The specificity of the composition, abundance and trophic structure of the summer macrozoobenthos of the Rybinsk Reservoir in the modern period
- Authors: Lovkova T.A.1, Pryanichnikova E.G.1
-
Affiliations:
- Papanin Institute for Biology of Inland Waters, Russian Academy of Sciences
- Issue: Vol 17, No 5 (2024)
- Pages: 732-748
- Section: ЗООПЛАНКТОН, ЗООБЕНТОС, ЗООПЕРИФИТОН
- URL: https://journal-vniispk.ru/0320-9652/article/view/272429
- DOI: https://doi.org/10.31857/S0320965224050051
- EDN: https://elibrary.ru/XSBLBG
- ID: 272429
Cite item
Full Text
Abstract
The main structural characteristics of the summer macrozoobenthos of the Rybinsk Reservoir have been studied according to the data of the expanded grid of stations in 2019 and 2021. 80 species and forms of benthic invertebrates were identified, most of which were chironomids, oligochaetes and mollusks. In all zones and parts of the reservoir, the basis of benthos species richness is represented by chironomids. The dominant complex on all soils included Limnodrilus hoffmeisteri Claparede, 1862, in most cases – Chironomus f. l. plumosus, with the exception of silted sand, where Cladotanytarsus gr. mancus and Tubifex newaensis (Michaelsen, 1902) were added to them. On the silted-up shell, the dominants included Potamothrix moldaviensis Vejdovsky et Mrazek, 1902. The basis of the quantity (93%) and biomass (86%) of animals were chironomids and oligochaetes. The greatest abundance of benthic invertebrates was recorded on gray silts and in the deep-water zone of the reservoir. The Sheksninsky part was characterized by the largest benthic biomass, and the Volzhsky part was characterized by the largest quantity. Among the trophic groups in the quantity of macrozoobenthos on all main soils, in all parts, in the deep-water zone and estuarine areas of the tributaries of the reservoir, the basis was formed by detritophages–swallowers. In the zone of open shallow water, phytodetritophages–filtrators + collectors dominated in quantity. This trophic group made the greatest contribution to the benthic biomass of gray and peaty silts, in all zones and parts, except the Volzhsky part. On silted-up shell, the largest share in the total biomass was made up of phyto-detritophages–filtrators + collectors and detritophages–swallowers. Detritophages–swallowers formed the main part of benthic biomass on silted sand and in the Volzhsky part. When conducting a comparative analysis with the results obtained in 1978, a decrease in the biomass of oligochaetes on gray silts was recorded by ~3 times. Likely, this is due to a decrease in the occurrence and abundance of a large oligochaete that previously dominated on gray silts, an indicator of β-mesosaprobic conditions, Tubifex newaensis. In 2019 and 2021, this oligochaete was not included in the dominant complex of gray silts. It began to be represented by polysaprobes Limnodrilus hoffmeisteri. This can serve as an indirect sign of an increase in the trophic status of a reservoir to a typically eutrophic one and an increase in the accumulation of organic matter in soils.
Full Text
ВВЕДЕНИЕ
Рыбинское водохранилище – одно из наиболее изученных среди водохранилищ р. Волги и других крупных искусственных водоемов России (Структура…, 2018). Характерной особенностью его водного режима является бóльший размах внутригодовых колебаний уровня воды, чем многолетних среднегодовых. Видовой состав, распределение и обилие донного населения в значительной степени зависят от глубины и типа донных отложений (Перова, 2012). Пространственное распределение и накопление донных отложений обусловлено морфологическими и гидрологическими особенностями водохранилищ (Эдельштейн, 1998). В Рыбинском водохранилище постоянно идут процессы трансформации донных отложений, пространственное распределение которых часто имеет мозаичный характер (Законнов, 2007). Кроме того, для современного периода актуальны тенденция к сокращению ареалов илистых отложений, увеличение площадей песчаных наносов, а также рост скорости седиментации, по сравнению с 1990-ми годами (Законнов, 2015). Все эти процессы оказывают существенное влияние на макрозообентос водохранилища.
Наблюдать за сообществами донной фауны Рыбинского водохранилища стали >60 лет назад, начиная с момента его создания (Щербина, Перова, 2018). Последние исследования летней донной фауны по расширенной сети станций проводили в 1978 г. (Баканов, Митропольский, 1982), что и обусловило актуальность данной работы. Ее цель – изучить качественные и количественные характеристики летнего макрозообентоса основных грунтов и разнотипных участков Рыбинского водохранилища в 2019 и 2021 гг., выявить основные изменения сообществ по сравнению с данными 1978 г.
МАТЕРИАЛ И МЕТОДЫ ИССЛЕДОВАНИЯ
Материал собирали в июле–августе 2019 г. и 2021 г. на 45 станциях Рыбинского водохранилища (рис. 1), из которых 15 относились к устьевым областям притоков: Юхоть, Сить, Тереха, Ухра, Согожа, Маткома, Суда, Большой Юг, Себла, Ламь, Кесьма, Реня, Шексна, Волготня. Устьевые области притоков включали предустьевые заливы и переходные зоны приемника (Цветков и др., 2015). Большая часть станций (23) располагалась в глубоководной зоне водоема с глубиной >5 м при НПУ, меньшая (7) – в мелководной зоне с глубиной <5 м при НПУ (Щербина, 1993).
Рис. 1. Карта-схема Рыбинского водохранилища. В – Волжский плес, M – Моложский, Ш – Шекснинский, Г – Главный плесы (по: Фортунатов, 1974); точками обозначены месторасположения станций отбора проб.
Пробы макрозообентоса отбирали модифицированными дночерпателями Экмана–Берджа: ДАК-250 с площадью захвата 1/40 м2 по одному подъему на станции и ДАК-100 с площадью захвата 1/100 м2 по два подъема на станции. Всего было собрано и проанализировано 73 пробы макрозообентоса. Камеральную обработку собранного материала проводили по стандартной методике, принятой в Институте биологии внутренних вод РАН (Методика…, 1975). Крупных моллюсков родов Unio, Viviparus и Dreissena учитывали отдельно.
Для оценки состояния сообществ макрозообентоса использовали следующие показатели: численность (N, экз./м2), биомассу (B, г/м2), встречаемость (Р, %), число НОТ. Видовую идентификацию организмов проводили по определителям (Шилова, 1976; Панкратова, 1977, 1983; Wiederholm, 1986; Кикнадзе и др., 1991; Определитель…, 1995, 1997, 2000, 2004; Timm, 2009).
Для исследования трофической структуры макрозообентоса все виды донных макробеспозвоночных разделили на пять групп по типу питания (Извекова, 1975): 1 – детритофаги–собиратели; 2 – фитодетритофаги–фильтраторы + собиратели; 3 –фитодетритофаги–фильтраторы; 4 – детритофаги–глотатели; 5 – хищники–активные хвататели. Сведения о характере пищи и способе ее добычи взяты из работ (Щербина, 1993; Монаков, 1998). Для выявления комплекса доминантных видов применяли индекс плотности Арнольди в модификации Г.Х. Щербины (1993). Доминантами считали представителей донной фауны с индексом >10%.
Температура придонного слоя воды в период изучения варьировала от 16.3 до 21.8°С, содержание кислорода – от 3.7 до 9.9 мг/л. В Рыбинском водохранилище среднее содержание кислорода в придонном слое воды на момент отбора проб в оба года было почти одинаковым (в 2019 г. – 7.9 мг/л, в 2021 г. – 8 мг/л), средняя температура придонного слоя воды в 2021 г. была выше на 4.3°C, чем в 2019 г. (21.5 и 17.2°С соответственно).
Исследованные станции отличались не только по глубине, но и по характеру донных отложений. Выделено четыре основных грунта: I – серый ил, II – заиленный песок, III – торфянистый ил, IV – заиленный ракушечник. К заиленному ракушечнику относили те грунты, где были выявлены живые моллюски Dreissena polymorpha (Pallas, 1771), а также обнаружено значительное количество раковин дрейссенид или живых моллюсков. Количество проб макрозообентоса, отобранных с разных грунтов на разнотипных участках водохранилища, представлено в табл. 1.
