Comparative phylogeography of vicariant species of the Daphnia longispina s.lat. complex (Crustacea: Cladocera) in North Eurasia
- Authors: Zuykova E.I.1,2, Sleptzova L.P.1, Bochkarev N.A.1,2, Zakharov E.S.3, Zakharova N.N.3, Kotov A.A.4
-
Affiliations:
- Institute of Systematics and Ecology of Animals of the Siberian Branch of Russian Academy of Sciences
- Saint Petersburg branch of the Federal State Budget Scientific Institution “Russian Federal Research Institute of Fisheries and oceanography”
- Federal State Autonomus Education Institute of Higher Education "M.K. Ammosov North-Eastern Federal University"
- A. N. Severtsov Institute of Ecology and Evolution of Russian Academy of Sciences
- Issue: Vol 17, No 5 (2024)
- Pages: 685-703
- Section: ВОДНАЯ ФЛОРА И ФАУНА
- URL: https://journal-vniispk.ru/0320-9652/article/view/272422
- DOI: https://doi.org/10.31857/S0320965224050017
- EDN: https://elibrary.ru/XSQBFH
- ID: 272422
Cite item
Full Text
Abstract
This study presents new data on population-genetic polymorphism, phylogeny and phylogeography of two vicariant species belonging to the Daphnia longispina s.lat. complex (Crustacea: Cladocera) in northern Eurasia, D. longispina s.str. and D. dentifera. Based on the variability of the fragments of non-coding 12S rRNA and the protein coding ND2 genes of mitochondrial DNA, the demographic processes that took place in populations of this vast region have been reconstructed. The previously suggested hypothesis about the different demographic history of the “Siberian” and “European” D. longispina s.str. clades has not been confirmed, since we first revealed a deep mitochondrial divergence within the “Siberian” clade. Moreover, a new divergent lineage of D. longispina s.str. in Siberia has been identified. Nevertheless, the phylogeographic patterns of D. longispina s.str. and D. dentifera in northern Eurasia confirm the earlier conclusion that repeated, combined effects on their populations of dispersion and vicariate events occurred in different phases of the Pleistocene.
Full Text
ВВЕДЕНИЕ
Филогеография как учение об исторических процессах, объясняющих современное распространение особей, способствует более глубокому пониманию эволюционной истории разных видов животных (Avise et al., 1987; Templeton, 1998; Avise, 2000; Knowles, Maddison, 2002). В связи с накоплением молекулярно-генетических данных исследователям представилась возможность изучать эволюционные процессы и реконструировать биогеографические паттерны распределения генотипов у разных семейств, родов и групп видов ветвистоусых ракообразных (Crustacea: Cladocera), представляющих важнейшую модельную группу современной эволюционной биологии и биогеографии (Taylor et al., 1996).
Одним из важных результатов исследований ветвистоусых ракообразных был отказ от концепции их “космополитического распространения” (Frey, 1987; Hebert, Wilson, 1994). Данное заключение, в частности, подтверждается высоким уровнем генетической дивергенции между популяциями разных групп кладоцер как в региональном, так и глобальном масштабах (Hebert et al., 2003; Penton, Crease, 2004; Jeffery et al., 2011; Huang et al., 2014). Одна из причин высокого генетического разнообразия в региональном масштабе – быстрая монополизация вновь образующихся водоемов видами, часто немногочисленными клонами отдельных видов, которые первыми вселились в него (De Meester et al., 2002). Формирование пространственного генетического разнообразия в значительной степени определяется “эффектом основателя”, влияние которого весьма продолжительно по времени (в течение столетий). Не менее важная роль отводится аллопатрическому видообразованию, когда географические преграды затрудняют поток генов между популяциями одного вида кладоцер (Taylor et al., 1998; Hebert et al., 2003). Изучение генетических паттернов в разных таксономических группах кладоцер на обширных географических территориях привело к выявлению высокого биологического разнообразия, в том числе и в Палеарктике, которое оказалось несомненно выше, чем это считалось ранее (Adamowicz et al., 2009; Belyaeva, Taylor, 2009; Crease et al., 2012; Kotov et al., 2021). Для ряда макротаксонов кладоцер было выдвинуто предположение, что многие “обычные таксоны” представляют собой видовые комплексы. Первый сигнал, что под одним названием скрывается несколько видов, – выявление в его пределах молекулярно-генетическими методами крупных дистантных филогрупп. Сравнительные филогеографические исследования разных групп кладоцер предоставляют возможность реконструкции микроэволюционных процессов в пределах видов и видовых комплексов.
Собранные к настоящему времени многочисленные данные по кладоцерам и другим группам пресноводных животных свидетельствуют об огромном влиянии на эволюционную историю популяций и видов плейстоценовых оледенений (Hewett, 2000). Ледниковый щит в северных и горных районах и катастрофическая аридизация свободных ото льда территорий периодически делали их непригодными для существования пресноводной фауны. Вследствие этого популяции ветвистоусых ракообразных в периоды оледенений сохранялись в рефугиумах – водоемах, подверженных лишь умеренному воздействию оледенений, при этом численность большинства ракообразных сильно сокращалась, испытывая так называемый эффект “бутылочного горлышка” (Taylor et al., 1998; Ishida, Taylor, 2007а).
Подобные заключения были сделаны и при исследовании разными авторами популяций нескольких групп видов рода Daphnia O.F. Müller, 1776 (Anomopoda: Daphniidae) – одного из самых многочисленных и хорошо изученных таксонов ветвистоусых ракообразных (Ma et al., 2014; Ventura et al., 2014; Kotov, Taylor, 2019). Этому роду принадлежит и группа видов D. longispina s.lat., объединяющая обычнейших ракообразных Голарктики (Benzie, 2005). Ранее нами было показано, что филогеографические паттерны разных видов группы D. longispina s.lat. в северо-восточной части Евразии образовались как результат различных дисперсионных и викариантных событий, происходивших неоднократно в разные периоды плейстоцена (Zuykova et al., 2018b; 2019; 2021; 2022). Однако у данных работ была цель выявить общие филогеографические паттерны этой группы видов Северной Евразии, часто с малым вниманием на конкретных особенностях популяций в разных ее районах.
Цель нашего исследования – выявить региональные особенности распределения митохондриальных гаплотипов и популяционно-генетической структуры викариантных видов D. longispina s.str. O.F. Müller, 1776 и D. dentifera Forbes, 1893 на территории Азиатской части РФ.
МАТЕРИАЛ И МЕТОДЫ ИССЛЕДОВАНИЯ
Материалом для данного исследования послужили пробы, содержащие особей Daphnia longispina s.str. и D. dentifera из водоемов Азиатской части Евразии (Доп. мат. табл. S1). По сравнению с предыдущими исследованиями (Zuykova et al., 2013a; 2013b; 2017; 2018; 2019), материал дополнен новыми образцами из водоемов Республики Саха (Якутия), бассейна р. Енисея и оз. Байкал. Все пробы фиксировали очищенным 96%-ным этанолом. Перед выделением ДНК каждую особь идентифицировали (по возможности до вида). Общую геномную ДНК экстрагировали из отдельно взятых особей с помощью 5%-ного раствора Chelex 100 resin (BioRad, США). Амплификацию фрагментов некодирующего гена 12S рРНК и белок кодирующего гена ND2 (NADH-дегидрогеназы субъединицы 2) митохондриальной ДНК проводили в программируемых термостатах М111 (ООО “БИС-Н”, г. Новосибирск, Россия) с использованием прямого и обратного праймеров. Параметры термопрофилей и последовательности праймеров для амплификации фрагментов генов мтДНК соответствовали указанным ранее (Zuykova et al., 2013; 2018a). Полученные нуклеотидные последовательности (согласно обнаруженным гаплотипам) были депонированы в международную базу данных GenBank (NCBI) под следующими номерами: OR251788-OR251808 и OR236733-OR236754. Их редактировали в программе BioEdit v.7.0 (Hall, 1999) и затем выравнивали с помощью алгоритма MAFFT v. 7 с помощью интернет-приложения (Katoh et al., 2019).1
В анализ включали только оригинальные нуклеотидные последовательности, полученные ранее и новые (их число указано в скобках): для D. longispina s.str. – 105 (42) последовательностей фрагмента гена 12S (572-573 п.н.) и 52 (16) последовательности фрагмента гена ND2 (871 пн); для D. dentifera – 48 (13) последовательностей фрагмента гена 12S (572-578 пн) и 14 (10) последовательностей фрагмента гена ND2 (932 пн). В качестве внешней группы в анализах использовали следующие последовательности из базы данных GenBank (NCBI): D. cristata (KX027444, KX027455), D. umbra (JN903690, JQ861660, JQ861591, OL333524) и D. cf. longispina (JN903688, JN903689, KP253116, KP253117). Дополнительно для оценки положения некоторых вновь полученных образцов D. longispina s.str. была реконструирована филогения на основе фрагмента гена 12S мтДНК, где в качестве внешней группы использовали последовательности JX069356 и JX069357 (Petrusek et al., 2012).
Филогенетические деревья строили отдельно по последовательностям фрагментов генов 12S и ND2 и по объединенному фрагменту 12S + ND2 мтДНК. Выбор моделей нуклеотидных замен, наилучшим образом описывающих эволюцию фрагментов генов 12S и ND2 мтДНК, выполняли в программе jModelTest v. 2.1.7 на основе меры правдоподобия для 88 моделей по информационным критериям Акайке (AIC) и Байеса (BIC) (Guindon, Gascuel, 2003; Darriba et al., 2012). Согласно проведенному анализу, для фрагмента гена 12S рРНК лучшей моделью по обоим критериям признали модель Тамуры-Нея с гамма-распределением (TN93 + G, параметр α = 0.34) (Nei, Kumar, 2000), которую использовали для реконструкции филогении с помощью метода максимального правдоподобия (ML) в программе MEGA v. 7.0 (Kumar et al., 2016). Достоверность филогенетической реконструкции оценивали с помощью бутстрэп теста при числе репликаций 1000 (Saitou, Nei, 1987). Дополнительно реализовали Байесовский анализ в программе MrBayes v. 3.2 (Ronquist, Huelsenbecke, 2003). Две синхронных серии (каждая с четырьмя Марковскими цепями) запускали для 1 × 106 поколений при частоте записи параметров, равной 500. Стационарность серии подтверждали с помощью мер апостериорной вероятности и логарифмического правдоподобия. Оценку параметров эффективного размера выборки (ESS > 200) для проверки конвергенции Марковских цепей и трассировочных графиков MCMC выполняли в программе Tracer v. 1.6 (Rambaut et al., 2018).
