает изменением половой структуры, что вызывает соответствующие изменения в темпе воспроизводства стада и в качестве воспроизводимого потомства (Макеева, Никольский, 1965). Рыбы Danio rerio для определения пола также используют хромосомную систему ZW/ZZ, где у самок гетерогаметный пол с набором ZW, а у самцов гомогаметный пол с набором ZZ (Wilson et al., 2014). Однако хромосомный механизм не дает гарантии определения пола рыб Danio rerio. В некоторых случаях особи с набором ZW могут развиваться как самцы во многом из-за отсутствия стимулирующего фактора развития особи как самки в W-хромосоме. Таким образом, обработка особей ПХБ 118 могла вызвать гибель мужских половых клеток у потомства, вследствие чего появилось больше предпосылок на развитие особей как самок и смещение соотношения полов в сторону самок у обработанной ПХБ популяции. Возможно, это происходило за счет снижения регуляции генов, способствующих развитию особей как самцов, и повышения регуляции генов, способствующих развитию особей как самок, а также из-за подавления стимулирующего фактора развития особей как самцов в Z-хромосоме.
Связь соотношения полов и смертности потомства. В группах обработки ♀n♂n поколения F1 замечена тенденция увеличения доли самок со снижением выживаемости. В группах ♀0♂n поколения F1 низкая и средняя дозы значительно снизили выживаемость, но почти не поменяли соотношение полов. Однако высокая доза ПХБ 118 вызвала меньший эмбриотоксический эффект у потомства, нежели более низкие дозы ПХБ 118. В то же время, в группе ♀0♂3 F1 со сниженной смертностью происходил значительный сдвиг в соотношении полов в сторону самок. В группe ♀n♂0 F1 наблюдали обратную ситуацию, у ♀1♂0 и ♀2♂0 выживаемость была снижена, а соотношение полов значительно сдвинуто в сторону самок, но в группе ♀3♂0 соотношение полов было ~ 1 : 1, учитывая смертность. По-видимому, воздействие ПХБ 118 на родителей спровоцировало повышенную смертность в потомстве, причем это коррелирует с подавлением развития мужских половых клеток у выжившего потомства. Однако в случае с поколением рыб F2 такой четкой зависимости не наблюдали. В группах ♀0♂n F2 произошло снижение выживаемости, но смещение в соотношении полов не носило линейного характера. Аналогичную ситуацию наблюдали и в группах ♀n♂0 F2, где соотношение полов во всех группах также было смещено в сторону самок, но не связано напрямую с выживаемостью особей поколения F2. В группах ♀n♂n F2 с низкой и средней дозой обработки произошло смещение соотношения полов в сторону самок, но в группе с высокой дозой обработки ♀3♂3 F2 соотношение полов оказалось смещено в сторону самцов. В целом отмечено наличие эффекта ПХБ 118 в поколении F2 после обработки поколения F0, но этот эффект не так ярко выражен, как в поколении F1.
Результаты эксперимента показали, что под влиянием ПХБ 118 повысилась смертность в потомстве и сдвинулось соотношение полов в сторону самок, что можно считать сильными факторами деградации популяций различных видов, в том числе и гидробионтов, поскольку рыбы Danio rerio очень схожи с другими видами лучеперых рыб7.
ЗАКЛЮЧЕНИЕ
Воздействие ПХБ 118 на родительские особи Danio rerio (F0) оказывает влияние на выживаемость их потомства (F1) и, в меньшей степени, на последующее поколение (F2). Также ПХБ 118 оказывает влияние на соотношение полов в последующих поколениях, где этот эффект более заметен в первом поколении F1, чем во втором F2. Возможно, феминизация популяций животных и снижение их выживаемости – весьма сильные факторы по сокращению популяций живых организмов, в том числе и человека, особенно вблизи очагов распространения ПХБ. Выдвинута гипотеза, что снижение выживаемости в потомстве и феминизация в группах потомства может быть связана со снижением регуляции генов, которые стимулируют развитие особей как самцов, и с подавлением развития Z-хромосомы в процессе дифференциации гонад на ювенильной стадии жизни рыб Danio rerio. Приведенные в гипотезе эпигенетические механизмы еще плохо исследованы и требуют дальнейшего изучения для разработки мер по устранению и предотвращению проблем с демографической деградацией и депопуляцией рыб, которые подвергаются контаминации в очагах воздействия ПХБ, образованных вследствие неправильной утилизации отходов электротехнического оборудования, содержащего ПХБ.
ФИНАНСИРОВАНИЕ
Работа выполнена при финансовой поддержке Российского научного фонда (проект № 22-15-20076). Никаких дополнительных грантов на проведение или руководство данным конкретным исследованием получено не было.