Таблица 1. Количество проб макрозообентоса
Участок водохранилища | 2019 г. | 2021 г. | ||||||
Плесы: | ||||||||
Волжский | 1 | 2 | 0 | 1 | 3 | 1 | 1 | 1 |
Главный | 7 | 1 | 2 | 1 | 7 | 2 | 1 | 2 |
Шекснинский | 7 | 1 | 0 | 1 | 1 | 4 | 3 | 2 |
Моложский | 6 | 4 | 1 | 0 | 6 | 3 | 0 | 1 |
Зоны: | ||||||||
открытое мелководье | 1 | 2 | 0 | 0 | 1 | 3 | 0 | 3 |
глубоководная | 12 | 4 | 2 | 2 | 10 | 6 | 3 | 2 |
устьевая область притоков | 8 | 2 | 1 | 1 | 6 | 1 | 2 | 1 |
Примечание. Здесь и в табл. 2–4, I – серый ил, II – заиленный песок, III – торфянистый ил, IV – заиленный ракушечник.
Для оценки достоверности различий количественных показателей макрозообентоса полученные результаты обрабатывали с помощью дисперсионного анализа Краскела–Уоллиса (H) и критерия Фишера (Z) при уровне значимости p = 0.05. Для подробного последовательного анализа различий между группами после выявления групповых различий проводили апостериорные попарные сравнения данных с помощью U-критерий Манна–Уитни при p = 0.05. При выявлении связи количественных характеристик макрозообентоса от температуры придонного слоя воды использовали регрессионный анализ при p = 0.05. Представление данных в графическом виде и статистическую обработку выполняли с использованием рекомендаций в работах (Методика…, 1975; Песенко, 1982; Унгуряну, Гржибовский, 2011). Ошибка среднего арифметического M ± SE приведена при n ≥3.
РЕЗУЛЬТАТЫ ИССЛЕДОВАНИЯ
Всего в Рыбинском водохранилище в период изучения обнаружено 80 НОТ донных макробеспозвоночных (табл. 2). Число видов и форм основных таксономических групп макрозообентоса было следующим: хирономиды – 25, моллюски – 23, олигохеты – 20, прочие (представители полихет, пиявок, амфипод и цератопогонид, обилие и встречаемость которых были относительно низкими) – 12.
Таблица 2. Таксономический состав и встречаемость макрозообентоса на основных грунтах Рыбинского водохранилища летом 2019 и 2021 гг.
Таксон | P | |||
I | II | III | IV | |
Тип Mollusca | ||||
Класс Gastropoda | ||||
Семейство Viviparidae | ||||
Viviparus viviparus (L., 1758) | 11 | – | 11 | 44 |
Семейство Valvatidae | ||||
Cincinna depressa C. Pfeiffer, 1828 | 5 | 17 | – | – |
C. piscinalis (O.F. Müller, 1774) | 8 | 11 | – | 11 |
Семейство Lithoglyphidae | ||||
Lithoglyphus naticoides C. Pfieffer, 1828 | 5 | 6 | – | – |
Класс Bivalvia | ||||
Семейство Sphaeriidae | ||||
Amesoda solida (Normand, 1844) | – | 6 | 11 | – |
Musculium creplini (Dunker, 1845) | 3 | – | – | – |
Parasphaerium nitidum (Clessin in Westerlund, 1877) | 3 | 6 | – | – |
Семейство Pisidiidae | ||||
Europisidium tenuilineatum (Stelfox, 1918) | 5 | – | – | 11 |
Neopisidium moitessierianum (Paladilhe, 1866) | – | 6 | – | 11 |
N. torquatum (Stelfox, 1918) | – | 6 | – | – |
Pisidium amnicum (O.F. Müller, 1774) | 3 | – | – | – |
P. inflatum (Muehlfeld in Porro, 1838) | 3 | 6 | 11 | – |
Семейство Euglesidae | ||||
Cinguliopisidium nitidum (Jenyns, 1832) | 3 | – | 11 | – |
Conventus conventus (Clessin, 1877) | 8 | 6 | 22 | 11 |
Euglesa fossarina (Clessin, 1873) | 3 | 6 | – | – |
E. ponderosa (Stelfox, 1918) | 22 | 6 | 22 | – |
E. sp. | 3 | 6 | 11 | – |
Henslowiana conica (Baudon, 1857) | – | – | 11 | – |
H. henslowana (Sheppard, 1823) | 11 | – | – | 11 |
H. ostroumovi Pirogov et Starobogatov, 1974 | 8 | – | – | – |
H. suecica (Clessin in Westerlund, 1873) | 5 | 17 | 11 | – |
Pseudeupera subtruncata (Malm, 1853) | 3 | – | – | – |
Семейство Dreissenidae | ||||
Dreissena polymorpha (Pallas, 1771) | – | – | – | 100 |
Тип Annelida | ||||
Класс Clitellata | ||||
Подкласс Oligochaeta | ||||
Отряд Tubificida | ||||
Семейство Naididae | ||||
Nais communis Piguet, 1906 | 3 | – | – | 11 |
Uncinais uncinata (Oersted, 1842) | – | 11 | – | – |
Stylaria lacustris L., 1767 | – | 6 | – | – |
Aulodrilus limnobius Bretscher, 1899 | 3 | 6 | – | – |
A. pigueti Kowalevsky, 1914 | 5 | – | – | – |
A. pluriseta (Piguet, 1906) | 5 | 6 | – | 11 |
Limnodrilus claparedeanus Ratzel, 1868 | 22 | – | 22 | 33 |
L. hoffmeisteri Claparede, 1862 | 89 | 78 | 67 | 78 |
L. profundicola Verrill, 1871 | 14 | 6 | – | – |
Potamothrix hammoniensis (Michaelsen, 1901) | 43 | 11 | 33 | 44 |
P. heuscheri (Bretscher, 1900) | – | – | – | 11 |
P. moldaviensis Vejdovsky et Mrazek, 1902 | 22 | 28 | 11 | 44 |
P. vejdovskyi Hrabe, 1941 | 5 | 6 | – | 11 |
Psammoryctides barbatus (Grube, 1861) | – | 22 | – | 22 |
P. moravicus (Hrabe, 1934) | – | 6 | – | – |
Quistadrilus multisetosus (Smith, 1900) | 11 | – | – | 11 |
Spirosperma ferox (Eisen, 1879) | 8 | 6 | 11 | – |
Tubifex newaensis (Michaelsen, 1902) | 14 | 67 | 22 | – |
T. tubifex (O.F. Müller, 1773) | 24 | 17 | – | 11 |
Отряд Lumbriculida | ||||
Семейство Lumbriculidae | ||||
Lumbriculus variegatus (O.F. Müller, 1773) | – | 6 | – | – |
Подкласс Hirudinea | ||||
Отряд Rhynchobdellida | ||||
Семейство Piscicolidae | ||||
Caspiobdella fadejewi (Epstein, 1961) | 3 | – | – | – |
Семейство Glossiphoniidae | ||||
Glossiphonia complanata (L., 1758) | – | 6 | – | – |
Helobdella stagnalis (L., 1758) | 8 | 11 | 11 | 22 |
Отряд Arhynchobdellida | ||||
Семейство Erpobdelidae | ||||
Erpobdella octoculata (L., 1758) | 3 | – | – | – |
Класс Polychaeta | ||||
Подкласс Palpata | ||||
Отряд Terebellida | ||||
Семейство Ampharetidae | ||||
Hypania invalida Grube, 1860 | – | 6 | – | – |
Тип Arthropoda | ||||
Класс Malacostraca | ||||
Подкласс Eumalacostraca | ||||
Отряд Amphipoda | ||||
Семейство Gammaridae | ||||
Gmelinoides fasciatus (Stebbing, 1899) | 3 | 11 | – | – |
Отряд Isopoda | ||||
Семейство Asellidae | ||||
Asellus aquaticus (L., 1758) | – | – | – | 11 |
Класс Insecta | ||||
Отряд Diptera | ||||
Семейство Chaoboridae | ||||
Chaoborus crystallinus (De Geer, 1776) | 5 | – | – | – |
Семейство Ceratopogonidae | ||||
Mallochohelea inermis Kieffer, 1909 | 19 | 6 | 22 | 11 |
Probezzia seminigra (Panzer, 1798) | 16 | 6 | – | – |
Sphaeromias pictus (Meigen, 1818) | 14 | 6 | – | – |
S. fasciatus (Meigen, 1804) | 3 | – | – | – |
Семейство Chironomidae | ||||
Procladius choreus (Meigen, 1804) | 46 | 28 | – | 22 |
P. ferrugineus (Kieffer, 1919) | 38 | 6 | – | 22 |
Tanypus vilipennis (Kieffer, 1918) | 3 | – | – | – |
Chironomus f. l. plumosus | 76 | 39 | 78 | 56 |
Cladopelma viridula (L., 1767) | 3 | 11 | – | – |
Cryptochironomus obreptans (Walker, 1856) | 22 | 22 | 22 | 22 |
C. redekei Kruseman, 1933 | 14 | 11 | 11 | – |
C. ussouriensis Goetghebuer, 1933 | – | – | – | 11 |
Dicrotendipes modestus (Say, 1823) | 3 | 6 | – | – |
Einfeldia dissidens (Walker, 1856) | – | 6 | – | – |
Endochironomus albipennis (Meigen, 1830) | – | 6 | – | – |
Glyptotendipes glaucus (Meigen, 1818) | – | – | – | 22 |
G. paripes Edwards, 1929 | 3 | – | – | 11 |
Harnishia curtilamellata (Malloch, 1915) | 3 | 44 | – | 22 |
Micrchironomus tener (Kieffer, 1918) | 3 | 22 | – | 11 |
Paralauterborniella nigrochalteralis Malloch, 1915 | 3 | 22 | 11 | – |
Polypedilum bicrenatum Kieffer, 1921 | 8 | 28 | – | 22 |
P. gr. nubeculosum | 11 | 6 | – | 11 |
P. scalaenum Schrank, 1803 | – | 17 | – | – |
Stictochironomus crassiforceps (Kieffer, 1922) | 3 | 39 | – | 22 |
Cladotanytarsus gr. mancus | – | 61 | – | 22 |
Tanytarsus gr. gregarius | 3 | 17 | 11 | – |
T. gr. holochlorus | 3 | – | – | 11 |
T. medius (Reiss et Fittkau, 1971) | 14 | 17 | 11 | 11 |
Stempellina bausei (Kieffer, 1911) | – | 6 | – | – |
Всего | 59 | 55 | 23 | 36 |
Примечание. P – встречаемость вида на разных типах грунта, %; полужирным шрифтом – встречаемость вида >50%; “–” – отсутствие вида.