Лучшую эволюционную модель для объединенного фрагмента генов 12S и ND2 мтДНК определяли с помощью алгоритма IQ-TREE v. 1.6.9 (Nguyen et al., 2015), используя интернет-приложение W-IQ-TREE (Trifinopoulos et al., 2016).2 Выбрана следующая лучшая схема для анализа: для 12S rDNA, для первой и второй позиций кодона ND2 (TN + F + G4); для третьей позиции кодона ND2 (K2P + G4). Поддержку ветвей оценивали с помощью 1000 ультрабыстрых бутстрэп репликаций (Minh et al., 2013). Визуализацию ML-филогении для объединенного фрагмента генов 12S и ND2 мтДНК проводили с помощью программы FigTree v. 1.4.4.3
Эволюционную дивергенцию между популяциями D. longispina s.str. и D. dentifera оценивали на основе оригинальных последовательностей фрагментов генов 12S и ND2 мтДНК, используя нескорректированные p-дистанции в программе MEGA v. 7.0. Для оценки генетической дифференциации популяций высчитывали парные значения индекса фиксации FST по нуклеотидным последовательностям 12S и ND2 мтДНК в программе Arlequin v. 3.5.2.2 (Excoffier, Lischer, 2010); статистическую значимость индекса оценивали на основе 10 000 репликаций. Результаты сравнения парных значений FST представляли графически.
Полиморфизм фрагментов генов 12S и ND2 мтДНК в популяциях и совокупных выборках видов D. longispina s.str. и D. dentifera оценивали по следующим параметрам: число полиморфных (сегрегирующих) сайтов (S), число гаплотипов (h), гаплотипическое (Hd) и нуклеотидное (π) разнообразие, число нуклеотидных различий (k). Для совокупных выборок исследуемых видов по фрагменту белок кодирующего гена ND2 мтДНК дополнительно вычисляли среднее число синонимичных замен на синонимичный сайт (Ks) и среднее число несинонимичных замен на несинонимичный сайт (Ka). Все расчеты проводили в программе DnaSP v. 5.10 (Librado, Rozas, 2009). Для оценки эволюционной истории на уровне видов и популяций использовали соотношение показателей генетического полиморфизма (Grant, Bowen, 1998; Avise, 2000). С этой же целью в программе Arlequin v. 3.5.2.2 рассчитывали тесты на нейтральность эволюции Фу (FS, Fu, 1997) и Таджимы (D, Tajima, 1989).
Дополнительно для оценки демографических процессов в сибирских популяциях D. longispina s.str. и D. dentifera применяли анализ распределения частот гаплотипов (MMD) на основе нуклеотидных последовательностей фрагментов генов 12S и ND2 мтДНК в программе Arlequin v. 3.5.2.2. Сравнение наблюдаемого (SSDobs) и симулированного (SSDsim) распределения частот гаплотипов использовали для достоверной оценки его соответствия демографической или пространственной модели экспансии, применяя бутстрэп тест на основе 1000 репликаций. Индекс шероховатости Харпендинга (r) использовали в качестве критерия отклонения распределения частот гаплотипов от унимодальной кривой (Harpending, 1994). Статистическую значимость параметров проверяли по соответствующим p-значениям; бутстрэп тест (1000 репликаций) применяли при расчете 95%-ного доверительного интервала для показателей τ, M и Theta. Для оценки времени с момента экспансии использовали средние значения скорости нуклеотидных замен для рода Daphnia в 2.14 и 5.30% за млн лет (MYR) для генов 12S и ND2 мтДНК соответственно (Cornetti et al., 2019) и из расчета трех генераций в год для альпийских популяций Daphnia (Ventura et al., 2014). Оценку временнóго периода с момента экспансии проводили согласно предложенному алгоритму (Schenekar, Weiss, 2011).
При построении сетей 12S и ND2 гаплотипов для D. longispina и D. dentifera использовали метод медианного связывания (median-joining алгоритм, MJ), реализованный в программе PopART v. 1.7 (Bandelt et al., 1999; Leigh, Bryant, 2015). С помощью этой же программы проводили визуализацию распространения митохондриальных гаплотипов викариантных видов дафний на территории северо-восточной части Евразии.
Дополнительные материалы доступны на Open Science Framework.4
РЕЗУЛЬТАТЫ ИССЛЕДОВАНИЯ
Митохондриальная филогения. Реконструкция филогенетических отношений для викарирующих видов группы D. longispina s.lat. ‒ D. longispina s.str. и D. dentifera ‒ на основе фрагментов оригинальных 12S и ND2 нуклеотидных последовательностей мтДНК подтверждает их видовую самостоятельность (рис. 1; Доп. мат. рис. S1 и рис. S2). Все последовательности D. longispina s.str. группируются в две крупные клады – “сибирскую” и “европейскую” (“A” и “Б”, соответственно) по обоим фрагментам генов (Доп. мат. рис. S1 и рис. S2). Отдельные образцы D. longispina s.str. из озер Байкал (BMM4) и Телецкое (TlL14) занимают неустойчивое положение в филогенетических схемах. Уникальная последовательность фрагмента гена 12S из Якутии (DK4) на ML-дереве группируется с образцами JX069356 и JX069357 из бассейна р. Печоры (Доп. мат. рис. S1); и с образцами D. cf. longispina и D. cristata на BI-дереве (Доп. мат. рис. S3). В пределах каждого видового кластера, как и в пределах двух клад D. longispina s.str., обнаруживаются многочисленные, глубоко дивергентные митохондриальные субклады с высокой поддержкой ветвей. Особенно четко это проявилось для вновь полученных нуклеотидных последовательностей из водоемов Республики Саха (Якутия) и центральных районов Красноярского края. В пределах кластера D. dentifera обособленные субклады формируют гаплотипы из района с. Оймякон в Якутии, озер Камчатки и Монголии. При реконструкции филогении на ML-дереве для объединенного фрагмента 12S + ND2 два образца D. longispina s.str. сформировали специфическую третью кладу “C” (рис. 1). В отличие от предыдущих реконструкций, как в случае ND2 филогении, так и на основе объединенного 12S + ND2 фрагмента, образцы “европейской” клады “Б” (D. longispina s.str.) оказались сгруппированными с образцами D. dentifera со значимой поддержкой ветвей в узле ветвления (рис. 1; Доп. мат. рис. S2).
Рис. 1. ML-филогенетическое дерево для D. longispina s.str. и D. dentifera на основе объединенных фрагментов генов 12S и ND2 митохондриальной ДНК. Показаны бутстрэп значения поддержки ветвей выше 70%. Звездочкой отмечены вновь полученные нуклеотидные последовательности; заливка цветом – новая линия D. longispina s.str. Масштаб – число ожидаемых замен на сайт. YAK – Якутия; BAI – бассейн оз. Байкал; Y_KR – Красноярский край; TOD – Тоджинская котловина; DOD – оз. Додот; AR – Республика Алтай; ART – Телецкое озеро; OB – Алтайский край; ZDV – с. Здвинск (Новосибирская область); BRB – г. Барабинск (Новосибирская обл.).
Полиморфизм мтДНК и тесты на нейтральность эволюции. Генетический полиморфизм мтДНК заметно различается как на уровне видов D. longispina s.str. и D. dentifera, так и по фрагментам генов 12S и ND2 (табл. 1). Для обоих видов число гаплотипов (n) выше по фрагменту гена 12S; число сегрегирующих (полиморфных) сайтов (S) несколько выше для D. longispina s.str. по белок кодирующему фрагменту гена ND2. Наиболее заметные различия (в несколько раз) между видами D. longispina s.str. и D. dentifera получены при анализе уровня гаплотипического разнообразия (Hd) и нуклеотидных различий (k). Также выявлены весьма существенные различия между видами по соотношению числа несинонимичных замен на несинонимичный сайт (Ka) к среднему числу синонимичных замен на синонимичный сайт (Ks) по белок кодирующему фрагменту гена ND2: для D. longispina s.str. это значение равно 2.3571, для D. dentifera – 0.3134, что свидетельствует о более высоком числе синонимичных замен в данном локусе для второго вида (табл. 1).
Таблица 1. Значения индексов генетического полиморфизма и тестов на нейтральность эволюции для видов D. longispina s.str. и D. dentifera на основе фрагментов генов 12S и ND2 митохондриальной ДНК
n | h | S | Hd ± st.d. | π ± st.d. | k | Ks | Ka | D | FS |
D. longispina s.str. | |||||||||
103 52 | 48 30 | 134 136 | 0.889 ± 0.028 0.959 ± 0.014 | 0.0119 ± 0.0029 0.0172 ± 0.0033 | 6.825 14.974 | 0.0084 | 0.0198 | –2.482** 1.831* | –27.431*** –3.820** |
D. dentifera | |||||||||
54 14 | 18 10 | 25 19 | 0.626 ± 0.077 0.923 ± 0.060 | 0.0029 ± 0.0006 0.0064 ± 0.0006 | 1.683 5.989 | 0.0134 | 0.0042 | –2.289** 0.010 | –19.949*** –1.909 |
Примечание. n – число анализируемых нуклеотидных последовательностей; h – число гаплотипов; S – число полиморфных (сегрегирующих) сайтов; Hd – гаплотипическое разнообразие; π – нуклеотидное разнообразие; k – число нуклеотидных различий; Ks – среднее число синонимичных замен на синонимичный сайт; Ka – среднее число несинонимичных замен на несинонимичный сайт; тесты на нейтральность эволюции – Таджимы D и Фу FS; значения индексов над чертой – по фрагменту 12S мтДНК, под чертой – ND2; st.d. – стандартное отклонение; * – p <0.05, ** – p <0.01, *** – p <0.001.
По фрагменту гена 12S мтДНК виды D. longispina s.str. и D. dentifera характеризуются отрицательными достоверными значениями тестов на нейтральность эволюции Таджимы D и Фу FS (табл. 1). По фрагменту гена ND2 мтДНК оба теста достоверны только для D. longispina s.str., причем показатель D принимает положительное значение. Недостоверные значения тестов на нейтральность эволюции для D. dentifera по фрагменту гена ND2, очевидно, обусловлены малым объемом выборки (табл. 1).
