Human Blood Serum Antagonizes Effects of EGFR/HER2-Targeted Drug Lapatinib on Squamous Carcinoma SK-BR-3 Cell Growth and Gene Expression
- Authors: Shaban N.A.1,2,3, Raevskiy M.M.4, Zakharova G.S.4, Shipunova V.O.1,2, Deyev S.M.2,5, Suntsova M.V.3,4, Sorokin M.I.1,4,6, Buzdin A.A.1,2,3,4, Kamashev D.E.2,3,4
- 
							Affiliations: 
							- Moscow Institute of Physics and Technology
- Shemyakin–Ovchinnikov Institute of Bioorganic Chemistry
- The National Medical Research Center for Endocrinology
- Sechenov First Moscow State Medical University
- Kazan Federal University
- European Organization for Research and Treatment of Cancer (EORTC)
 
- Issue: Vol 89, No 3 (2024)
- Pages: 447-468
- Section: Articles
- URL: https://journal-vniispk.ru/0320-9725/article/view/263727
- DOI: https://doi.org/10.31857/S0320972524030068
- EDN: https://elibrary.ru/WKFKVA
- ID: 263727
Cite item
Full Text
Abstract
Lapatinib is a targeted therapeutic inhibiting HER2 and EGFR proteins. It is used for the therapy of HER2-positive breast cancer, although not all the patients respond on it. Using human blood serum samples from 14 female donors (separately taken or combined), we found that human blood serum dramatically abolishes lapatinib inhibition of growth of human breast squamous carcinoma SK-BR-3 cell line. This antagonism between lapatinib and human serum was connected with cancel of drug induced G1/S cell cycle transition arrest. RNA sequencing revealed 308 differentially expressed genes in the presence of lapatinib. Remarkably, when combined with lapatinib, human blood serum showed the capacity of restoring both the rate of cell growth, and the expression of 96.1% of genes that were altered by lapatinib treatment alone. EGF co-administration with lapatinib also restores the cell growth and cancels alteration of 95.8% of genes specific to lapatinib treatment of SK-BR-3 cells. Differential gene expression analysis also showed that in the presence of human serum or EGF, lapatinib was unable to inhibit Toll Like Receptor signaling pathway and alter expression of genes linked with Gene Ontology term of Focal adhesion.
Full Text
Принятые сокращения: ДЭГ – дифференциально экспрессируемые гены; РМЖ – рак молочной железы; EGF – эпидермальный фактор роста (Epidermal Growth Factor); EGFR – рецептор эпидермального фактора роста (Epidermal Growth Factor Receptor); FBS – эмбриональная телячья сыворотка; HER – человеческий рецептор эпидермального фактора роста (Human Epidermal growth factor Receptor); PAL – уровень активации пути (Pathway Activation Level).
ВВЕДЕНИЕ
Семейство рецепторов ERBB/HER (HER – человеческий рецептор эпидермального фактора роста, Human Epidermal growth factor Receptor) включает в себя четыре структурно родственные тирозинкиназы. У человека они называются HER1–4: рецептор эпидермального фактора роста (EGFR), HER2 (neu), ErbB3 и ErbB4 [1–5]. Несколько факторов роста, названные лигандами рецепторов HER, обладают способностью связывать эти рецепторы и инициировать их активацию [6–8]. В своей апо-форме HER-рецепторы существуют в равновесии между мономерным и предимеризованным состояниями, находясь в конформации, не допускающей образования активных димеров. После связывания лиганда с внеклеточными доменами (эктодоменами) EGFR, HER3 или HER4 голорецепторы гомо- или гетеродимеризуются и становятся функционально активными за счёт трансфосфорилирования специфических остатков тирозина [9, 10]. Фосфорилированные рецепторы являются сайтами связывания для ряда белков, которые активируют нижележащие сигнальные пути, регулируют рост, выживание и дифференцировку клеток [11–13]. Среди HER-рецепторов HER2 является рецептором, не имеющим известного лиганда. Внеклеточный домен HER2 всегда находится в открытой конформации и готов к димеризации. Поэтому HER2 является предпочтительным гетеродимерным партнёром для других активированных HER-рецепторов [14], а также легко образует гомодимеры [15].