Летом 2019 г. состав донной фауны включал в себя 64 НОТ: хирономид – 21, олигохет – 14, моллюсков – 18, прочих – 11. В 2021 г. видовое богатство беспозвоночных было ниже (57 НОТ): хирономид – 22, олигохет – 16, моллюсков – 15, прочих – 4.
Наибольшим видовым богатством макрозообентоса характеризовались серые илы (59 НОТ), наименьшим – торфянистые (23 НОТ). Число НОТ донных беспозвоночных статистически достоверно различалось на сером и торфянистом илах (U = 84; Z = 2.3; p = 0.02), и на заиленном песке и торфянистом иле (U = 39; Z = 2.1; p = 0.03) (рис. 2a). Такие различия можно объяснить тем, что торфянистые илы перегружены лимногумусовыми веществами, трудноусвояемыми гидробионтами (Сорокин, 1959), следовательно, видовое богатство бентоса здесь, вероятно, будет ниже относительно других грунтов. Число НОТ основных таксономических групп макрозообентоса на разных грунтах статистически значимо не различалось, за исключением личинок хирономид (H = 9.84; p = 0.02) (рис. 2б). При попарном сравнении выборок выявлены статистически значимые различия в числе НОТ хирономид на сером иле и заиленном песке (U = 220; Z = −2; p = 0.04), на заиленном песке и торфянистом иле (U = 32; Z = 2.5; p = 0.01), а также на торфянистом иле и ракушечнике (U = 15; Z = −2.2; p = 0.02). Хирономиды составляли основу видового богатства донных макробеспозвоночных на заиленном песке и заиленном ракушечнике. На торфянистых илах бóльшую часть видов и форм макрозообентоса представляли моллюски, на сером иле – хирономиды и олигохеты.
Рис. 2. Число НОТ макрозообентоса (a) и хирономид (б) в пробах, отобранных на разных грунтах (I–IV) Рыбинского водохранилища. Здесь и на рис. 3–6, I – серый ил, II – заиленный песок, III – торфянистый ил, IV – заиленный ракушечник. Приведены значения среднего арифметического и его стандартной ошибки.
Различия в видовом богатстве донной фауны были обнаружены не только на грунтах, но и на разнотипных участках водохранилища. Большая часть представителей донной фауны зарегистрирована в глубоководной зоне водоема – 70 НОТ, в устьевых областях притоков выявлено 43 НОТ, в зоне открытого мелководья – 34. При этом видовое богатство статистически достоверно различалось только у олигохет (H = 23.3; p <0.01). Всего в глубоководной зоне было обнаружено 19 видов олигохет, в открытых мелководьях и устьевых областях – по 9 видов. Среди плесов водохранилища наибольшее число НОТ беспозвоночных было отмечено в Главном плесе (58), наименьшее – в Шекснинском (38). Однако в разных плесах статистически достоверно различалось только видовое богатство моллюсков (H = 10.9; p = 0.01). Всего в Главном плесе зарегистрировано 17 видов и форм моллюсков, в Шекснинском – 8. Следует отметить, что личинки хирономид составляли основу видового богатства бентоса во всех зонах и плесах.
Доминантный комплекс макрозообентоса водохранилища представляли хирономиды и олигохеты, однако его состав в значительной степени связан с качеством, местоположением в водоеме и мощностью грунтовых комплексов (Поддубная, 1988). Именно поэтому состав доминантов разнотипных участков Рыбинского водохранилища в основном зависел от преобладающих на них грунтов. На всех грунтах в 2019 и 2021 гг. он включал олигохету Limnodrilus hoffmeisteri. Олигохета Tubifex newaensis доминировала на заиленном песке. Однако в эти годы доминантный комплекс бентоса на грунтах несколько различался. В большинстве случаев в его состав входили личинки хирономид Chironomus f. l. plumosus, за исключением заиленного песка в 2019 г., где доминировали мелкие хирономиды Cladotanytarsus gr. mancus. В 2021 г. Potamothrix hammoniensis преобладал на сером и торфянистом илах. Кроме этого, в состав доминантов серого ила и заиленного ракушечника в 2021 г. входил Limnodrilus claparedeanus. В 2019 г. на заиленном ракушечнике доминировала олигохета Potamothrix moldaviensis, частота встречаемости которой в биоценозе дрейссены значительно выше, чем на других биотопах Рыбинского водохранилища (Пряничникова, 2012).
Зону открытого мелководья в основном представлял заиленный песок, поэтому доминантный комплекс макрозообентоса состоял из соответствующих этому грунту представителей. В устьевых областях притоков, где преобладали серые илы, доминировали Limnodrilus hoffmeisteri и Chironomus f. l. plumosus. В глубоководной зоне водохранилища в основном находился серый ил, но и остальные грунты здесь преобладали в бóльшей степени, чем в устьевых областях притоков. Как следствие, состав доминантного комплекса макрозообентоса в этой зоне был богаче – помимо доминантов, характерных для серого ила, сюда входили Tubifex newaensis, Potamothrix hammoniensis и Potamothrix moldaviensis.
Доминантный комплекс макрозообентоса Главного плеса, где в оба года преобладали серые илы, представляли олигохеты Limnodrilus hoffmeisteri и личинки хирономид Chironomus f. l. plumosus. В 2019 г. в состав доминантов этого плеса входил Potamothrix moldaviensis, также доминирующий в этот год в биоценозе дрейссены. В Шекснинском и Моложском плесах состав доминантов не различался в оба года исследований (Limnodrilus hoffmeisteri и Chironomus f. l. plumosus), поскольку здесь преобладали илы. В Моложском плесе бóльшая часть станций располагалась на заиленном песке и сером иле, доминировали характерные для этих грунтов Tubifex newaensis, Limnodrilus hoffmeisteri и Chironomus f. l. plumosus.