1 Сокращения: ПХБ – полихлорированные бифенилы, СОЗ – стойкие органические загрязнители.
2 Polychlorinated biphenyls and polybrominated biphenyls // IARC monographs on the evaluation of carcinogenic risks to humans. Lyon. France. 2016. 107. P. 509. URL: https://publications.iarc.fr/131.
3 UNEP, 2015. Preliminary assessment of efforts made toward the elimination of polychlorinated biphenyls // Stockholm Convention on Persistent Organic Pollutants. Geneva. Switzerland. P. 40. URL: http://chm.pops.int/Implementation/IndustrialPOPs/PCB/Meetings/6thmeetingPENAdvisoryCommittee/tabid/4779/Default.aspx.
4 AMAP Assessment 2021: Human Health in the Arctic. 2021. // Arctic Monitoring and Assessment Programme (AMAP). Tromsø. Norway. xii + 254 pp. URL: https://www.amap.no/documents/download/6889/inline.
5 Polychlorinated biphenyls and polybrominated biphenyls. 2016. // IARC monographs on the evaluation of carcinogenic risks to humans. Lyon. France. V. 107. P. 509. URL: https://publications.iarc.fr/131.
6 CCAC guidelines: Zebrafish and other small, warm-water laboratory fish. 2020. // Canadian Council on Animal Care (CCAC). Ottawa. Canada. P. iv + 104. URL: https://ccac.ca/Documents/Standards/Guidelines/CCAC_Guidelines-Zebrafish_and_other_small_warm-water_laboratory_fish.pdf.
7 CCAC guidelines: Zebrafish and other small, warm-water laboratory fish. 2020. // Canadian Council on Animal Care (CCAC). Ottawa. Canada. P. iv + 104. URL: https://ccac.ca/Documents/Standards/Guidelines/CCAC_Guidelines-Zebrafish_and_other_small_warm-water_laboratory_fish.pdf.
Об авторах
Д. А. Коцур
Северный (Арктический) федеральный университет им. М.В. Ломоносова; Федеральный исследовательский центр комплексного изучения Арктики им. академика Н.П. Лаверова Уральского отделения Российской академии наук
Автор, ответственный за переписку.
Email: mitia.kotsur@yandex.ru
Россия, Архангельск; Архангельск
А. П. Новоселов
Федеральный исследовательский центр комплексного изучения Арктики им. академика Н.П. Лаверова Уральского отделения Российской академии наук
Email: mitia.kotsur@yandex.ru
Россия, Архангельск
Т. Ю. Сорокина
Северный (Арктический) федеральный университет им. М.В. Ломоносова
Email: mitia.kotsur@yandex.ru
Россия, Архангельск
А. С. Аксенов
Северный (Арктический) федеральный университет им. М.В. Ломоносова
Email: mitia.kotsur@yandex.ru
Россия, Архангельск
В. П. Чащин
Северный (Арктический) федеральный университет им. М.В. Ломоносова; Северо-Западный государственный медицинский университет им. И.И. Мечникова; Национальный исследовательский университет “Высшая школа экономики”, Институт экологии; Северо-Западный научный центр гигиены и общественного здоровья Федеральной службы по защите прав потребителей и благополучию человека
Email: mitia.kotsur@yandex.ru
Россия, Архангельск; Санкт-Петербург; Москва; Санкт-Петербург
Список литературы
- Георгиевский В.И., Бурков И.А., Майстров В.И. 2006. Проблемы регуляции пола у животных и роль H-Y антигена // Сельскохозяйственная биология. № 10. С. 110.
- Макеева А.П., Никольский Г.В. 1965. Половая структура нерестовой популяции рыб, ее приспособительное значение и способы регуляции // Теоретические основы рыбоводства. М.: Наука. С. 53.
- Правдин И.Ф. 1966. Руководство по изучению рыб. М.: Пищ. пром-сть.