Сверхэкспрессия и нарушение внутриклеточной сигнализации через рецепторы семейства HER играет ключевую роль в канцерогенезе, а сверхэкспрессия HER2 служит прогностическим биомаркером при многих видах рака [5]. 15–20% всех случаев рака молочной железы (РМЖ) характеризуется сверхэкспрессией HER2 (HER2+ РМЖ) [16]. В настоящее время разработан терапевтический подход, направленный на блокирование активности рецептора HER2. Для терапии HER2+ РМЖ в качестве стандарта лечения одобрено гуманизированное моноклональное антитело трастузумаб, которое воздействует на внеклеточные домены HER2. Кроме того, клиническую эффективность в отношении HER2+ РМЖ доказал лапатиниб – обратимый синтетический ингибитор тирозинкиназы, предотвращающий фосфорилирование и активацию как HER2, так и EGFR [17–19, 20].
Однако не все пациенты с опухолями, экспрессирующими HER2 на высоком уровне, отвечают на HER2-таргетную терапию [21–23], и часто в опухолях развивается резистентность к такому лечению [24, 25], обусловленная как исходно существующими, так и приобретёнными факторами [26]. Так, например, только у 39% больных HER2+ РМЖ наблюдался ответ опухоли на лапатиниб [27].
В настоящее время продолжаются работы по выявлению и валидации эффективных и клинически применимых факторов, связанных с лекарственной устойчивостью, с целью дальнейшего повышения эффективности лечения. Внутриклеточные факторы характерны для самой опухоли и определяются мутациями или аномальной экспрессией генов. Некоторые больные РМЖ с мутациями HER2 (L755S, V842I, K753I или D769Y) не получают пользы от трастузумаба [28]. В литературе обсуждается несколько групп предполагаемых факторов, влияющих на эффективность терапии, среди них экспрессия генов в опухоли, которая коррелирует с ответом на терапию (биомаркеров) [29], и данные об активности внутриклеточных молекулярных путей в опухолевых тканях, полученные на основе транскриптомного профилирования [30–32].
Внеклеточные факторы лекарственной устойчивости связаны с межклеточной коммуникацией или факторами, присутствующими в организме пациента. Для выявления таких факторов было проведено сравнение протеомных спектров образцов сыворотки крови пациентов, отвечающих и не отвечающих на терапию [33, 34]. По некоторым данным, HER и его лиганды (эпидермальный фактор роста (EGF), амфирегулин, HB-EGF, TGF-α) могут быть использованы в качестве серологических биомаркеров для прогноза и предсказания ответа на HER-таргетную терапию при раке лёгкого [35], яичников [36] и колоректальном раке [37]. В исследованиях на клеточных культурах было продемонстрировано значительное влияние лигандов HER, препятствующее действию HER-таргетных препаратов (EGF, нейрегулин (NRG)) на клетки [38–41]. Например, ингибитор HER2 лапатиниб парадоксальным образом способен стимулировать пролиферативное поведение HER2+ клеток РМЖ в присутствии лиганда рецептора HER3 – NRG [39]. Таким образом, на опухолевый ответ может влиять целый ряд внеклеточных факторов, присутствующих в периферической крови человека. Концентрация эндогенного EGF и других лигандов HER может варьировать в организме пациента и, следовательно, влиять на эффективность лечения за счёт потенциального спасения раковых клеток при проведении HER-таргетной терапии [42]. Тем не менее взаимодействие между сывороткой крови человека и таргетными препаратами при их сочетанном действии на клетки опухоли ещё недостаточно изучено.