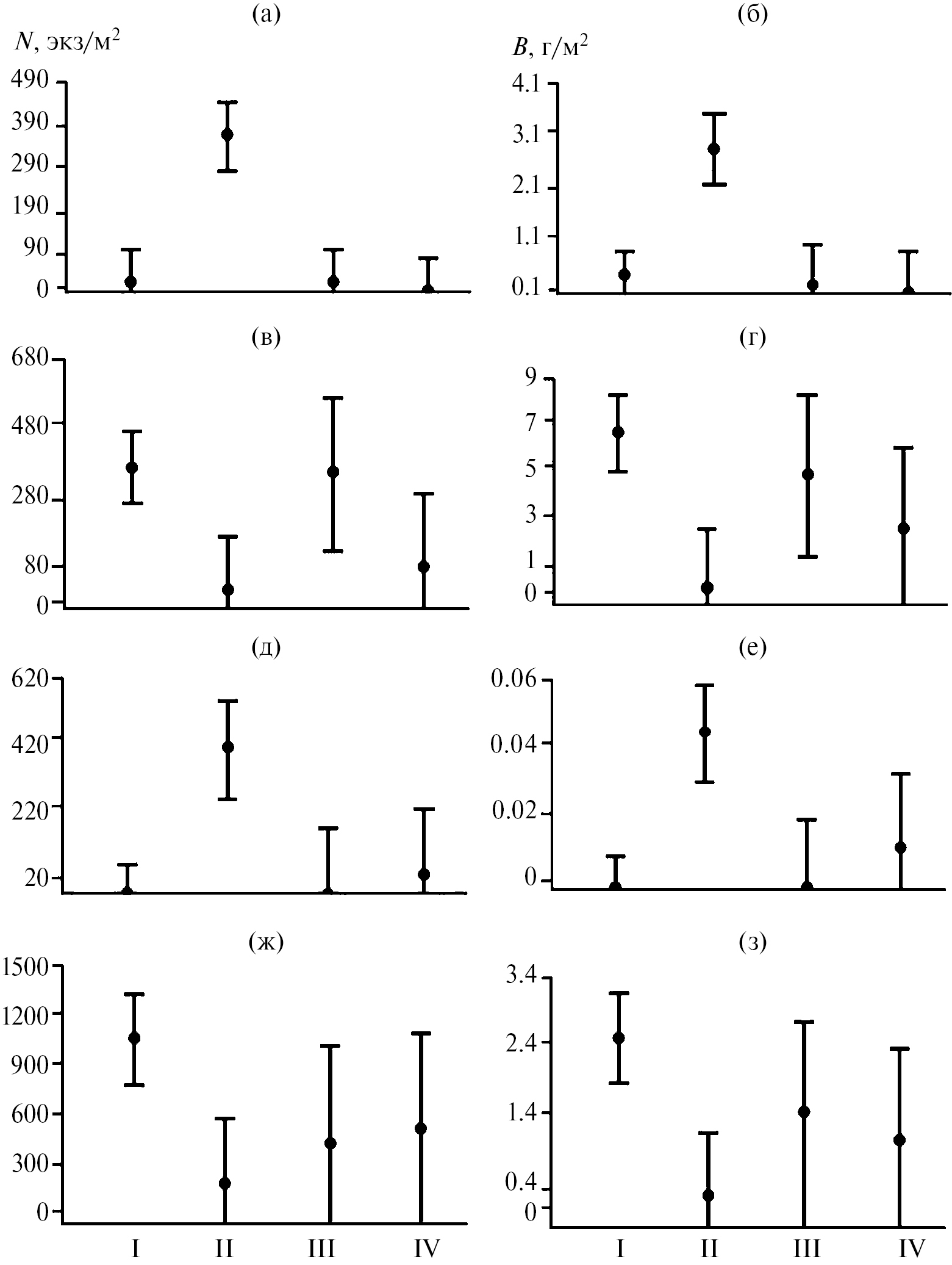
На основных грунтах различались не только доминантный комплекс донных беспозвоночных, но и их обилие. Односторонний дисперсионный анализ показал статистически значимые различия в численности и биомассе олигохеты Tubifex newaensis на основных грунтах (H = 23.92; p <0.01 и H = 22.31; p <0.01 соответственно) (рис. 3а, 3б). Аналогично для хирономид Сhironomus f. l. plumosus (H = 13.4; p <0.01 и H = 14.4; p <0.01) (рис. 3в, 3г) и Cladotanytarsus gr. mancus (H = 32.60; p <0.01 и H = 32.35; p <0.01) (рис. 3д, 3е). Результаты одностороннего дисперсионного анализа не показали статистически значимых различий в численности и биомассе олигохеты Limnodrilus hoffmeisteri на разных грунтах (рис. 3ж, 3з), однако попарное сравнение обилия этого вида на основных грунтах выявил таковые на сером иле и заиленном песке (табл. 3).
Рис. 3. Численность (N) и биомасса (B) представителей доминантного комплекса макрозообентоса на разных грунтах Рыбинского водохранилища: a, б – Tubifex newaensis; в, г – Chironomus f. l. plumosus; д, е – Cladotanytarsus gr. mancus ж, з – Limnodrilus hoffmeisteri. Приведены значения среднего арифметического и его стандартной ошибки.
Таблица 3. Статистические показатели попарного сравнения обилия доминантов на основных грунтах Рыбинского водохранилища
Пара грунтов | N | B | Показатель | ||||||
Lmnh | Tbnw | Chpl | Clmn | Lmnh | Tbnw | Chpl | Clmn | ||
I и II | 200 | 143 | 155 | 130 | 163 | 151 | 148 | 130 | U |
2.4 | −3.4 | 3.2 | −3.6 | 3.1 | −3.3 | 3.3 | −3.6 | Z | |
0.02 | <0.01 | <0.01 | <0.01 | <0.01 | <0.01 | <0.01 | <0.01 | p | |
I и IV | − | − | − | 130 | − | − | − | 130 | U |
− | − | − | −1 | − | − | − | −1 | Z | |
− | − | − | <0.01 | − | − | − | <0.01 | p | |
II и III | − | 36 | 29 | 32 | − | 38 | 25 | 32 | U |
− | 2.3 | −2.6 | −2.5 | − | 2.2 | −2.8 | 2.5 | Z | |
− | 0.01 | 0.01 | <0.01 | − | 0.02 | <0.01 | 0.01 | p | |
II и IV | − | 27 | − | − | − | 27 | − | − | U |
− | 2.7 | − | − | − | 2.7 | − | − | Z | |
− | <0.01 | − | − | − | <0.01 | − | − | p | |
Примечание. N – численность, экз./м2, B – биомасса, г/м2; Lmnh – Limnodrilus hoffmeisteri; Tbnw – Tubifex newaensis; Chpl – Chironomus f. l. plumosus; Clmn – Cladotanytarsus gr. mancus; “−” – статистически значимые различия между показателями отсутствуют; U – значения критерия Манна–Уитни, Z – значения критерия Фишера, p – уровень значимости.
В целом, попарное сравнение обилия доминантов в макробентосе на основных грунтах показало, что между серым илом и заиленным песком имеются статистически значимые различия в численности и биомассе всех доминантов. На сером и торфянистом илах, а также на торфянистом иле и ракушечнике обилие доминантов статистически значимо не различалось.
Летом 2019 и 2021 гг. макрозообентос Рыбинского водохранилища представлял олигохетно-хирономидный комплекс, характерный для этого водоема (Перова, 2012). Суммарно олигохеты и хирономиды формировали 93% численности и 86% биомассы бентоса водохранилища, причем на долю олигохет приходилось 55% численности и 44% биомассы донных животных. Относительная численность олигохет была выше, чем таковая хирономид почти на всех грунтах, за исключением заиленного песка, где они были представлены наравне (по 45%). На серых и торфянистых илах наибольший вклад в биомассу макрозообентоса вносили хирономиды, на заиленном песке – олигохеты. На заиленном ракушечнике эти две основные таксономические группы были в равных долях по биомассе бентоса (по 47%). Статистически значимого различия как в обилии бентоса в целом, так и основных таксономических групп на исследованных грунтах не выявлено, за исключением биомассы хирономид (H = 9.91; p = 0.02) (рис. 4а, 4б). Попарный анализ показал значимые различия биомассы хирономид на сером иле и заиленном песке (U = 183.5; Z = 2.67; p = 0.01), а также на торфянистом иле и заиленном песке (U = 31.5; Z = −2.5; p = 0.01). Биомасса хирономид на заиленном песке была в 15 раз меньше, чем на сером иле и в 11 раз меньше, чем на торфянистом. Это связано с особенностями доминантного комплекса макробентоса данных грунтов: на сером и торфянистом илах среди хирономид доминировали крупные по биомассе личинки Сhironomus f. l. plumosus, на заиленном песке – мелкие Cladotanytarsus gr. mancus.