- Томилина И.И., Гребенюк Л.П., Ложкина Р.А. 2022. Токсичность донных отложений Рыбинского водохранилища по многолетним данным биотестирования. Сообщение 2. Тератологические исследования // Биология внутр. вод. № 1. С. 84. https://doi.org/10.31857/S0320965222010132
- Томилина И.И., Ложкина Р.А., Гапеева М.В. 2021. Токсичность донных отложений Рыбинского водохранилища по многолетним данным биотестирования. Сообщение 1. Токсикологические исследования // Биология внутр. вод. № 6. С. 640. https://doi.org/10.31857/S0320965221060188
- Щербина Г.Х. 2021. Сравнительный анализ пищевого спектра леща Abramis brama l. (Cyprinidae, Pisces) на разнотипных участках Рыбинского водохранилища // Биология внутр. вод. № 5. С. 511. https://doi.org/10.31857/S0320965221040124
- Alfonso S., Blanc M., Joassard L. et al. 2019. Examining multi- and transgenerational behavioral and molecular alterations resulting from parental exposure to an environmental PCB and PBDE mixture // Aquat. Toxicol. V. 208. P. 29. https://doi.org/10.1016/j.aquatox.2018.12.021
- Di Lenola M., Caracciolo A.B., Grenni P. et al. 2018. Effects of apirolio addition and alfalfa and compost treatments on the natural microbial community of a historically PCB-contaminated soil // Water, Air, and Soil Pollution. V. 229. Article № 143. https://doi.org/10.1007/s11270-018-3803-4
- Eaton R.C., Farley R.D. 1974. Growth and the reduction of depensation of zebrafish, Brachydanio rerio, reared in the laboratory // Copeia. V. 1974. P. 204. https://doi.org/10.2307/1443024
- Hu D., Hornbuckle K.C. 2010. Inadvertent polychlorinated biphenyls in commercial paint pigments // Environ. Sci. and Technol. V. 44. № 8. P. 2822. https://doi.org/10.1021/es902413k
- Kaya D., Imamoglu I., Sanin F.D., Sowers K.R. 2018. A comparative evaluation of anaerobic dechlorination of PCB-118 and Aroclor 1254 in sediment microcosms from three PCB-impacted environments // J. Hazardous Mat. V. 341. P. 328. https://doi.org/10.1016/j.jhazmat.2017.08.005
- Kossack M.E., Draper B.W. 2019. Genetic regulation of sex determination and maintenance in zebrafish (Danio rerio) // Current Topics in Develop. Biol. V. 134. P. 119. https://doi.org/10.1016/bs.ctdb.2019.02.004
- Kraugerud M., Zimmer K.E., Dahl E. et al. 2010. Three structurally different polychlorinated biphenyl congeners (Pcb 118, 153, and 126) affect hormone production and gene expression in the human H295R in vitro model // J. Toxicol. and Environ. Health. Part A. V. 73. № 16. P. 1122. https://doi.org/10.1080/15287394.2010.484338
- Kuriyama S.N., Chahoud I. 2004. In utero exposure to low-dose 2,3′,4,4′,5-pentachlorobiphenyl (PCB 118) impairs male fertility and alters neurobehavior in rat offspring // Toxicology. V. 202. № 3. P. 185. https://doi.org/10.1016/j.tox.2004.05.006
- Kyriklaki A., Vafeiadi M., Kampouri M. et al. 2016. Prenatal exposure to persistent organic pollutants in association with offspring neuropsychological development at 4 years of age: The Rhea mother-child cohort, Crete, Greece // Environ. Int. V. 97. P. 204. https://doi.org/10.1016/j.envint.2016.09.012
- Laale H.W. 1977. The biology and use of zebrafish, Brachydanio rerio in fisheries research. A literature review // J. Fish Biol. V. 10. P. 121.
- Liew W.C., Bartfai R., Lim Z. et al. 2012. Polygenic sex determination system in zebrafish // PLoS ONE. V. 7. № 4. P. e34397. https://doi.org/10.1371/journal.pone.0034397
- Lyche J.L., Nourizadeh-Lillabadi R., Almaas C. et al. 2010. Natural mixtures of persistent organic pollutants (pop) increase weight gain, advance puberty, and induce changes in gene expression associated with steroid hormones and obesity in female zebrafish // J. Toxicol. and Environ. V. 73. № 15. P. 1032. https://doi.org/10.1080/15287394.2010.481618
- Nogales B., Moore E.R.B., Llobet-Brossa E. et al. 2001. Combined use of 16S ribosomal DNA and 16S rRNA to study the bacterial community of polychlorinated biphenyl-polluted soil // Appl. Environ. Microbiol. V. 67. № 4. P. 1874. https://doi.org/10.1128/AEM.67.4.1874-1884.2001
- Spence R., Gerlach G., Lawrence C., Smith C. 2008. The behaviour and ecology of the zebrafish, Danio rerio // Biol. Rev. V. 83. P. 13. https://doi.org/10.1111/j.1469-185X.2007.00030.x
- Takahashi H. 1977. Juvenile hermaphroditism in the zebrafish Brachydanio rerio // Bulletin of the Faculty of Fisheries Hokkaido University. V. 28. № 2. P. 57.
- Wilson C.A., High S.K., McCluskey B.M. et al. 2014. Wild sex in zebrafish: Loss of the natural sex determinant in domesticated strains // Genetics. V. 198. № 3. P. 1291. https://doi.org/10.1534/genetics.114.169284
Дополнительные файлы