Недавно мы обнаружили, что периферическая кровь человека модулирует активность HER-специфических препаратов цетуксимаба, эрлотиниба и трастузумаба [41, 42]. В этой работе мы показываем, что сыворотка крови человека подавляет ингибирующее влияние лапатиниба на скорость роста SK-BR-3, HER2+ клеток аденокарциномы молочной железы человека. Используя образцы сыворотки крови 14 женщин-доноров (протестированные по отдельности или объединённые), мы обнаружили, что сыворотка крови человека резко уменьшает ингибирующее действие лапатиниба на рост клеточной линии плоскоклеточной карциномы молочной железы SK-BR-3. Этот антагонизм между лапатинибом и сывороткой крови человека был связан с отменой лапатиниб-индуцированной остановки клеток в фазе G0/G1 клеточного цикла.
Секвенирование РНК выявило 308 дифференциально экспрессируемых генов (ДЭГ) в присутствии лапатиниба. Примечательно, что в сочетании с лапатинибом сыворотка крови человека оказалась способной восстанавливать скорость роста клеток, а также экспрессию 96,1% тех генов, для которых она изменялась при воздействии лапатиниба.
Совместное воздействие лапатиниба и EGF также восстанавливает рост клеток и отменяет изменение экспрессии 95,8% тех генов, для которых она изменялась при воздействии лапатиниба. Дифференциальный анализ экспрессии генов также показал, что в присутствии сыворотки крови человека или EGF лапатиниб неспособен ингибировать сигнальный путь Toll-подобного рецептора и изменять экспрессию генов, связанных с термином Focal adhesion из базы данных Gene Ontology.
МАТЕРИАЛЫ И МЕТОДЫ
Культивирование клеток. Клеточная линия плоскоклеточной карциномы SK-BR-3 (ATCC HTB-30) была получена из коллекции Института цитологии (Санкт-Петербург, Россия). Клетки SK-BR-3 культивировали при 37 °С и 5% CO2 в среде RPMI-1640 («ПанЭко», Россия), дополненной 10%-ной эмбриональной телячьей сывороткой (FBS) («Biosera», Франция) и 2 мМ L-глутамина, 4,5 г/л глюкозы и 1%-ной смесью пенициллина со стрептомицином («ПанЭко»).
Измерение скорости роста клеток. Клетки высевали на 24-луночные культуральные планшеты, ~5500 клеток на лунку. Планшеты с равным количеством высеянных клеток инкубировали в течение 24 ч перед обработкой препаратом – EGF, лапатинибом или сывороткой крови человека. В день добавления препаратов проводился контрольный подсчёт для определения фонового значения числа клеток. Через 7 дней после добавления препаратов среду удаляли, обработанные клетки промывали и трипсинизировали в течение 10 мин. После ресуспендирования клетки подсчитывали с помощью камеры для подсчёта клеток Neubauer Improved. Рост клеток (%) рассчитывали как отношение числа клеток в лунке, содержащей препарат, к числу клеток в контрольной лунке, содержащей только стандартную среду роста (одна контрольная лунка на пять лунок, содержащих препарат). Все эксперименты проводились не менее чем в трёх независимых повторностях.
Анализ клеточного цикла. Клетки высевали в шестилуночные культуральные планшеты с плотностью 50 000 клеток на лунку. Клетки инкубировали в течение 16 ч, после чего добавляли препараты. Через 3–4 дня клетки отделяли от подложки трипсином. Затем клетки дважды промывали PBS и центрифугировали при 100 g. Клетки фиксировали этанолом (70%) при −20 °С в течение 30 мин. Клетки центрифугировали при 3800 об./мин (1000 g) в течение 10 мин; промывали PBS и ресуспендировали в 0,2 мл PBS, содержащем 10 мкг/мл РНКазы A II и 2 мкг/мл пропидия йодида. Клетки инкубировали при комнатной температуре в течение 30 мин в тёмном месте. Образцы анализировали методом проточной цитометрии (FACS BD Accuri C6 Plus). Все эксперименты проводились не менее чем в трёх независимых повторностях.