Рис. 4. Биомасса (a) и численность (б) хирономид на разных грунтах Рыбинского водохранилища. Приведены значения среднего арифметического и его стандартной ошибки.
Численность и биомасса донных беспозвоночных разных зон водоема статистически достоверно различалась (H = 14.5; p <0.01 и H = 8.2; p <0.02 соответственно). Глубоководная зона водохранилища отличалась максимальным обилием макрозообентоса, средние численность и биомасса достигали 2.5 тыс. экз./м2 и 10.9 г/м2 соответственно. Вероятно, это связано с наличием в глубоководной зоне в основном серого ила, для которого характерно наибольшее обилие бентоса (табл. 4). Минимальная численность донной фауны отмечена в устьевых областях притоков водоема (1.1 тыс. экз./м2), биомасса – в зоне открытого мелководья (4.5 г/м2). Низкая биомасса бентоса в зоне открытого мелководья объясняется тем, что здесь преобладали пески, на которых зарегистрирована наименьшая биомасса донных животных относительно других грунтов (табл. 4).
Таблица 4. Основные характеристики летнего макрозообентоса на разных грунтах (I–IV) Рыбинского водохранилища в 2019 и 2021 гг.
Показатель | I | II | III | IV | Весь водоем |
S | 7 ± 0 1–13 | 8 ± 1 2–19 | 5 ± 1 2–8 | 7 ± 2 3–15 | 7 ± 0 1–19 |
N | 2247 ± 434 50–11 440 | 1619 ± 355 100–6850 | 1164 ± 214 350–2320 | 2199 ± 1093 280–10 080 | 1915 ± 267 50–11 440 |
B | 11.1 ± 1.8 0.2–38.2 | 5.5 ± 1.4 0.2–19.3 | 8.2 ± 1.6 1.1–14.7 | 6.2 ± 2.5 0.4–18.4 | 8.8 ± 1.1 0.2–38.2 |
Примечание. S – удельное видовое богатство; N – численность, экз./м2; B – биомасса, г/м2; над чертой – среднее и его ошибка, под чертой – min‒max.
Соотношение таксономических групп в общей численности и биомассе макробентоса в разных зонах Рыбинского водохранилища в основном зависело от преобладающих в них грунтов. Поскольку в глубоководной зоне и устьевых областях притоков доминировали серые илы, основу численности бентоса составляли олигохеты, биомассы – хирономиды. В зоне открытого мелководья основной вклад в численность бентоса вносили хирономиды, а в биомассу – моллюски, аналогично пескам. Статистически значимых различий в обилии основных таксономических групп бентоса в зоне открытого мелководья и устьевых областях притоков не выявлено. Однако таковые обнаружены для олигохет в мелководной и глубоководной зонах (по численности и биомассе соответственно: U = 49.2; Z = −3.4; p <0.01 и U = 55.5; Z = −3.3; p <0.01). Численность и биомасса олигохет в глубоководной зоне была в 6 раз больше, чем в мелководной. Так же достоверно различалось обилие олигохет в устьевых областях притоков и глубоководной зоне (по численности и биомассе соответственно: U = 163.5; Z = 4.2; p <0.01 и U = 168.2; Z = 4.2; p <0.01). В устьевых областях численность и биомасса олигохет были ниже в 4 и 6 раз соответственно, чем в глубоководной зоне.
Наиболее высокая средняя численность донных макробеспозвоночных в Рыбинском водохранилище отмечена в Волжском плесе (2.7 тыс. экз./м2), биомасса – в Шекснинском (9.7 г/м2). Наименьшие количественные характеристики макрозообентоса зарегистрированы в Моложском плесе – 1.3 тыс. экз./м2 и 7.5 г/м2. Следует отметить, что статистически значимых различий в обилии донной фауны разных плесов не выявлено, однако таковые обнаружены в численности и биомассе моллюсков. Достоверные различия в количественных характеристиках моллюсков были зарегистрированы в Главном и Шекснинском плесах (численность и биомасса соответственно: U = 100; Z = 3; p <0.01 и U = 117; Z = 2.5; p = 0.01), а также в Главном и Моложском (численность и биомасса соответственно: U = 152.5; Z = 2.1; p = 0.03 и U = 144; Z = 2.3; p = 0.02). Во всех плесах основу численности донных беспозвоночных создавали олигохеты. По биомассе в Волжском плесе доминировали малощетинковые черви (59%), а в остальных плесах – личинки хирономид (46–68%).
Основу численности макробентоса на всех грунтах водоема составляли детритофаги–глотатели (45–71%), представленные исключительно олигохетами. В равной степени на всех грунтах были представлены хищники–активные хвататели (рис. 5) – пиявки, цератопогониды и хирономиды родов Cryptochironomus и Procladius. Детритофаги–собиратели (Gmelinoides fasciatus и Asellus aquaticus) обнаружены только на заиленных песках, где их доля была <1% обилия донных беспозвоночных. Соотношение основных трофических групп бентоса по биомассе отличалось от такового по численности. На серых и торфянистых илах наибольший вклад в биомассу макрозообентоса вносили фитодетритофаги–фильтраторы + собиратели (~60%), поскольку на этих грунтах доминировали составляющие эту трофическую группу личинки хирономид. На заиленном ракушечнике фитодетритофаги–фильтраторы + собиратели занимали равную долю с детритофагами–глотателями (по 47%) из-за равного соотношения хирономид и олигохет. На заиленном песке основную часть биомассы донных животных представляли детритофаги–глотатели (60%), поскольку на этом грунте бóльшая часть биомассы приходилась на олигохет.
Рис. 5. Соотношение долей трофических групп в общей численности (N, экз./м2) и биомассе (В, г/м2) макрозообентоса Рыбинского водохранилища на разных грунтах. 1 – детритофаги–собиратели, 2 – фитодетритофаги–фильтраторы + собиратели, 3 – фитодетритофаги–фильтраторы, 4 – детритофаги–глотатели, 5 – хищники–активные хвататели; 2019, 2021 – в целом по водоему за год.
В глубоководной зоне Рыбинского водохранилища и устьевых областях его притоков основу численности бентоса, в основном, составляли детритофаги–глотатели (45 и 73% соответственно), поскольку в этих районах доминировали олигохеты. В зоне открытого мелководья преобладали фитодетритофаги–фильтраторы + собиратели (64%) за счет доминирующих здесь по численности хирономид. Хищники–активные хвататели были наиболее представлены в устьевых областях притоков (21% численности бентоса), чем в других зонах (<10%). По биомассе во всех зонах доминировала группа фитодетритофагов–фильтраторов + собирателей (52–53%), что также отражает таксономическую структуру бентоса. В глубоководной зоне и в устьевых областях притоков на долю детритофагов–глотателей приходилось по 17% общей биомассы, а на долю фитодетритофагов–фильтраторов ~27%.
Соотношение численности основных трофических групп во всех плесах водохранилища почти не различалось: доминировали детритофаги–глотатели (53–73%), на фитодетритофагов–фильтраторов + собирателей приходилось 16–37% численности, на остальные трофические группы – ≤11%. В Главном, Шекснинском и Моложском плесах по биомассе преобладали фитодетритофаги–фильтраторы + собиратели (48–66%), в Волжском плесе – детритофаги–глотатели (59%).
ОБСУЖДЕНИЕ РЕЗУЛЬТАТОВ
Полученные результаты свидетельствуют о межгодовых изменениях сообществ макрозообентоса. Снижение видового богатства беспозвоночных в 2021 г. по сравнению с 2019 г. произошло в основном за счет относительно редко встречающихся в водоеме представителей донной фауны – пиявок, цератопогонид, ракообразных и полихет. Статистически значимые различия видового богатства между изученными годами выявлены только у хирономид на сером иле (U = 88; Z = 2.4; p = 0.01). В 2019 г. на сером иле зарегистрировано 15 НОТ хирономид, в 2021 – 9 НОТ.
Также несколько различался доминантный комплекс макрозообентоса, что могло быть обусловлено совокупностью различных факторов среды и биологическими особенностями представителей донной фауны. На заиленном песке в 2019 г. в доминантный комплекс входила хирономида Cladotanytarsus gr. mancus, а в 2021 г. – Chironomus f. l. plumosus. Это может быть связано с биологическими особенностями хирономид. Cladotanytarsus gr. mancus относится к полицикличным хирономидам, а к личинкам Chironomus gr. plumosus в Рыбинском водохранилище относятся как моноцикличные виды (Ch. anthracinus Zetterstedt, 1860, Ch. pilicornis (Hartig, 1841)), так и дицикличные (Ch. plumosus (L., 1758)) (Шилова, 1976). Возможно, в 2021 г. на момент отбора проб уже произошел вылет Cladotanytarsus gr. mancus.