На популяционном уровне общие закономерности соотношения показателей генетического полиморфизма и тестов на нейтральность эволюции соответствуют выявленным ранее (Zuykova et al., 2018a; 2019). Уровень генетического полиморфизма в популяциях D. longispina s.str. в целом несколько выше для фрагмента гена ND2, чем для 12S мтДНК. Наиболее заметные различия выявлены для нуклеотидного разнообразия (π), его значения на несколько порядков превышают таковые по фрагменту гена 12S (Доп. мат. табл. S2). Тем не менее, в популяциях D. longispina s.str. из Якутии и горных озер Республики Алтай более высокие значения показателя π отмечены по фрагменту гена 12S мтДНК. При этом значения гаплотипического разнообразия (Hd) для этих же популяций различаются не столь существенно. Что касается полиморфизма митохондриальных генов в популяциях D. dentifera, то здесь наблюдается обратная картина: значения показателя Hd в два раза выше по фрагменту гена ND2, уровень показателя π различается не столь разительно (Доп. мат. табл. S3). Самое высокое значение Hd зарегистрировано для популяций D. dentifera из водоемов Камчатки. Популяции D. longispina s.str. из Якутии, бассейнов озер Байкал и Чаны характеризуются высоким числом полиморфных сайтов (S) по обоим фрагментам генов мтДНК (Доп. мат. табл. S2). Самое высокое число гаплотипов (h) по локусу 12S для этого вида обнаружено в центральных районах Красноярского края (9) и в бассейне оз. Байкал (7), при этом в популяциях первого из вышеуказанных регионов значение S не столь высоко. Число гаплотипов 12S в популяциях из Якутии и бассейна оз. Чаны несколько ниже (4–5), почти столько же гаплотипов ND2 отмечено в Красноярском крае и в бассейне оз. Чаны (5–6). Меньше всего гаплотипов D. longispina s.str. зарегистрировано в оз. Додот – один. В популяциях D. dentifera из водоемов Якутии и Камчатки обнаружено самое большое число гаплотипов и полиморфных сайтов по локусам 12S и ND2 (Доп. мат. табл. S3).
Большинство популяций D. longispina s.str. (9 из 16) характеризуется отрицательными значениями теста Таджимы D и положительными – Фу FS, полученными на основе анализа обоих фрагментов генов мтДНК (Доп. мат. табл. S2). Для популяций из Якутии, Тоджинской котловины и горных озер Республики Алтай значения теста Таджимы D на основе фрагмента гена 12S являются статистически значимыми; значения теста Фу FS на основе этого же фрагмента мтДНК принимают значимое отрицательное значение только для популяции из Красноярского края. Для D. dentifera значимые отрицательные значения теста D на основе анализа фрагмента гена 12S зарегистрированы для популяций из Якутии (исключая популяцию из окрестностей с. Оймякон) (Доп. мат. табл. S3). Для остальных популяций D. dentifera значения тестов на нейтральность эволюции принимают положительные, но недостоверные, значения (кроме популяций Камчатки) по обоим фрагментам мтДНК.
Эволюционная дивергенция и дифференциация популяций. Значения нескорректированных p-дистанций (эволюционная дивергенция) в разных популяциях D. longispina s.str. варьируют от 0 до 3.5 и от 0 до 6.7% по фрагментам генов 12S и ND2, соответственно (табл. 2). Наиболее низкие значения p-дистанций по фрагменту гена 12S отмечены в популяциях из водоемов Тоджинской котловины, оз. Додот и высокогорных озер Республики Алтай, наиболее высокие – для популяции из Республики Саха (Якутия). По фрагменту гена ND2 высокой внутрипопуляционной дивергенцией характеризуется популяция D. longispina s.str. из бассейна оз. Байкал. Высокие значения эволюционной дивергенции по фрагменту гена 12S (до 3.2%) наблюдаются между популяциями из Якутии, Тюменской обл. и Урала и всеми остальными (табл. 2). Между популяциями, составляющими основу “сибирской” клады “A” D. longispina s.str., эти значения не превышают 1.0%. Следует отметить, что эволюционная дивергенция между популяциями D. longispina s.str. на основе фрагмента гена ND2 несколько выше, чем по фрагменту гена 12S (табл. 2). Особенно высокие значения получены при сравнении популяций из бассейна оз. Байкал и всеми остальными – до 6.6%. Высокая внутренняя дивергенция по обоим фрагментам генов мтДНК отмечена в популяциях D. dentifera из водоемов Камчатки и Якутии – 0.6 и 0.4–0.5% (табл. 3). Дивергенция между популяциями этого вида из водоемов Камчатки, Якутии (включая Оймякон) и Монголии была довольно высокой – до 0.8% по обоим фрагментам генов мтДНК.
Таблица 2. Эволюционная дивергенция (нескорректированные p-дистанции, %) между парами нуклеотидных последовательностей в пределах и между популяциями D. longispina s.str. на основе 12S (под диагональю) и ND2 (над диагональю) фрагментов генов мтДНК. Анализ включал 105 и 52 нуклеотидных последовательности соответственно
№ | В пределах популяции | 1 | 2 | 3 | 4 | 5 | 6 | 7 | 8 | 9 | 10 | 11 | 12 | 13 | 14 | 15 | 16 | 17 | |
12S | ND2 | ||||||||||||||||||
1 2 3 4 5 6 7 8 9 10 11 12 13 14 15 16 17 18 | 3.5 ± 0.3 0.3 ± 0.2 1.1 ± 0.3 0.4 ± 0.1 n/c n/c 0.8 ± 0.2 0 0.7 ± 0.3 0.4 ± 0.1 0.1 ± 0.1 0.1 ± 0.1 0.3 ± 0.1 1.1 ± 0.3 1.4 ± 0.3 0.1 ± 0.1 0.1 ± 0.1 0.6 ± 0.2 | 1.8 ± 0.4 ‒ 6.7 ± 0.8 0.5 ± 0.1 0 0 ‒ 0.3 ± 0.1 0.3 ± 0.1 n/c 0 0.3 ± 0.5 2.5 ± 0.4 ‒ 1.0 ± 0.2 ‒ ‒ ‒ | – 1.9 2.3 2.0 2.1 1.8 2.1 1.9 2.1 2.0 2.0 1.8 1.9 2.7 2.6 1.8 3.1 3.2 | ‒ – 0.8 0.4 0.5 0.2 0.6 0.3 0.5 0.4 0.4 0.2 0.3 1.4 1.2 0.2 2.0 2.0 | 4.3 ‒ – 0.9 1.0 0.7 0.9 0.9 1.0 0.9 0.9 0.7 0.8 1.4 1.3 0.7 1.7 1.8 | 1.1 ‒ 3.7 – 0.5 0.2 0.7 0.4 0.6 0.5 0.5 0.3 0.4 1.5 1.4 0.3 2.1 2.2 | 1.1 ‒ 3.8 0.4 – 0.3 0.8 0.5 0.7 0.6 0.6 0.4 0.5 1.7 1.5 0.4 2.2 2.3 | 1.1 ‒ 3.8 0.4 0 – 0.4 0.2 0.3 0.2 0.2 0 0.1 1.3 1.1 0 1.8 1.9 | ‒ ‒ ‒ ‒ ‒ ‒ – 0.6 0.8 0.6 0.6 0.5 0.5 1.3 1.2 0.4 1.6 1.7 | 1.0 ‒ 3.6 0.4 0.4 0.4 ‒ – 0.5 0.4 0.4 0.2 0.3 1.5 1.3 0.2 2.0 2.1 | 1.3 ‒ 3.9 0.6 0.2 0.2 ‒ 0.6 – 0.6 0.6 0.4 0.5 1.7 1.5 0.4 2.2 2.3 | 1.0 ‒ 3.6 0.4 0.5 0.5 ‒ 0.2 0.6 – 0.4 0.3 0.4 1.5 1.3 0.3 2.0 2.1 | 1.0 ‒ 3.7 0.5 0.6 0.6 ‒ 0.4 0.8 0.3 – 0.2 0.3 1.5 1.3 0.3 2.0 2.1 | 3.3 ‒ 5.9 3.0 2.7 2.7 ‒ 3.0 2.9 3.0 3.1 – 0.2 1.3 1.1 0.1 1.8 2.0 | 2.2 ‒ 4.7 1.8 1.7 1.7 ‒ 1.6 1.6 1.6 1.7 2.9 – 1.4 1.2 0.2 1.9 2.0 | ‒ ‒ ‒ ‒ ‒ ‒ ‒ ‒ ‒ ‒ ‒ ‒ ‒ – 1.3 1.3 1.0 1.2 | 4.0 ‒ 6.6 3.9 3.7 3.7 ‒ 3.9 3.9 3.9 4.0 2.4 3.3 ‒ – 1.1 1.3 1.4 | ‒ ‒ ‒ ‒ ‒ ‒ ‒ ‒ ‒ ‒ ‒ ‒ ‒ ‒ ‒ – 1.8 1.9 | ‒ ‒ ‒ ‒ ‒ ‒ ‒ ‒ ‒ ‒ ‒ ‒ ‒ ‒ ‒ ‒ – 0.9 |
Примечание. 1 – Якутия; 2 – Монголия; 3 – бассейн оз. Байкал; 4 – Красноярский край; 5 – Хакасия; 6 – Эвенкия; 7 – Тоджинская котловина; 8 – оз. Додот; 9 – Республика Тува; 10 – Республика Алтай; 11 – Телецкое озеро; 12 – Алтайский край; 13 – оз. Чаны; 14 – с. Здвинск (Новосибирская обл.); 15 – г. Барабинск (Новосибирская обл.); 16 – Ямало-Ненецкий автономный округ; 17 – Тюменская обл.; 18 – Урал. n/c – оценка эволюционных дистанций невозможна; “‒” ‒ данные отсутствуют.
Таблица 3. Эволюционная дивергенция (нескорректированные p-дистанции, %) между парами нуклеотидных последовательностей в пределах и между популяциями D. dentifera на основе 12S (под диагональю) и ND2 (над диагональю) фрагментов генов мтДНК*
№ | В пределах популяции | 1 | 2 | 3 | 4 | 5 | |
12S | ND2 | ||||||
1 2 3 4 5 6 | 0.6 ± 0.2 0.2 ± 0.1 0.6 ± 0.2 0 0 0.2 ± 0.2 | ‒ 0.5 ± 0.1 0.4 ± 0.2 0 ‒ ‒ | – 0.4 0.8 0.3 0.3 0.8 | ‒ – 0.6 0.1 0.1 0.5 | ‒ 0.8 – 0.5 0.5 0.8 | ‒ 0.8 0.6 – 0 0.4 | ‒ ‒ ‒ ‒ – 0.4 |
Примечание. 1 – Камчатка; 2 – Якутия; 3 – Якутия-Оймякон; 4 – оз. Среднее Кедровое (бассейн оз. Байкал); 5 – оз. Саган-Морян (бассейн оз. Байкал); 6 – Монголия; “‒” – данные отсутствуют. *Анализ включал 54 и 14 нуклеотидных последовательностей соответственно.