Обработка клеток для РНК-секвенирования. Клеточную суспензию разводили до 27 000 клеток в мл и аликвоты клеточной суспензии объёмом 5 мл вносили в культуральные флаконы площадью 25 см2. Для измерения скорости роста из той же суспензии клеток в лунки 24-луночных планшетов вносили аликвоты по 0,5 мл на лунку. Клетки инкубировали в течение 16 ч, после чего добавляли препараты. Например: лапатиниб, свежеразведённый раствор в среде роста без FBS на флакон до конечной концентрации 200 нМ; EGF, свежеразведённый раствор в среде роста на флакон до конечной концентрации 2 нг/мл; 300 мкл сыворотки крови человека на флакон до конечной концентрации 5,5%. Клетки обрабатывали препаратами во флаконах за 48 ч перед сбором образцов для секвенирования РНК и за 7 дней до подсчёта клеток. Для секвенирования РНК клетки отделяли трипсином, промывали PBS, а образцы клеток до анализа хранили при −70 °С в растворе RNAlater. Сыворотка человека, использованная для профилирования РНК, представляла собой пул сывороток, полученных от десяти доноров (sm1, sd12, sd18–23, sd26, sd27) и смешанных в равных объёмных концентрациях.
EGFR-Таргетные препараты, EGF, образцы сыворотки крови человека. Лапатиниб (сухой порошок) был приобретён у компании «Sigma-Aldrich» (США) и хранился при −20 °С в виде 10 мМ раствора в ДМСО или в сухом виде. rhEGF (сухой порошок) был приобретён в компании «SCI store» (Москва, Россия) и хранился при −20 °С. Образцы периферической крови от неродственных здоровых доноров 23–64 лет собирали в две пробирки Vacuette объёмом 8 мл, содержащие прокоагулянт и гель («Greiner», Австрия), сыворотку готовили в течение 3–12 ч после взятия крови: пробирки центрифугировали при 2500 об./мин в течение 15 мин, сыворотки аликвотировали и хранили при −75 °С. Для всех исследуемых биоматериалов человека от соответствующих доноров было получено информированное письменное согласие на участие в исследовании и передачу результатов в виде научного отчёта. Исследование проводилось в соответствии с Хельсинкской декларацией; процедура получения согласия и дизайн исследования были одобрены этическим комитетом Медицинского центра «Витамед», Москва; дата одобрения: 6 октября 2021 г.
Подготовка библиотек и РНК-секвенирование. Библиотеки РНК были созданы и секвенированы в соответствии с методом Suntsova et al. [43]. РНК выделяли с помощью набора RNeasy Micro Kit («Qiagen», Нидерланды). Концентрацию РНК определяли с помощью набора Qubit RNA Assay Kit («Thermo Fisher Scientific», США), измеряя флуоресценцию с помощью флуориметра Qubit 4. Для измерения числа целостности РНК (RIN, RNA Integrity Number) использовали биоанализатор Tapestation 4150 с набором ScreenTapes and Reagents («Agilent», США). Удаление рибосомальной РНК проводили с помощью набора KAPA RNA HyperPrep Kit с RiboErase (HMR) («Roche», Швейцария). Уникальные праймеры KAPA с двойной индексацией («Roche») использовались для мультиплексирования образцов в одном цикле секвенирования. Концентрацию библиотек измеряли с помощью наборов Qubit 4 и Qubit dsDNA HS Assay («Thermo Fisher Scientific»). Распределение длины фрагментов определяли с помощью прибора Tapestation 4150 с набором D1000 ScreenTapes and Reagents («Agilent»). Секвенирование РНК проводили в лаборатории клинической и геномной биоинформатики Первого Московского государственного медицинского университета имени И.М. Сеченова (Сеченовский университет), Москва, Россия, на оборудовании Illumina NextSeq 550 для одноконцевого секвенирования, длина считывания 75 п.н., приблизительно 20 млн прочтений на образец. Проверка качества данных проводилась с помощью программы Illumina SAV. Демультиплексирование проводили с помощью программного обеспечения Illumina Bcl2fastq2 v. 2.17.