В 2019 г. в доминантный комплекс бентоса заиленного ракушечника входил Potamothrix moldaviensis. Эта олигохета относится к постоянным видам биоценоза дрейссены (Пряничникова, 2012), поэтому ее отсутствие в доминантах в 2021 г. может быть связано с уменьшением численности дрейссены относительно 2019 г. в 2 раза.
В 2021 г. в состав доминирующих видов макробентоса серого ила и заиленного ракушечника вошла олигохета Limnodrilus claparedeanus. Это теплолюбивый вид, имеющий южное происхождение (Мороз, 1983), его высокое обилие летом 2021 г. может быть связано с более высокими температурами в 2021 г., чем в 2019 г.: в период с апреля по июль (включительно) средняя температура воздуха в г. Рыбинск в 2021 г. была на 2.4°C выше, чем в 2019 г.1
Такой температурный режим не мог не отразиться на количественных характеристиках макробентоса. Наибольшее снижение численности в 2021 г. отмечено на заиленном песке и ракушечнике – в 2.6 и в 3.2 раза соответственно (рис. 6а). Однако статистически значимые различия в численности бентоса между изучаемыми годами выявлены только на заиленном песке (U = 8; Z = 2.8; p = 0.01). Вероятно, при меньшей глубине расположения заиленного песка и ракушечника (в среднем 6.3 и 7.4 м при НПУ соответственно), чем серого и торфянистого ила (в среднем 8.6 и 9.6 м при НПУ соответственно), придонный слой воды прогревался более интенсивно в 2021 г., что привело к изменению условий обитания организмов. Возможно, в 2021 г. на всех грунтах, за исключением торфянистого ила, вылет хирономид произошел раньше, чем в 2019 г., из-за более интенсивного прогрева воды.
Рис. 6. Численность (N) и биомасса (B) макрозообентоса Рыбинского водохранилища летом 2019 и 2021 гг.: а, б – на основных грунтах (I–IV, V – в целом по водоему); в, г – в разных зонах (МЗ – открытое мелководье, ГЗ – глубоководная зона, У – устьевая область притоков), д, е – в разных плесах (В – Волжский, Г – Главный, Ш – Шекснинский, М – Моложский). 1 – Сhironomidae, 2 – Oligochaeta, 3 – Mollusca, 4 – прочие.
На заиленном песке численность бентоса сократилась за счет хирономид и моллюсков, на заиленном ракушечнике – за счет хирономид и олигохет (рис. 6а). В 2019 г. на заиленном песке и ракушечнике было отмечено значительное количество мелких (до 5 мм) представителей хирономид (роды Tanytarsus, Cladotanytarsus, Polypedilum и другие). В 2021 г. их численность на этих грунтах значительно сократилась – в >5 раз. Большинство этих хирономид полицикличны. Например, некоторые представители родов Tanytarsus и Cladotanytarsus на глубине ≤1.5 м могут дать до четырех генераций в год (Шилова, 1976). Возможно, на момент отбора проб в 2021 г. бóльшая часть этих хирономид вылетела, вследствие чего снизилась численность личинок хирономид в целом.
В 2021 г. биомасса донных животных в водохранилище снизилась относительно 2019 г. на всех грунтах. Однако статистически значимые различия между биомассой бентоса в изучаемые годы зарегистрированы только на сером иле (U = 88; Z = 2.4; p = 0.01), причем за счет хирономид (U = 77; Z = 2.8; p = 0.01). Отмечено увеличение биомассы отдельных групп на некоторых грунтах (рис. 6б). Увеличение биомассы хирономид на заиленном ракушечнике скорее всего связано с увеличением представленности крупных личинок Chironomus f. l. plumosus (численность выросла в 2 раза, биомасса – в 7).
Во всех зонах Рыбинского водохранилища в 2021 г. обилие донных беспозвоночных было ниже, чем в 2019 г. (рис. 6в, 6г), в основном за счет личинок хирономид. Наибольшее снижение обилия макрозообентоса зарегистрировано в наиболее хорошо прогреваемых участках водоема: численности – в зоне открытого мелководья (в 6 раз), биомассы – в устьевых областях притоков (в 4.5 раза). На этих же участках водоема зарегистрировано значительное снижение численности моллюсков: в открытом мелководье – в 13 раз, в устьевых областях притоков – в 5. Возможной причиной такового явления могла быть миграция моллюсков в 2021 г. на другие участки водоема, либо их гибель.
В зоне открытого мелководья численность хирономид в 2021 г. снизилась в 7 раз, а биомасса – в 3 раза относительно 2019 г. Высокое снижение численности хирономид может быть связано с их биологическими особенностями. Снижение биомассы хирономид в этой зоне объясняется уменьшением таковой в 3 раза у Chironomus f. l. plumosus, который достигал ~82% биомассы хирономид в оба года. Обилие олигохет в открытом мелководье снизилось в 2 раза, поскольку в 2021 г. на заиленном песке, с которого отобрана большая часть проб в мелководье, численность и биомасса олигохет уменьшилась в 2 раза относительно 2019 г.
Различия между основными характеристиками макробентоса разных плесов водохранилища в изучаемые года отчасти отражают различия в таковых на разных грунтах. В 2021 г. во всех плесах Рыбинского водохранилища, кроме Волжского, отмечено снижение численности и биомассы макрозообентоса относительно 2019 г., в основном за счет личинок хирономид (рис. 6д, 6е). Трудно судить о межгодовых различиях в обилии донной фауны Волжского плеса, поскольку в разные годы пробы отбирали с разных грунтов, что связано с методическими особенностями сбора.
В Рыбинском водохранилище в целом обилие летнего макрозообентоса в 2021 г. было ниже, чем в 2019 г. Численность и биомасса донных беспозвоночных в 2019 г. составляла 2.3 тыс. экз./м2 и 12 г/м2 соответственно. В 2021 г. численность бентоса была меньше почти на 1/3, биомасса снизилась в 2 раза. Такое снижение биомассы макрозообентоса, возможно, связано с более высокой средней температурой воздуха летом 2021 г. (20°C), чем в 2019 г. (16°C)1 и вызванными этим последствиями в водохранилище. В результате исследования была выявлена отрицательная корреляционная связь (рис. 7a) между изменением температуры придонного слоя воды и биомассой донных беспозвоночных (r = −0.30; p = 0.04), однако между изменением температуры и численностью бентоса (рис. 7б) таковой не обнаружено (r = −0.06; p = 0.70).
Рис. 7. Связь биомассы (B) и численности (N) макрозообентоса (а, б) и хищников–активных хватателей (в, г) с температурой придонного слоя воды.
В 2021 г. количественные характеристики хирономид снизились в 2 раза, моллюсков – в 3 раза, изменения в обилии олигохет были незначительны (рис. 6а, 6б). Уменьшение количественных характеристик хирономид в 2021 г. возможно связано с их более ранним вылетом на момент отбора проб. Сокращение обилия моллюсков в 2021 г. относительно 2019 г. возможно также связано с более высокими показателями температуры в 2021 г.1 Известно, что стимулирующий эффект подогрева воды может привести к усиленному развитию водорослей (Пырина и др., 1975). В 2021 г. высокая температура, малое количество осадков и штилевая погода были благоприятны для развития цианопрокариот, что определило интенсивную вегетацию водорослей в Рыбинском водохранилище (Семадени, 2023). Скорость фильтрации воды двустворчатыми моллюсками и интенсивность их питания зависят от размера и качества взвешенных частиц (Кондратьев, 1970; Алимов, 1981). При очень высоких концентрациях взвеси в воде у двустворчатых моллюсков происходит механическое забивание фильтрационного аппарата (Алимов, 1981), что может привести их к гибели. Поскольку основная часть моллюсков принадлежала именно двустворчатым, высокая температура в 2021 г. и, как следствие, “цветение” воды за счет массового развития цианобактерий могли стать причиной снижения обилия моллюсков в Рыбинском водохранилище в целом.