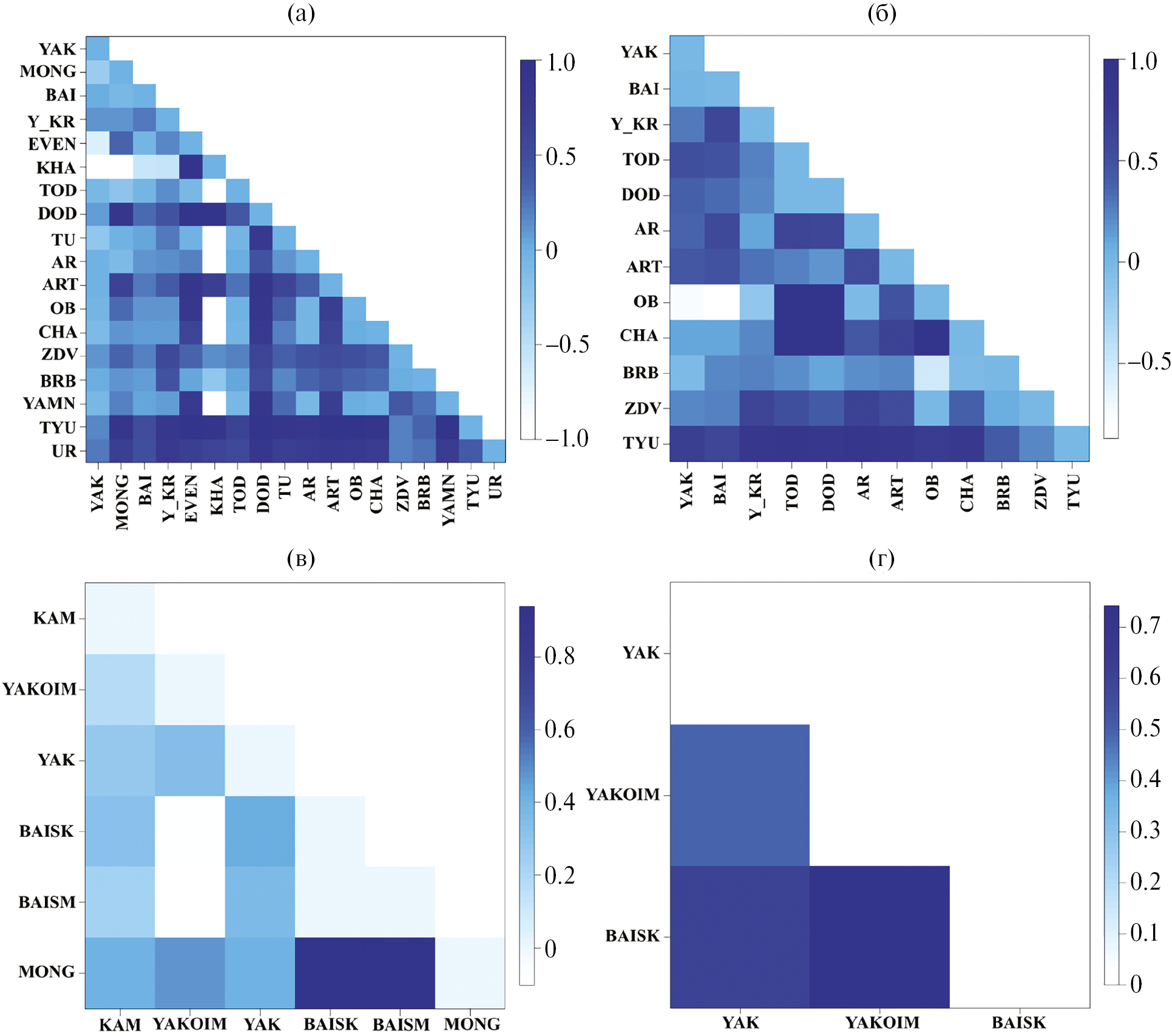
Парные значения индекса фиксации FST указывают на высокую степень генетической дифференциации некоторых популяций D. longispina s.str. и D. dentifera. Как и предполагалось, высокие значения индекса (до 1.0), указывающие на почти полное отсутствие потока генов, как правило, выявляются между географически удаленными популяциями (рис. 2). Наиболее ярко выражена дифференциация популяций D. longispina s.str. из оз. Додот, горных озер Республики Алтай (в том числе Телецкого озера), Эвенкии и Хакасии от популяций из Тюменской обл. и Урала. Уровень генетической дифференциации популяций D. longispina s.str. согласован по обоим фрагментам генов митохондриальной ДНК (рис. 2а, 2б). Что касается D. dentifera, то парные значения FST на основе фрагмента гена 12S мтДНК указывают на ограниченный поток генов между популяциями из бассейна оз. Байкал (озера Среднее Кедровое и Саган-Морян) – и популяциями Камчатки и Якутии (рис. 2в). В то же время, согласно значениям FST по фрагменту гена ND2 мтДНК, высоко дифференцированные популяции D. dentifera зарегистрированы в Якутии, особенно в водоемах вблизи с. Оймякон (рис. 2г).
Рис. 2. Графики матриц парных FST дистанций между популяциями D. longispina s.str. (а – 12S; б – ND2) и D. dentifera (в – 12S; г – ND2). Сокращения, как на рис. 1. Дополнительно для D. longispina s.str.: EVEN – Эвенкия; KHA – Хакасия; Республика Тува (центральная часть); MONG – Монголия; YAMN – Ямало-Ненецкий автономный округ; TYU – Тюменская обл.; UR – Урал; для D. dentifera: KAM – Камчатка; YAK – Якутия, Чурапчинский улус; YAKOIM – Якутия, Оймяконский улус; BAISK – оз. Среднее Кедровое (бассейн оз. Байкал); BAISM – оз. Саган Морян (бассейн оз. Байкал).
Распределение частот гаплотипов (MMD) характеризуется унимодальной формой кривой для всех сибирских популяций D. longispina s.str. и объединенной выборки D. dentifera по обоим митохондриальным маркерам, с более выраженным сдвигом вправо для последнего вида по фрагменту гена ND2 (рис. 3). Рассчитанные параметры моделей демографической и пространственной экспансии для этих выборок почти идентичны (табл. 4), что позволяет предположить внезапный рост численности и пространственную экспансию для них как равновероятные события. Однако достоверные значения наблюдаемого распределения частот гаплотипов (SSDobs) для объединенной выборки D. dentifera по фрагменту гена ND2 допускают применимость модели демографической экспансии. При оценке распределения частот гаплотипов на популяционном уровне выявлены различия в характере кривой как для разных популяций, так и по разным митохондриальным маркерам. Распределение частот 12S и ND2 гаплотипов (MMD) для большинства популяций D. longispina s.str. и D. dentifera носит мультимодальный характер (Доп. мат. рис. S4, S5). Для некоторых популяций D. longispina s.str. (ART, OB, Y_KR, YAMN, TYU, UR; Доп. мат. рис. S4 E, F, G, K, O) и для D. dentifera из Центральной Якутии (Доп. мат. рис. S5b) зафиксировано унимодальное распределение частот гаплотипов по фрагменту гена 12S мтДНК. Однако для большинства популяций и в целом для объединенных выборок сибирских популяций D. longispina s.str. и D. dentifera значения SSDobs и индекса Харпендинга r недостоверны (Доп. мат. табл. S4, S5). Достоверные значения этих показателей отмечены только для популяций D. longispina s.str. из оз. Телецкое, водоемов среднего течения р. Оби, Тюменской обл. (ART, OB, TYU) по фрагменту гена 12S и из водоемов Новосибирской обл. (BRB, ZDV) по фрагменту гена ND2.
Рис. 3. Графики распределения частот гаплотипов (MMD) для модели пространственной экспансии (spatial distribution) сибирских популяций D. longispina s.str. (а, б) и D. dentifera (в, г) на основе фрагментов генов 12S (а, в) и ND2 (б, г) митохондриальной ДНК. 1 – наблюдаемое распределение; 2 – ожидаемое распределение; 3 – доверительный интервал 95%.
Таблица 4. Параметры моделей демографической и пространственной экспансии для всех сибирских популяций D. longispina s.str. и объединенной выборки Daphnia dentifera по фрагментам генов 12S и ND2 мтДНК
Параметр | D. longispina s.str. | D. dentifera | ||
12S | ND2 | 12S | ND2 | |
Модель демографической экспансии | ||||
SSDobs (p) | 0.0004 (0.754) | 0.0014 (0.910) | 0.0746 (0.846) | 0.0412* (0.006) |
r (p) | 0.0350 (0.333) | 0.0054 (0.988) | 0.0541 (0.624) | 0.0412 (0.361) |
τ (95% CI) | 1.8 (0.703–2.789) | 2.8 (1.623–13.383) | 0 (0–5.617) | 4.0 (2.511–13.238) |
Theta 0 | 0 | 3.027 | 1.802 | 5.499 |
Theta 1 D, Myr (CI) | 24.439 0.147 (0.057–0.227) | 20.235 0.607 (0.035–0.290) | 5.407 0 (0–0.454) | 3414.978 0.081 (0.051–0.268) |
Модель пространственной экспансии | ||||
SSDobs (p) | 0.0003 (0.778) | 0.0016 (0.944) | 0.0029 (0.893) | 0.0169 (0.585) |
r (p) | 0.0350 (0.338) | 0.0054 (0.994) | 0.0571 (0.846) | 0.0412 (0.696) |
τ (95% CI) | 1.7 (0.742–2.430) | 2.3 (1.233–15.720) | 2.1 (0.295–5.249) | 6.7 (3.014–8.985) |
Theta | 0.012 | 3.309 | 0.5221 | 0.029 |
M D, Myr (CI) | 46.747 0.139 (0.061–0.198) | 23.115 0.050 (0.027–0.341) | 1.521 0.170 (0.024–0.424) | 13.769 0.136 (0.061–0.182) |
Примечание. SSDobs – сумма квадрата отклонений; r – индекс шероховатости Харпендинга; τ – время экспансии; Theta – параметр мутаций; M – число мигрантов; p – уровень статистической значимости 95%; CI – 95%-ный доверительный интервал; D – divergence, Myr – среднее время экспансии, год; * – p <0.01.
Географическое распределение и сети гаплотипов D. longispina s.str. Все гаплотипы по локусу 12S для D. longispina s.str. группируются в две крупные митохондриальные клады: “сибирскую” “А” и “европейскую” “Б”. Клады связаны через семь мутаций и два гипотетических гаплотипа (рис. 4а). К последним наиболее близки гаплотипы H_7 (горные озера Республики Алтай), H_42 (Ямало-Ненецкий автономный округ) клады “A” и H_38 (бассейн оз. Чаны) клады “Б”. Между кладами расположены гаплотипы из оз. Око Земли (бассейн оз. Байкал), формирующие специфическую митохондриальную группу гаплотипов. Отметим, что 12S гаплотипы “сибирской” клады D. longispina s.str. преимущественно встречаются в водоемах, расположенных восточнее оз. Чаны (бассейн р. Оби) и формируют звездообразную структуру с центральным гаплотипом H_1 (рис. 4a). Этот гаплотип встречается в большинстве популяций, обитающих на территории Северной Евразии – от Ямало-Ненецкого автономного округа до Якутии, однако не зарегистрирован в популяциях из Монголии, Тувы, озер Телецкоe и Додот (рис. 4б). Высокое число уникальных 12S гаплотипов D. longispina s.str. выявлено в бессточных водоемах центральной части Красноярского края (рис. 4б, H_14-H_21). Уникальные гаплотипы обнаружены почти во всех популяциях и связаны с центральным гаплотипом через одну–две, или через три–четыре мутации.
Рис. 4. Медианная сеть (MJ) 12S гаплотипов D. longispina s.str. (a) и их географическое распространение: б – “сибирская” клада, в – “европейская” клада. Сокращения, как на рис. 1 и 2; YAK1 – Якутия, Чурапчинский улус, YAK2 – Якутия, Нюрбинский улус. Размер кружков соответствует относительной частоте гаплотипов; черные маленькие кружки – медианные векторы; число мутаций указано для каждой ветви, если оно ≠1.
В отличие от гаплотипов “сибирской” клады, 12S гаплотипы “европейской” клады “Б” D. longispina s.str. не формируют четкой структуры и распространены, главным образом, в западном направлении от оз. Чаны, где зарегистрированы гаплотипы обеих клад (рис. 4a, 4в). Однако выявлено несколько исключений, в частности, гаплотипы “европейской” клады зарегистрированы в одном водоеме Тоджинской котловины (H_24, Республика Тува, бассейн р. Большой Енисей) и в оз. Око Земли (H_9-H_11, бассейн оз. Байкал) (рис. 4а, 4в). Еще два 12S гаплотипа “европейской” клады D. longispina s.str. обнаружены и в водоемах Якутии (Чурапчинский улус), впрочем, один из них (H_3), предположительно относится к совершенно другому (возможно, криптическому) виду, группирующемуся с гаплотипами D. longispina s.str. из бассейна р. Печоры (Доп. мат. рис. S1).
В отличие от медианной сети 12S гаплотипов, сеть ND2 гаплотипов для D. longispina s.str. характеризуется совершенно иным типом связей (рис. 5). Наиболее заметная отличительная особенность этой сети – слабо выраженная звездообразная структура и, как следствие, отсутствие массового центрального гаплотипа (рис. 5б). В генеалогической схеме ND2 гаплотипов D. longispina s.str. относительно четко сформированы всего два структурных элемента. Первый из них (с центральным гаплотипом H_11) объединяет гаплотипы из водоемов Якутии, Тувы, Горного Алтая, Красноярского края, бассейнов озер Чаны, Байкал и р. Обь; второй (с центральным гаплотипом H_10) – из водоемов Тувы, Красноярского края и оз. Телецкое (рис. 5а). Эти структурные элементы в основном формируют “сибирскую” митохондриальную кладу и связаны между собой одним гипотетическим гаплотипом и гаплотипом H_9 из временного водоема Красноярского края. С ними же связаны удаленные гаплотипы (H_1, H_2, H_4, H_6, H_12, H_18) из разных регионов Сибири, не формирующие четких структур. ND2 гаплотипы “европейской” клады D. longispina s.str. также слабо связаны друг с другом и удалены от гаплотипов “сибирской” клады на 26 мутационных шагов (рис. 5a). Наибольшее число уникальных ND2 гаплотипов выявлено в популяциях D. longispina s.str. из водоемов Красноярского края, бассейна оз. Чаны и Горного Алтая (рис. 5б).
Рис. 5. Медианная сеть (MJ) ND2 гаплотипов D. longispina s.str. (a) и их географическое распространение (б). Сокращения, как на рис. 2 и рис. 4.
Географическое распределение и сети гаплотипов D. dentifera. Медианная сеть 12S гаплотипов D. dentifera имеет четкую звездообразную структуру с центральным гаплотипом H_2, который зарегистрирован в популяциях из водоемов Байкальского региона и Якутии (рис. 6а, 6б). Восточнее р. Лены, где были отмечены только уникальные гаплотипы D. dentifera, этот гаплотип не встречается (рис. 6б). В Монголии также не выявлено общих 12S гаплотипов с популяциями из других регионов. Самым высоким числом 12S гаплотипов характеризуются популяции D. dentifera из водоемов Якутии и Камчатки; в водоемах бассейна оз. Байкал, напротив, отмечен только один гаплотип (рис. 6б). Структура медианной сети ND2 гаплотипов D. dentifera, как и для D. longispina s.str., оказалась иной, и все популяции характеризуются уникальным набором гаплотипов (рис. 7а, 7б). Однако, как и в случае сети 12S гаплотипов, наиболее высокое число ND2 гаплотипов (5) D. dentifera обнаружено в Якутии в водоемах вблизи с. Оймякон (рис. 7б).
Рис. 6. Медианная сеть (MJ, а) 12S гаплотипов D. dentifera (а) и их географическое распространение (б). Сокращения, как на рис. 2 и рис. 4; KUZ – оз. Кузнечиха (бассейн оз. Байкал).
Рис. 7. Медианная сеть (MJ) ND2 гаплотипов D. dentifera (а) и их географическое распространение (б). Сокращения, как на рис. 2 и рис. 6.
ОБСУЖДЕНИЕ РЕЗУЛЬТАТОВ
Филогения и филогеография. В пределах D. longispina s.str. достоверно выделяются глубокие дивергентные линии с высокой бутстрэп поддержкой, что связано с явно выраженной пространственной структурированностью популяций. Очевидно, такая структурированность сильно влияет на уровень полиморфизма в пределах вида (показатели Hd, k, Ka/Ks). Помимо гаплотипов, формирующих “сибирскую” и “европейскую” (“A” и “Б”) группы, в Якутии и в оз. Байкал обнаружены дистантные гаплотипы, образующие еще одну особую линию, которую ранее не отмечали в Сибири. Одна часть этих гаплотипов тесно связана с гаплотипами из бассейна р. Печоры (Petrusek et al., 2012), другая часть формирует отдельную ветвь на дереве, маркируемой нуклеотидными заменами по фрагменту гена 12S. Добавление в анализ новых образцов D. longispina s.str. привело к выявлению дивергентных митохондриальных субклад в пределах “сибирской” клады, которая ранее представлялась однородной (Zuykova et al., 2018b; 2019; 2021). Гаплотипы, формирующие дивергентные субклады, обнаружены преимущественно в популяциях, населяющих либо бессточные временные водоемы (Красноярский край, Новосибирская обл.), либо горные озера (Горный Алтай).
Аналогичная ситуация наблюдается и для D. dentifera. Вероятно, в географически удаленных популяциях этого вида сформировался специфический набор гаплотипов из-за их определенной изолированности от общего генетического пула. В пределах кластера D. dentifera наблюдается четкое разделение гаплотипов на две группы – “байкальскую” и “якутскую”. Дистантную субкладу с поддержкой до 100% образуют гаплотипы D. dentifera из популяций, обитающих в водоемах вблизи с. Оймякон. Также ранее была показана обособленность гаплотипов D. dentifera из водоемов Северной Евразии и Монголии от североамериканских и японских гаплотипов (Zuykova et al., 2022). Как уже неоднократно обсуждалось, причины внутривидовой генетической дивергенции объясняются вторичным контактом гетерогенных популяций и дистантных линий, гибридным происхождением и непрерывным видообразованием (De Gelas, De Meester, 2005; Thielsch et al., 2009; Hamrová et al., 2011).
Несогласованность между митохондриальными филогениями находит отражение и в особенностях генеалогических связей между гаплотипами и их географическим распространением. Медианные сети D. longispina s.str. и D. dentifera на основе фрагмента 12S гена мтДНК характеризуются наличием звездообразных структур, центральный гаплотип которых встречается в большинстве популяций, населяющих водоемы Северной Евразии. Напротив, сети ND2 гаплотипов обоих видов дафний не имеют четкой структуры, большинство связей между гаплотипами слабые, отмечены глубоко дивергентные линии, филогруппы и даже отдельные удаленные образцы. Почти в каждой популяции как D. longispina s.str. так и D. dentifera зарегистрированы уникальные ND2 гаплотипы. Наибольшее гаплотипическое разнообразие 12S и ND2 гаплотипов D. longispina s.str. наблюдается в бессточных водоемах центральной части Красноярского края, а D. dentifera – в водоемах центральной Якутии и Камчатки.
Кроме того, нами выявлена новая группа гаплотипов “европейской” клады D. longispina s.str. в бассейне оз. Байкал – в оз. Око Земли и в центральной Якутии, помимо группы, обнаруженной в водоемах Тоджинской котловины (Zuykova et al., 2018b; 2019). По-видимому, наличие здесь гаплотипов “европейской” клады D. longispina s.str. объясняется относительно недавним заносом, учитывая способность покоящихся стадий дафний к пассивному распространению (Figuerola, Green, 2002; Havel, Shurin, 2004; Figuerola et al., 2005; Louette, De Meester, 2005; Van de Meutter, De Meester, 2008). Напротив, гаплотипы “сибирской” клады D. longispina s.str. не обнаружены в популяциях, распространенных западнее бассейна р. Оби, в частности – бассейна оз. Чаны. Этот факт позволяет предположить более высокую степень “агрессивности распространения” и высокий адаптивный потенциал особей, формирующих “европейскую” кладу.
Тем не менее, в соответствии с “гипотезой монополизации” (De Meester et al., 2002), широкому распространению гаплотипов “европейской” клады восточнее бассейна р. Лена препятствует “эффект основателя”, проявляющийся в существовании в этой зоне популяций “сибирской” клады D. longispina s.str., и, очевидно, явное преобладание здесь D. dentifera (Zuykova et al., 2019; 2022). Ареал D. dentifera в Северной Евразии распространяется от Монголии до Камчатки, с максимальным числом гаплотипов в популяциях Якутии и однородным гаплотипическим разнообразием в бассейне оз. Байкал. Хотя ареалы D. dentifera и D. longispina s.str. (гаплотипы “сибирской” клады) перекрываются, совместное обитание этих викариантных видов обнаружено только в некоторых водоемах бассейнов р. Лена и оз. Байкал. На основании этого данный регион следует считать зоной их контакта. До настоящего времени не выявлено водоемов, где совместно обитают D. longispina s.str., D. dentifera и D. galeata, хотя ранее высказывалось предположение об их возможном сосуществовании в водоемах Байкальского региона (Zuykova et al., 2021).
Анализ топологии филогенетических деревьев, реконструированных по фрагментам разных митохондриальных генов, выявил их некоторую несогласованность, которая может быть обусловлена гибридизацией между таксонами с последующей интрогрессией, разной скоростью эволюции митохондриальных генов и их отдельных участков, а также более сложными механизмами (Гречко, 2013; Картавцев, 2013).