Известно, что содержание биогенов соответствует характеру распределения донных отложений и зависит от количества в них илистых фракций (Сорокин, 1959; Буторин и др., 1975; Законнов, 1993). Донные осадки Рыбинского водохранилища отличаются повышенной концентрацией биогенных элементов (Законнов, 1993). Основу численности макрозообентоса на всех грунтах водоема составляют детритофаги–глотатели. Наибольший процент в численности бентоса этой трофической группы зарегистрирован на сером иле (70%) и заиленном ракушечнике (71%). Возможно, причиной этого является большее количество доступного для олигохет органического вещества в таких грунтах. Серые илы, как правило, содержат в достаточном количестве нужные малощетинковым червям пищевые частицы (Поддубная, 1962), а на заиленном ракушечнике в результате присутствия живой Dreissena polymorpha на дно поступают продукты жизнедеятельности этого моллюска (агглютинаты и фекалии), которые также служат пищей для донных животных (Пряничникова, 2012). На заиленном песке и торфянистом иле доля детритофагов–глотателей была меньше (45 и 54% соответственно). Вероятно, в этих грунтах меньше доступного органического вещества. Торфянистые илы перегружены лимногумусовыми веществами, достигающими 35–50% массы илов и ~80% общего органического вещества, трудноусвояемого гидробионтами (Сорокин, 1959). Таким образом, соотношение трофических групп макрозообентоса разнотипных участков водохранилища во многом зависит от грунтов.
Долю фитодетритофагов–фильтраторов + собирателей в биомассе макробентоса разных грунтов в основном формировали крупные личинки хирономид Chironomus f. l. plumosus, входящие в состав этой трофической группы. Фитодетритофаги–фильтраторы + собиратели вносили наибольший вклад в биомассу бентоса серых и торфянистых илов (~60%), поскольку на этих грунтах Chironomus f. l. plumosus достигал 58% биомассы донных животных. На заиленном ракушечнике фитодетритофаги–фильтраторы + собиратели были в равной доле с детритофагами–глотателями в биомассе бентоса (по 47%). На этом грунте доля Chironomus f. l. plumosus составлял 43% биомассы донных животных. На заиленном песке вклад в биомассу фитодетритофагов–фильтраторов + собирателей был наименьшим среди всех грунтов (15% биомассы бентоса, поскольку на этом грунте хирономиды были представлены мелкими видами. Здесь на Chironomus f. l. plumosus приходилось лишь 2% биомассы донных макробеспозвоночных, любые другие хирономиды существенного влияния на показатели биомассы не оказывали (Поддубная, 1988).
В целом, различия в трофической структуре летнего макрозообентоса Рыбинского водохранилища между 2019 и 2021 гг. незначительны, однако вклад хищников–активных хватателей в численность и биомассу бентоса в 2021 г. уменьшился в 2 и 1.5 раза соответственно (рис. 5). Также это может быть связано с более высокой температурой придонного слоя воды в 2021 г., поскольку была выявлена отрицательная корреляционная связь между температурой и численностью (r = −0.37; p = 0.01) (рис. 7г), температурой и биомассой (r = −0.30; p = 0.04) (рис. 7в) этой трофической группы организмов.
В 2021 г. доля детритофагов–глотателей в численности и биомассе макробентоса возросла на 15 и 12% соответственно (рис. 5). Возможно, это тоже связано с температурным режимом в 2021 г., поскольку при усилении теплового воздействия роль грунтозаглатывателей (олигохет) возрастает, а хищников снижается (Яковлев, 2005).
При сравнении полученных в ходе исследования результатов с данными по макрозообентосу Рыбинского водохранилища лета 1978 г. (Баканов, Митропольский, 1982) было отмечено снижение биомассы олигохет на серых илах в ~3 раза (рис. 6б). Это может быть вызвано тем, что ранее крупные по биомассе олигохеты Tubifex newaensis входили в состав доминантного комплекса бентоса серых илов и могли составлять 30% его биомассы (Поддубная, 1988). В 1980-е годы доля T. newaensis (индикатор β-мезосапробных условий) в общей численности макрозообентоса начала снижаться, а в начале 1990-х снижение вклада вида было зарегистрировано и по биомассе. С 2010–2011 гг. среди олигохет уже доминировали полисапробы Limnodrilus hoffmeisteri и Tubifex tubifex (Щербина, Перова, 2018). Возможно, это связано с повышением трофического статуса водоема до типично эвтрофного и накоплением органического вещества в грунтах (Сигарева и др., 2020). В период наших исследований T. newaensis не входил в доминантный комплекс бентоса серых илов, при этом по уровню первичной продукции фитопланктона Рыбинское водохранилище в настоящее время относится к эвтрофным водоемам (Копылов и др., 2018), а по концентрации хлорофилла a в воде – к мезотрофным (Минеева и др., 2022). Биомасса хирономид в сравниваемые годы на разных грунтах значительно варьировала, что может быть связано с их биологическими особенностями. Возможно, в годы с низкими показателями биомассы этих беспозвоночных вылет хирономид происходил раньше отбора проб, что отражалось на их количественных показателях.
ЗАКЛЮЧЕНИЕ
Макрозообентос Рыбинского водохранилища в изучаемый период был представлен характерными для водоема видами и формами беспозвоночных. Всего обнаружено 80 НОТ донных животных, из них хирономид – 25, олигохет – 20, моллюсков – 23. Наибольшее видовое богатство донной фауны зарегистрировано на сером иле, в глубоководной зоне водоема и в Главном плесе. Во всех зонах и плесах большая часть НОТ бентоса была представлена хирономидами. Доминантный комплекс макрозообентоса водохранилища состоял из представителей хирономид и олигохет и на разнотипных участках водоема в основном зависел от преобладающих там грунтов. На всех грунтах он включал в себя олигохету Limnodrilus hoffmeisteri и в большинстве случаев хирономиду Chironomus f. l. plumosus. В среднем олигохеты и хирономиды суммарно формировали 93% численности и 86% биомассы бентоса Рыбинского водохранилища. Наибольшее обилие донных беспозвоночных зарегистрировано на серых илах и в глубоководной зоне водоема (2.5 тыс. экз./м2 и 10.9 г/м2). Детритофаги–глотатели доминировали в численности макрозообентоса на всех основных грунтах, во всех плесах, в глубоководной зоне и устьевых областях притоков водоема. Различия основных структурных характеристик летнего макрозообентоса Рыбинского водохранилища между 2019 и 2021 гг. могли быть обусловлены совокупностью различных факторов среды и особенностями биологией представителей донной фауны. Возможно, одной из возможных причин этих изменений были различия между температурными режимами в изучаемые годы. В состав доминантного комплекса серого ила и заиленного ракушечника в 2021 г. вошел теплолюбивый вид олигохет – Limnodrilus claparedeanus. В 2021 г. численность макрозообентоса Рыбинского водохранилища сократилась почти на 1/3 относительно 2019 г., биомасса – вдвое. Наибольшее снижение численности макрозообентоса зарегистрировано на грунтах, глубины расположения которых были наименьшими, а также на тех участках водоема, где, вероятно, происходил бóльший прогрев придонного слоя воды вследствие меньшей глубины – зоне открытого мелководья и устьевых областях притоков. Численность макробентоса снижалась в основном за счет вылета мелких полицикличных видов хирономид (роды Cladotanytarsus, Tanytarsus и др.).
В целом различия в трофической структуре летнего макрозообентоса Рыбинского водохранилища между 2019 и 2021 гг. незначительны. Но вклад хищников–активных хватателей в численность и биомассу бентоса в 2021 г. уменьшился в 2 и 1.5 раза соответственно. Кроме того, возрос вклад детритофагов–глотателей в численность макрозообентоса на 15% и в биомассу на 12%. При сравнении полученных в ходе исследования результатов с данными по макрозообентосу Рыбинского водохранилища, полученными летом 1978 г. (Баканов, Митропольский, 1982), выявлено снижение биомассы олигохет на серых илах в ~3 раза, что может быть связано с уходом из доминантного комплекса бентоса серых илов крупной олигохеты Tubifex newaensis.
БЛАГОДАРНОСТИ
Авторы благодарят В.В. Законнова (Институт биологии внутренних вод РАН) за консультации по грунтовому комплексу Рыбинского водохранилища, команду научно-исследовательского судна “Академик Топчиев” за помощь в сборе материала, сотрудников лаборатории экологии водных беспозвоночных Института биологии внутренних вод РАН за помощь и поддержку, а также всех, кто прямо или косвенно способствовал выполнению данной работы.