Отметим, что достоверное выявление группировки гаплотипов “европейской” клады D. longispina s.str. и D. dentifera в схемах на основе фрагментов генов ND2 и 12S + ND2 мтДНК может поставить вопрос о целесообразности рассмотрения D. dentifera в качестве отдельного вида, тем более что до настоящего времени между этими таксонами не найдено существенных морфологических различий (Zuykova et al., 2018b). При принятии самостоятельности D. dentifera логично и “сибирскую” кладу, а также выявленную нами кладу “С” рассматривать как отдельные виды, что сомнительно. Для окончательного разрешения подобных проблем должны быть изучены последовательности нескольких ядерных генов. Хотя можно выдвинуть гипотезу, что длительная географическая изоляция между удаленными популяциями D. longispina s.str. и D. dentifera на территории Северной Евразии в периоды плейстоценовых оледенений спровоцировала процессы аллопатрического видообразования, показанные для других видов кладоцер (Taylor et al. 1998; Hebert et al., 2003).
Демографические процессы и эволюционная история. Ранее утверждалось, что сибирские популяции видов D. longispina s.str. и D. dentifera характеризуются сходной демографической историей (Zuykova et al., 2018b; 2019b; 2021). Включение в анализ новых популяций этих викариантных видов из водоемов Северной Евразии привело к выявлению некоторых различий между ними. В первую очередь, о различиях их эволюционной истории в данном регионе свидетельствует соотношение величин показателей генетического полиморфизма ‒ гаплотипического Hd и нуклеотидного разнообразия π, оценка которых проведена на основе фрагментов генов 12S и ND2 мтДНК. Высокие значения Hd и π для сибирских популяций D. longispina s.str. в бóльшей степени указывают на смешанную выборку, состоящую из исторически разделенных линий/популяций, принимая во внимание высокий уровень генетической дивергенции между популяциями D. longispina s.str., установленной по индексам фиксации FST и p-дистанциям (Grant, Bowen, 1998; Avise, 2000).
В то же время, для каждой отдельной популяции D. longispina s.str. показатели генетического полиморфизма предполагают воздействие на них различных эволюционных процессов. Так, в популяциях из оз. Телецкое, из водоемов среднего течения р. Обь и Ямало-Ненецкого автономного округа (ART, OB, YAMN) выявлены низкие значения Hd и π, которые, по-видимому, обусловлены эффектом недавнего “бутылочного горлышка”. Высокие значения Hd и низкие значения π как для совокупной выборки D. dentifera, так и для отдельных популяций вида, характерны для быстрорастущих популяций с низким эффективным размером (Grant, Bowen, 1998; Avise, 2000).
Отрицательные значения тестов на нейтральность эволюции Таджимы D и Фу FS (за исключением значений индекса D на основе фрагмента гена ND2) для видов D. longispina s.str. и D. dentifera и их популяций свидетельствуют о недавней пространственной экспансии (Tajima, 1989; Fu, 1997; Garrigan et al., 2010; Holsinger, 2015). На популяционном уровне достоверные отрицательные значения индекса Фу FS зарегистрированы только для D. longispina s.str. из бессточных водоемов Красноярского края (Y_KR) и для D. dentifera из водоемов Центральной Якутии (YAK). Для остальных популяций зафиксированы положительные, но недостоверные значения FS, ожидаемые для недавнего “бутылочного горлышка”.
Считается, что мультимодальный характер распределения частот гаплотипов (MMD) свидетельствует о демографическом равновесии исследуемых популяций, но также может быть следствием анализа смешанной выборки. Унимодальный характер распределения указывает на недавнюю экспансию (т. е. на расширяющуюся популяцию) с высокой миграционной активностью соседних популяций (Slatkin, Hudson, 1991; Rogers, Harpending, 1992; Schneider, Excoffier, 1999; Ray et al., 2003; Excoffier, 2004). Распределение частот гаплотипов для видов и популяций D. longispina s.str. и D. dentifera в целом не противоречит направленности демографических процессов, выявленных по другим генетическим показателям. Для большинства выборок характер MMD распределения соответствует модели внезапной демографической экспансии или пространственной экспансии с высоким уровнем миграции между соседними популяциями. Следует отметить, что демографическая экспансия, как правило, предшествует пространственной экспансии, и интенсивность последней зависит от числа мигрантов (Schneider, Excoffier, 1999; Ray et al., 2003; Excoffier, 2004). Кроме того, перед резким увеличением может наблюдаться критический спад численности и сокращение генофонда, т. е.наблюдается эффект “бутылочного горлышка”. Учитывая цикличность ледниковых периодов в разные фазы плейстоцена и геологическую историю региона, логично предположить, что многие североазиатские популяции D. longispina s.str. и D. dentifera прошли все эти периоды.
Низкий уровень генетического полиморфизма в некоторых популяциях (например, D. longispina s.str. из оз. Додот и D. dentifera из байкальского региона), очевидно, указывает на относительно недавнее событие, которое способствовало резкому сокращению их численности. В свою очередь географическая изолированность этих популяций привела к сокращению генетического разнообразия. Популяционно-генетическая структура североазиатских популяций D. dentifera позволяет предположить, что они представляют собой остатки некогда обширного ареала, который занимал данный вид. Очевидно, отсутствие общих гаплотипов между североазиатскими популяциями D. dentifera и популяциями из соседних географических регионов (Zuykova et al., 2022) свидетельствует о катастрофических явлениях, которые в какой-то период (или несколько периодов) плейстоцена привели к резкому обеднению генофонда этого вида с последующей продолжительной временнóй изоляцией североазиатских популяций.
Несогласованность между характером MMD распределений по разным генам мтДНК, по-видимому, отражает разные временные периоды в формировании генетической структуры популяций. Сходный результат оценки демографических процессов по разным генам митохондриальной ДНК был получен при изучении сибирских популяций D. galeata (Zuykova et al., 2018b). Очевидно, эти же причины обусловливают подобную несогласованность результатов для викариантных видов D. longispina s.str. и D. dentifera – разный уровень полиморфизма митохондриальных маркеров, разные темпы эволюционирования, мутационные темпы и т.п. (De Salle et al., 1987; Rogers et al., 1996; Schneider, Excoffier, 1999; Rosenberg, Nordborg, 2002; Lynch, 2010; Grant, 2015; Cornetti et al., 2019). Более консервативный митохондриальный маркер 12S рРНК в целом отражает более древние демографические процессы, о чем косвенно свидетельствует приблизительная оценка времени дивергенции.
Следует отметить, что примененные в нашем исследовании скорректированные темпы дивергенции для рода Daphnia (Cornetti et al., 2019), по используемым митохондриальным маркерам (табл. 4, Доп. мат. табл. S3, S4) показали более древнее расхождение групп популяций, чем отмечали ранее для разных видов комплекса D. longispina s.lat. (Zuykova et al., 2018b). Даже принимая во внимание возможные ошибки при оценке расчетного времени дивергенции (Ho et al., 2005), очевидна более ранняя дифференциация популяций D. ongispina s.str. из водоемов Якутии, бассейнов рек Обь и Енисей. По-видимому, раньше всех произошла дифференциация популяций D. longispina s.str. из водоемов Тоджинской котловины, на что указывают структуры сетей гаплотипов, значения тестов D и FS, показателей полиморфизма (в частности, низкий уровень полиморфизма в популяции из оз. Додот), индекса FST и приблизительная оценка времени дивергенции. Эти популяции составляют основу “сибирской” клады и были изолированы в плейстоценовых рефугиумах в течение нескольких ледниковых циклов, что привело к глубокой генетической дифференциации между ними и всеми остальными североазиатскими популяциями вида. Учитывая геологическую историю региона, логично предположить, что все сибирские популяции D. longispina s.str. в разные периоды плейстоцена прошли через “бутылочное горлышко”.
Нами показано, что разные популяции D. longispina s.str. и D. dentifera, иногда даже расположенные в близких друг к другу регионах, часто имеют очень разное время дифференциации. Примечательно, что популяции из водоемов, относящихся к одному речному бассейну, обычно характеризуются примерно одинаковым возрастом. Очевидно, расселение гаплотипов происходило вниз по течению рек, если учитывать, что в периоды холодных фаз плейстоцена крупные озера Тоджинской и Дархатской котловин, а также Телецкое, Чуйское и Уймонское палеоозера служили рефугиумами для пресноводной фауны (Grosswald, Kotlyakov, 1989; Аржанников и др., 2000; Vysotskiy, 2001). Наиболее поздняя дифференциация отмечена для популяций из водоемов центральной части Красноярского края и Урала, очевидно, заселенных уже в пост-плейстоценовое время представителями разных филогенетических линий, причем гаплотипы уральских популяций относятся к “европейской” кладе D. longispina s.str. У D. dentifera наиболее древними оказались популяции из водоемов, расположенных вблизи с. Оймякон в Республике Саха (Якутия). Их ранняя дифференциация также подтверждается популяционно-генетическими показателями и характером распределения частот гаплотипов.
Выявленные в результате исследований новые дивергентные линии подтверждают высказанное ранее утверждение, что на территории северо-восточной части Евразии сформировалась уникальная видовая и гаплотипическая структура группы D. longispina s.lat. вообще и входящих в нее наиболее распространенных видов D. longispina s.str. и D. dentifera в частности.
ЗАКЛЮЧЕНИЕ
Детальное исследование демографических процессов в популяциях викариантных видов D. longispina s.str. и D. dentifera на территории Северной Евразии в целом подтверждает сделанные ранее выводы об общей направленности их эволюционной истории. Очевидно, обладая более низким адаптивным потенциалом, по сравнению, например, с D. galeata (Karabanov et al., 2018), пространственная экспансия этих видов происходила с меньшей интенсивностью. Кроме того, виды D. longispina s.str. и D. dentifera характеризуются сходными требованиями к условиям обитания. Это, несомненно, приводит к конкурентным отношениям, о чем свидетельствует пространственная ограниченность зоны их контакта. Тем не менее, согласно вновь полученным результатам, предложенная ранее гипотеза о разной демографической истории двух клад D. longispina s.str. не получает подтверждения, поскольку нами в настоящее время выявлена глубокая митохондриальная дивергенция между популяциями “сибирской” клады. Наблюдаемые на территории северо-восточной Евразии филогеографические паттерны D. longispina s.str. и D. dentifera подтверждают сделанный ранее вывод о происходивших в разные фазы плейстоцена неоднократных, комбинированных воздействиях на их популяции как дисперсионных, так и викариантных событий.
ДОПОЛНИТЕЛЬНЫе МАТЕРИАЛы
Дополнительный материал (Приложение, табл. S1–S4, рис. S1–S5) публикуется только в электронном формате на сайтах https://link.springer.com и https://www.elibrary.ru Для авторизованных пользователей таблицы доступны по адресу https://doi.org/10.31857/S0320965224050017
Таблица S1. Значения индексов генетического полиморфизма и тестов на нейтральность эволюции для географических популяций D. longispina s.str. на основе фрагментов генов 12S и ND2 митохондриальной ДНК
Таблица S2. Значения индексов генетического полиморфизма и тестов на нейтральность эволюции для географических популяций D. dentifera на основе фрагментов генов 12S и ND2 митохондриальной ДНК
Таблица S3. Параметры модели пространственной экспансии для популяций Daphnia longispina s.str.