ФИНАНСИРОВАНИЕ
Работа выполнена в рамках государственного задания Министерства науки и высшего образования РФ № 121051100109-1.
1 https://rp5.ru/Архив_погоды_в_Рыбинске. Дата обращения 15.01.2023
About the authors
T. A. Lovkova
Papanin Institute for Biology of Inland Waters, Russian Academy of Sciences
Email: pryanichnikova_e@ibiw.ru
Russian Federation, Borok, Nekouzskii raion, Yaroslavl oblast
E. G. Pryanichnikova
Papanin Institute for Biology of Inland Waters, Russian Academy of Sciences
Author for correspondence.
Email: pryanichnikova_e@ibiw.ru
Russian Federation, Borok, Nekouzskii raion, Yaroslavl oblast
References
- Алимов А.Ф. 1981. Функциональная экология пресноводных двустворчатых моллюсков. Л.: Наука.
- Баканов А.И., Митропольский В.И. 1982. Количественная характеристика бентоса Рыбинского водохранилища за 1941–1978 гг. // Экологические исследования водоемов Волго-Балтийской и Северо-Двинской водных систем. М.: Наука. С. 211.
- Буторин Н.В., Гордеев Н.А., Ильина Л.К. 1975. Рыбинское водохранилище // Изв. ГосНИОРХ. Вып. 102. C. 39.
- Законнов В.В. 1993. Аккумуляция биогенных элементов в донных отложениях водохранилищ Волги // Органическое вещество донных отложений Волжских водохранилищ. СПб.: Гидрометеоиздат. С. 3.
- Законнов В.В. 2007. Осадкообразование в водохранилищах Волжского каскада: Автореф. дис. … докт. геогр. наук. Москва
- Законнов В.В., Литвинов А.С., Законнова А.В. 2015. Пространственно-временная трансформация грунтового комплекса водохранилищ Волги. Сообщение 2. Результаты мониторинга донных отложений и последствия понижения уровня Рыбинского водохранилища // Водн. хозяйство России. № 4. С. 21.
- Извекова Э.И. 1975. Питание и пищевые связи личинок массовых видов хирономид Учинского водохранилища: Автореф. дис. … канд. биол. наук. Москва
- Кикнадзе И.И., Шилова А.И., Керкис И.Е. и др. 1991. Кариотипы и морфология личинок трибы Chironomini: Атлас. Новосибирск: Наука.
- Кондратьев Г.П. 1970. Фильтрационная и минерализационная работы двустворчатых моллюсков Волгоградского водохранилища: Автореф. дис. … канд. биол. наук. Саратов.
- Копылов А.И., Масленникова Т.С., Косолапов Д.Б. 2018. Первичная продукция фитопланктона // Структура и функционирование экосистемы Рыбинского водохранилища в начале 21 века. М.: РАН. С. 167.
- Методика изучения биогеоценозов внутренних водоемов. 1975. М.: Наука.
- Минеева Н.М., Семадени И.В., Соловьева В.В., Макарова О.С. 2022. Содержание хлорофилла и современное трофическое состояние водохранилищ р. Волга (2019, 2020 гг.) // Биология внутр. вод. № 4. С. 367. https://doi.org/10.31857/S0320965222040210
- Монаков А.В. 1998. Питание пресноводных беспозвоночных. М.: Ин-т проблем эволюции и экологии РАН.
- Мороз Т.Г. 1983. Биологические и экологические особенности олигохет рода Limnodrilus // Водные малощетинковые черви. Тбилиси: Мецниерба. С. 71.
- Определитель пресноводных беспозвоночных Европейской части СССР: планктон и бентос. 1997. Л.: Гидрометеоиздат.
- Определитель пресноводных беспозвоночных России и сопредельных территорий. 1995. Т. 2. СПб.: Наука.
- Определитель пресноводных беспозвоночных России и сопредельных территорий. 2000. Т. 4. СПб.: Наука.
- Определитель пресноводных беспозвоночных России и сопредельных территорий. 2004. Т. 6. СПб.: Наука.
- Панкратова В.Я. 1977. Личинки и куколки комаров подсемейств Podonominae и Tanypodinae фауны СССР (Diptera, Chironomidae = Tendipedidae). Л.: Наука.
- Панкратова В.Я. 1983. Личинки и куколки комаров подсемейства Chironominae фауны СССР (Diptera, Chironomidae = Tendipedidae). Л.: Наука.
- Перова С.Н. 2012. Таксономический состав и обилие макрозообентоса Рыбинского водохранилища в начале 21 века // Биология внутр. вод. № 2. С. 1.
- Песенко Ю.А. 1982. Принципы и методы количественного анализа в фаунистических исследованиях. М.: Наука.
- Поддубная Т.Л. 1962. Исследования по биологии массовых видов тубифицид (Limnodrilus newaensis Mich. и Limnodrilus hoffmeisteri Clap.) Рыбинского водохранилища: Автореф. дис. … канд. биол. наук. М.: Зоол. ин-т.
- Поддубная Т.Л. 1988. Многолетняя динамика структуры и продуктивность донных сообществ Рыбинского водохранилища // Структура и функционирование пресноводных экосистем. Л.: Наука. С. 112.
- Пряничникова Е.Г. 2012. Структурно-функциональные характеристики дрейссенид Рыбинского водохранилища: Дис. … канд. биол. наук. Борок: ИБВВ.
- Пырина И.Л., Девяткин В.Г., Елизарова В.А. 1975. Экспериментальное изучение воздействия подогрева на развитие и фотосинтез фитопланктона // Антропогенные факторы в жизни водоемов. Л.: Наука. С. 67.
- Семадени И.В. 2023. Содержание хлорофилла и фотосинтетическая активность фитопланктона Рыбинского водохранилища в годы с разными гидроклиматическими условиями: Дис. … канд. биол. наук. Борок: ИБВВ.
- Сигарева Л.Е., Перова С.Н., Тимофеева Н.А. 2020. Многолетняя динамика макрозообентоса и растительных пигментов в донных отложениях Рыбинского водохранилища // Изв. РАН. Серия биол. № 1. С. 77. https://doi.org/10.31857/S0002332920010130
- Сорокин Ю.И. 1959. Биомасса бактерий и химический состав грунтов Рыбинского водохранилища // Бюл. Ин-та биологии водохранилищ АН СССР. № 4. С. 3.
- Структура и функционирование экосистемы Рыбинского водохранилища в начале 21 века. 2018. М.: РАН.
- Унгуряну Т.Н., Гржибовский А.М. 2011. Краткие рекомендации по описанию, статистическому анализу и представлению данных в научных публикациях // Экология человека. С. 55.
- Фортунатов М.А. 1974. Физико-географический очерк Рыбинского водохранилища // Природные ресурсы Молого-Шекснинской низины. Вологда: Дарвинский заповедник. Ч. 3.
- Цветков А.И., Крылов А.В., Болотов С.Э., Отюкова Н.Г. 2015. Физико-химическая характеристика воды выделенных зон устьевой области притока // Гидроэкология устьевых областей притоков равнинного водохранилища. Ярославль: Филигрань. С. 56.
- Шилова А.И. 1976. Хирономиды Рыбинского водохранилища. Л.: Наука.
- Щербина Г.Х., Перова С.Н. 2018. Зообентос глубоководной зоны водохранилища // Структура и функционирование экосистемы Рыбинского водохранилища в начале 21 века. М.: РАН. С. 242.
- Щербина Г.Х. 1993. Годовая динамика макрозообентоса открытого мелководья Волжского плеса Рыбинского водохранилища // Зооценозы водоемов бассейна Верхней Волги в условиях антропогенного воздействия. СПб.: Гидрометеоиздат. С. 108.
- Эдельштейн К.К. 1998. Водохранилища России: экологические проблемы, пути их решения. М.: ГЕОС.
- Яковлев В.А. 2005. Пресноводный зообентос Северной Фенноскандии: разнообразие, структура и антропогенная динамика. Апатиты: Изд-во Кольского науч. центра РАН. Ч. 2.
- Timm T. 2009. A guide to the freshwater oligochaeta and polychaeta of Northern and Central Europe. V. 66. Dinkelscherben: Lauterbornia.
- Wiederholm T. 1986. Chironomidae of the Holarctic region. Keys and diagnoses. Part 1. Larvae. Ent. Scand. Suppl. № 19. Őstergőtland, Мotala. P. 7.
Supplementary files