Таблица S4. Параметры модели пространственной экспансии для популяций Daphnia dentifera
Рис. S1. Байесовское (BI) филогенетическое дерево для викарирующих видов D. longispina s.str. и D. dentifera на основе гаплотипов фрагмента гена 12S митохондриальной ДНК.
Рис. S2. Байесовское (BI) филогенетическое дерево для викарирующих видов D. longispina s.str. и D. dentifera на основе гаплотипов белок кодирующего фрагмента гена ND2 митохондриальной ДНК.
Рис. S3. ML-филогенетическое дерево для D. longispina s.str. на основе фрагмента гена 12S митохондриальной ДНК с использованием образцов из базы данных GenBank для определения положения образца DK4.
Рис. S4. Графики распределения частот гаплотипов на основе модели пространственной экспансии для популяций D. longispina s.str. на основе фрагментов генов 12S и ND2 мтДНК.
Рис. S5. Графики распределения частот гаплотипов на основе модели пространственной экспансии для популяций D. dentifera на основе фрагментов генов 12S и ND2 мтДНК.
БЛАГОДАРНОСТИ
Авторы выражают благодарность за помощь в сборе проб зоопланктона С.Л. Васильевой, Е.Г. Егоровой, И. Охлопкову из водоемов Республики Саха (Якутия), Н.Г. Шевелевой (Лимнологический институт СО РАН, г. Иркутск) из водоемов бассейна оз. Байкал, А.В. Бородиной и Т.И. Букиной из водоемов Красноярского края.
ФИНАНСИРОВАНИЕ
Исследование выполнено в рамках Программы фундаментальных научных исследований (ФНИ) на 2021-2030 гг. проект № FWGS-2021-0003.
1 https://mafft.cbrc.jp/alignment/server/
2 http://tree.bio.ed.ac.uk
3 http://tree.bio.ed.ac.uk
4 https://osf.io/dn2cp
About the authors
E. I. Zuykova
Institute of Systematics and Ecology of Animals of the Siberian Branch of Russian Academy of Sciences; Saint Petersburg branch of the Federal State Budget Scientific Institution “Russian Federal Research Institute of Fisheries and oceanography”
Author for correspondence.
Email: zuykova1064@yandex.ru
Russian Federation, Novosibirsk; Saint Petersburg
L. P. Sleptzova
Institute of Systematics and Ecology of Animals of the Siberian Branch of Russian Academy of Sciences
Email: zuykova1064@yandex.ru
Russian Federation, Novosibirsk
N. A. Bochkarev
Institute of Systematics and Ecology of Animals of the Siberian Branch of Russian Academy of Sciences; Saint Petersburg branch of the Federal State Budget Scientific Institution “Russian Federal Research Institute of Fisheries and oceanography”
Email: zuykova1064@yandex.ru
Russian Federation, Novosibirsk; Saint Petersburg
E. S. Zakharov
Federal State Autonomus Education Institute of Higher Education "M.K. Ammosov North-Eastern Federal University"
Email: zuykova1064@yandex.ru
Russian Federation, Yakutsk
N. N. Zakharova
Federal State Autonomus Education Institute of Higher Education "M.K. Ammosov North-Eastern Federal University"
Email: zuykova1064@yandex.ru
Russian Federation, Yakutsk
A. A. Kotov
A. N. Severtsov Institute of Ecology and Evolution of Russian Academy of Sciences
Email: zuykova1064@yandex.ru
Russian Federation, Moscow
References
- Аржанников С.Г., Алексеев С.В., Глызин А.В. и др. 2000. Природная обстановка в Голоцене в западной части Тоджинской впадины на примере разреза Мерзлый Яр // Проблемы реконструкции климата и природной среды голоцена и плейстоцена Сибири. Новосибирск: Изд-во Ин-та археологии и этнографии СО РАН. Вып. 2. С. 18.
- Гречко В.В. 2013. Проблемы молекулярной филогенетики на примере отряда чешуйчатых рептилий (отряд Squamata): митохондриальные ДНК-маркеры // Мол. биол. Т. 47(1). С. 61.
- Картавцев Ю.Ф. 2013. Генетическая дивергенция видов и других таксонов. Географическое видообразование и генетическая парадигма неодарвинизма в действии // Успехи соврем. биол. Т. 133(5). С. 419.
- Adamowicz S.J., Petrusek A., Colbourne J.K. et al. 2009. The scale of divergence: a phylogenetic appraisal of intercontinental allopatric speciation in a passively dispersed freshwater zooplankton genus // Mol. Phyl. Evol. V. 50. P. 423.
- Avise J.C. 2000. Phylogeography. The history and formation of species. Cambridge: Harvard Univ. Press.
- Avise J.C., Arnold J., Ball R.M. et al. 1987. Intraspecific phylogeography: the mitochondrial DNA bridge between population genetics and systematics // Annual. Rev. Ecol. Syst. V. 18. P. 489.
- Bandelt H., Forster P., Röhl A. 1999. Median-joining networks for inferring intraspecific phylogenies // Mol. Biol. Evol. V. 16. P. 37.
- Belyaeva M., Taylor D.J. 2009. Cryptic species within the Chydorus sphaericus species complex (Crustacea: Cladocera) revealed by molecular markers and sexual stage morphology // Mol. Phyl. Evol. V. 50. P. 534.
- Benzie J.A.H. 2005. The genus Daphnia (including Daphniopsis) (Anomopoda: Daphniidae). Guides to the identification of the microinvertebrates of the continental waters of the world 21. Leiden: Ghent & Backhuys Publ.
- Crease T.J., Omilian A.R., Costanzo K.S. et al. 2012. Transcontinental phylogeography of the Daphnia pulex species complex // PLoS ONE. V. 7. № e46620. https://doi.org/10.1371/journal.pone.0046620
- Cornetti L., Fields P.D., Van Damme K. et al. 2019. A fossil-calibrated phylogenomic analysis of Daphnia and the Daphniidae // Mol. Phyl. Evol. V. 137. P. 250. https://doi.org/10.1016/j.ympev.2019.05.018
- Darriba D., Taboada G.L., Doallo R. et al. 2012. jModelTest 2: more models, new heuristics and parallel computing // Nature Meth. V. 9. № 772.
- De Gelas K., De Meester L. 2005. Phylogeography of Daphnia magna in Europe // Mol. Ecol. V. 1. P. 753. https://doi.org/10.1111/j.1365-294X.2004.02434.x
- De Meester L., Gómez A., Okamura B. et al. 2002. The Monopolization hypothesis and the dispersal-gene flow paradox in aquatic organisms // Acta Oecol. V. 23. P. 121.
- De Salle R., Freedman T., Prager E.M. et al. 1987. Tempo and mode of sequence evolution in mitochondrial DNA of Hawaiian Drosophila // J. Mol. Evol. V. 26. P. 157.
- Excoffier L. 2004. Patterns of DNA sequence diversity and genetic structure after a range expansion: lessons from the infinite-island model // Mol. Ecol. V. 3. P. 853.
- Excoffier L., Lischer H.E.L. 2010. Arlequin suite ver 3.5: A new series of programs to perform population genetics analyses under Linux and Windows // Mol. Ecol. Res. V. 10. P. 564.
- Figuerola J., Green A.J. 2002. Dispersal of aquatic organisms by water birds: a review of past research and priorities for future studies // Freshwater Biol. V. 47. P. 483. https://doi.org/10.1046/j.1365-2427.2002.00829.x
- Figuerola J., Green A.J., Michot T.C. 2005. Invertebrate eggs can fly: evidence of Waterfowl-mediated gene flow in aquatic invertebrates // Amer. Nat. V. 165. P. 274. https://doi.org/10.1086/427092
- Frey D.G. 1987. The non-cosmopolitanism of chydorid Cladocera: implications for biogeography and evolution // Crustacean Iss. V. 4. P. 237.
- Fu Y.X. 1997. Statistical tests of neutrality of mutations against population growth, hitchhiking and background selection // Genetics. V. 147. P. 915.
- Garrigan D., Lewontin R., Wakeley J. 2010. Measuring the sensitivity of single-locus “neutrality tests” using a direct perturbation approach // Mol. Biol. Evol. V. 27. P. 73. https://doi.org/10.1093/molbev/msp209
- Grant W.A.S., Bowen B.W. 1998. Shallow population histories in deep evolutionary lineages of marine fishes: Insights from sardines and anchovies and lessons for conservation // J. Heredity. V. 89. P. 415. https://doi.org/10.1093/jhered/89.5.415
- Grant W.S. 2015. Problems and cautions with sequence mismatch analysis and Bayesian Skyline Plots to infer historical demography // J. Heredity. V. 106. P. 333.
- Grosswald M.G., Kotlyakov V.M. 1989. Great preglacial drainage system Northern Asia and its importance for interregional correlations // Quaternary period. Paleography and lithology. Kishinev: Shtiinitsa. P. 5.
- Guindon S., Gascuel O. 2003. A simple, fast, and accurate algorithm to estimate large phylogenies by maximum likelihood // System. Biol. V. 52. P. 696.
- Hall T.A. 1999. BioEdit: a user-friendly biological sequence alignment editor and analysis program for Windows 95/98/NT // Nucl. Acids. Symp. Ser. V. 41. P. 95.
- Hamrová, E., Mergeay J., Petrusek A. 2011. Strong differences in the clonal variation of twoDaphnia species from mountain lakes affected by overwintering strategy // BMC Evol. Biol. V. 11. № 231. https://doi.org/10.1186/1471-2148-11-231
- Harpending H. 1994. Signature of ancient population growth in a low resolution mitochondrial DNA mismatch distribution // Hum. Biol. V. 66. P. 591.
- Havel J.E., Shurin J.B. 2004. Mechanisms, effects, and scales of dispersal in freshwater zooplankton // Limnol. Oceanogr. V. 49. P. 1229. https://doi.org/10.4319/lo.2004.49.4_part_2.1229
- Hebert P.D.N., Cywinska A., Ball S.L. et al. 2003. Biological identifications through DNA barcodes // Proc. Roy. Soc. B: Biol. Sci. V. 270. P. 313. https://doi.org/10.1098/rspb.2002.2218
- Hebert P.D.N., Wilson C.C. 1994. Provincialism in plankton: endemism and allopatric speciation in Australian Daphnia // Evolution. V. 48. P. 1333. https://doi.org/10.1111/j.1558-5646.1994.tb05317.x
- Hewitt G.M. 2000. The genetic legacy of the Quaternary ice ages // Nature. V. 405. P. 907.
- Ho S.Y.W., Phillips M.J., Cooper A. et al. 2005. Time dependency of molecular rate estimates and systematic overestimation of recent divergence times // Mol. Biol. Evol. V. 22. P. 1561. https://doi.org/10.1093/molbev/msi145
- Holsinger K.E. 2015. Lecture notes in population genetics. Department of Ecology and Evolutionary Biology. U-3043. University of Connecticut Storrs. https://doi.org/10.6084/M9.FIGSHARE.100687
- Huang X., Shi X., Kotov A.A. et al. 2014. Confirmation through genetic analysis of the existence of many local phyloclades of the genus Simocephalus (Crustacea, Cladocera) in China // PLoS ONE. V. 9. № e112808. https://doi.org/10.1371/journal.pone.0112808
- Ishida S., Taylor D.J. 2007. Quaternary diversification in a sexual Holarctic zooplankter, Daphnia galeata // Mol. Ecol. V. 16. P. 569. https://doi.org/10.1111/j.1365-294X.2006.03160.x
- Jeffery N.W., Elias-Gutierrez M., Adamowicz S.J. 2011. Species diversity and phylogeographical affinities of the Branchiopoda (Crustacea) of Churchill, Manitoba, Canada // PLoS ONE. V. 11. № e18364.
- Katoh K., Rozewicki J., Yamada K.D. 2019. MAFFT online service: multiple sequence alignment, interactive sequence choice and visualization // Brief. Bioinform. V. 20(4). P. 1160. https://doi.org/10.1093/bib/bbx108
- Karabanov D.P., Bekker E.I., Shiel R.J. et al. 2018. Invasion of a Holarctic planktonic cladoceran Daphnia galeata Sars (Crustacea: Cladocera) in the Lower Lakes of South Australia // Zootaxa. V. 4402. P. 136. https://doi.org/10.11646/zootaxa.4402.1.6
- Knowles L.L., Maddison W.P. 2002. Statistical phylogeography // Mol. Ecol. V. 11(12). P. 2623.
- Kotov A.A. Taylor D.J. 2019. Contrasting endemism in pond–dwelling cyclic parthenogens: the Daphnia curvirostris species group (Crustacea: Cladocera) /// Sci. Rep. V. 9. № 6812. https://doi.org/10.1038/s41598-019-43281-9
- Kotov A.A., Garibian P.G., Bekker E.I. et al. 2021. A new species group from the Daphnia curvirostris species complex (Cladocera: Anomopoda) from the eastern Palaearctic: taxonomy, phylogeny and phylogeography // Zool. J. Linn. Soc. V. 191. P. 772.
- Kumar S., Stecher G., Tamura K. 2016. MEGA7: Molecular Evolutionary Genetics Analysis version 7.0 for bigger datasets // Mol. Biol. Evol. V. 33. P. 1870.
- Leigh J.W., Bryant D. 2015. PopART: Full-feature software for haplotype network construction // Methods Ecol. Evol. V. 6. P. 1110.
- Librado P., Rozas J. 2009. DnaSP v5: A software for comprehensive analysis of DNA polymorphism data // Bioinformatics. V. 25. P. 1451.
- Louette G., De Meester L. 2005. High dispersal capacity of cladoceran zooplankton in newly founded communities // Ecology. V. 86. P. 353.
- Lynch M. 2010. Evolution of the mutation rate // Trends Genet. V. 26. P. 345. https://doi.org/10.1016/j.tig.2010.05.003
- Ma X., Petrusek A., Wolinska J. et al. 2014. Diversity of the Daphnia longispina species complex in Chinese lakes: a DNA taxonomy approach // J. Plank. Res. V. 37. P. 56. https://doi.org/10.1093/plankt/fbu091
- Minh B.Q., Nguyen M.A.T., von Haeseler A. 2013. Ultrafast approximation for phylogenetic bootstrap // Mol. Biol. Evol. V. 30. P. 1188. https://doi.org/10.1093/molbev/mst024
- Nei M., Kumar S. 2000. Molecular Evolution and Phylogenetics. N.Y.: Oxford Univ. Press. P. 333.
- Nguyen L.-T., Schmidt H.A., von Haeseler A. et al. 2015. IQ-TREE: A fast and effective stochastic algorithm for estimating maximum-likelihood phylogenies // Mol. Biol. Evol. V. 32. P. 268. https://doi.org/10.1093/molbev/msu300
- Penton E.H., Crease T.J. 2004. Evolution of the transposable element Pokey in the ribosomal DNA of species in the subgenus Daphnia (Crustacea: Cladocera) // Mol. Biol. Evol. V. 21. P. 1727.
- Petrusek A., Thielsch A., Schwenk K. 2012. Mitochondrial sequence variation suggests extensive cryptic diversity within the Western Palearctic Daphnia longispina complex // Limnol., Oceanogr. V. 57. P. 1838.
- Rambaut A., Drummond A.J., Xie D. et al. 2018. Posterior summarisation in Bayesian phylogenetics using Tracer 1.7 // Syst. Biol. V. 67. P. 901. https://doi.org/10.1093/sysbio/syy032
- Ray N., Currat M., Excoffier L. 2003. Intra-deme molecular diversity in spatially expanding populations // Mol. Biol. Evol. V. 20. P. 76.
- Rogers A.R., Harpending H. 1992. Population growth makes waves in the distribution of pairwise genetic differences // Mol. Biol. Evol. V. 9. P. 552.
- Rogers A.R., Fraley A.E., Bamshad M.J. et al. 1996. Mitochondrial mismatch analysis is insensitive to mutational process // Mol. Biol. Evol. V. 17. P. 895. https://doi.org/10.1093/molbev/13.7.895
- Ronquist F., Huelsenbeck J.P. 2003. MrBayes 3: Bayesian phylogenetic inference under mixed models // Bioinformatics. V. 19. P. 1572.
- Rosenberg N.A., Nordborg M. 2002. Genealogical trees, coalescent theory and the analysis of genetic polymorphisms // Nat. Rev. Genet. V. 3. P. 380. https://doi.org/10.1038/nrg795
- Saitou N., Nei M. 1987. The neighbor-joining method: a new method for reconstructing phylogenetic trees // Mol. Biol. Evol. V. 4. P. 6.
- Schenekar T. Weiss S. 2011. High rate of calculation errors in mismatch distribution analysis results in numerous false inferences of biological importance // Heredity. V. 107. P. 511. https://doi.org/10.1038/hdy.2011.48
- Schneider S., Excoffier L. 1999. Estimation of past demographic parameters from the distribution of pairwise differences when the mutation rates vary among sites: application to human mitochondrial DNA // Genetics. V. 152. P. 1079.
- Slatkin M., Hudson R. 1991. Pairwise comparisons of mitochondrial DNA sequences in stable and exponentially growing populations // Genetics. V. 129. P. 555.
- Tajima F. 1989. Statistical methods for testing the neutral mutation hypothesis by DNA polymorphism // Genetics. V. 123. P. 585.
- Taylor D.J., Hebert P.D., Colbourne J.K. 1996. Phylogenetics and evolution of the Daphnia longispina group (Crustacea) based on 12S rDNA sequence and allozyme variation // Mol. Phyl. Evol. V. 5. P. 495.
- Taylor D.J., Finston T.L., Hebert P.D.N. 1998. Biogeography of a widespread freshwater crustacean: pseudocongruence and cryptic endemism in the North American Daphnia laevis complex // Evolution. V. 52. P. 1648.
- Templeton A.R. 1998. Nested clade analysis of phylogeographic data: testing hypotheses about gene flow and population history // Mol. Ecol. V. 7. P. 381.
- Thielsch A., Brede N., Petrusek A. et al. 2009. Contribution of cyclic parthenogenesis and colonization history to population structure in Daphnia // Mol. Ecol. V. 18. V. 1616.
- Trifinopoulos J., Nguyen L.T., von Haeseler A. et al. 2016. W-IQ-TREE: a fast online phylogenetic tool for maximum likelihood analysis // Nucleic Acids Res. V. 44. P. 232. https://doi.org/10.1093/nar/gkw256
- Van de Meutter F., Stoks R. et al. 2008. Size-selective dispersal of Daphnia resting eggs by backswimmers (Notonecta maculata) // Biol. Lett. V. 4. P. 494. https://doi.org/10.1098/rsbl.2008.0323
- Ventura M., Petrusek A., Miró A. et al. 2014. Local and regional founder effects in lake zooplankton persist after thousands of years despite high dispersal potential // Mol. Ecol. V. 23. P. 1014. https://doi.org/10.1111/mec.12656
- Vysotskiy E.M. 2001. Geomorphology of the basin of Teletskoe Lake // Physical and geological environment of Lake Teletskoe. Tervuren: Musee Royal de I Afrigue Centrale Tervuren. P. 164.
- Zuykova E.I., Bochkarev N.A., Katokhin A.V. 2013a. Molecular-genetic diagnosis and phylogeny of Daphnia species in water bodies of the Chany Lake basin // Rus. J. Genetics. V. 49. P. 206.
- Zuykova E.I., Bochkarev N.A., Katokhin A.V. 2013b. Identification of the Daphnia species (Crustacea: Cladocera) in the lakes of the Ob and Yenisei River basins: morphological and molecular phylogenetic approaches // Hydrobiologia. V. 715. P. 135.
- Zuykova E.I., Simonov E.P., Bochkarev N.A. 2017. Comparative morphological and genetic analysis of populations and species of the genus Daphnia O.F. Müller, 1785 (Crustacea; Daphniidae) from Lake Glubokoe and Lake Chany // Biol. Bull. V. 44. P. 277. https://doi.org/10.1134/S106235901703013X
- Zuykova E.I., Simonov E.P., Bochkarev N.A. et al. 2018a. Contrasting phylogeographic patterns in closely related species of Daphnia longispina group (Crustacea: Cladocera) with focus on north-eastern Eurasia // PLoS ONE. V. 13. № 11. № e0207347.
- Zuykova E.I., Simonov E.P., Bochkarev N.A. et al. 2018b. Resolution of the Daphnia umbra problem (Crustacea: Cladocera) using an integrated taxonomic approach // Zool. J. Linn. Soc. V. 184. P. 969.
- Zuykova E.I., Bochkarev N.A., Talor D.J. et al. 2019. Unexpected endemism in the Daphnia longispina complex (Crustacea: Cladocera) in Southern Siberia // PLoS ONE. V. 14. № e0221527.
- Zuykova E.I., Bochkarev N.A., Kotov A.A. 2021. Specific and genetic structure of the Daphnia longispina s. l. complex (Cladocera, Daphniidae) in water bodies of Southern Siberia // Biol. Bull. V. 48. P. 880.
- Zuykova E.I., Sleptzova L.P., Bochkarev N.A. et al. 2022. Mitochondrial lineage diversity and phylogeography of Daphnia (Daphnia) (Crustacea: Cladocera) in North-East Russia // Water. V. 14. № 1946. https://doi.org/10.3390/w14121946
Supplementary files