Обработка данных РНК-секвенирования. Первоначальная обработка профилей экспрессии генов проводилась в соответствии с методом Suntsova et al. [43]. Дифференциальный анализ экспрессии проводили с помощью программы DESeq2 [44]. Гены, которые считались дифференциально экспрессированными, должны были преодолеть пороговое значение коэффициента ложного обнаружения Бенджамини–Хохберга (FDR) с поправ- кой на p-значения < 0,05. Графики вулканов визуализировали с помощью пакета R EnhancedVolcano (v. 1.16.0).
Анализ GO-обогащения проводили с помощью пакетов R clusterProfile (v.4.2.1) и org.Hs.eg.db (v.3.8.2). Для фильтрации путей и GO-терминов мы использовали p-значения < 0,05 с поправкой на FDR в качестве отсекающего значения. Анализ по методу главных компонент (PCA) и визуализацию проводили для log10-трансформированных количеств всех генов с помощью программ pca2d R (v.3.6.2) и prcomp. Анализ генно-регуляторных сетей проводили, как описано в работе Jung et al. [45]. Уровни активации путей (Pathway activation levels, PAL) рассчитывали и визуализировали с помощью биоинформационной платформы Oncobox [46]. Молекулярная функция компонентов сигнальных путей была алгоритмически аннотирована в соответствии с методом Sorokin et al. [47]. Проверка значимости пересечений проводилась согласно работе Raevskiy et al. [48]. Сигнальные пути визуализировали с помощью программного обеспечения Oncobox [49].
Статистический анализ. Статистический анализ проводили с помощью программы GraphPad PRISM 6.0 (GraphPad Software Inc.), статистически значимыми считали значения p < 0,05. Данные представлены как среднее ± SD не менее чем трёх экспериментов, проведённых в разные дни.
Для расчёта IC50 – среднеэффективной дозы, которая ингибирует исследуемую систему на 50% – мы использовали следующее уравнение:
,
где D – концентрация препарата; y – количество клеток (% по отношению к уровню без препарата); m – коэффициент, характеризующий форму зависимости «доза-эффект».
Значимость PAL определяли с помощью метода анализа путей Oncobox [49] для 1611 молекулярных путей, содержащих 10 и более генных продуктов, извлечённых из публичных баз данных [47] с использованием оригинального программного обеспечения [46]. Для расчётов PAL профиль экспрессии каждого образца был нормализован по среднегеометрическим уровням экспрессии генов для всех образцов в исследуемом наборе данных.
Для фильтрации и отбора ДЭГ, путей и GO-терминов мы использовали р-значения < 0,05 с поправкой на FDR Бенджамини–Хохберга.
Чтобы проверить, является ли значимым заданное количество дифференциальных генов или путей, являющихся общими для двух из трёх пересекающихся наборов данных, было проведено 1000 случайных пересечений в соответствии с методом Raevskiy et al. [48]. В каждом случае брались две/три случайные выборки из двух/трёх соответствующих наборов генов из соответствующих наборов данных. Затем эти случайные выборки пересекались на каждой итерации, и было получено 1000 случайных общих генов. p-Значение значимости пересечения вычислялось как доля случайных чисел, равных или превышающих экспериментально наблюдаемое количество общих генов.
РЕЗУЛЬТАТЫ ИССЛЕДОВАНИЙ
Для изучения взаимодействия сыворотки крови человека с таргетным препаратом лапатинибом и оценки различия во влиянии сыворотки между донорами мы измерили скорость роста HER2+ клеток SK-BR-3 в присутствии сыворотки крови человека, взятой от 14 здоровых доноров. Для изучения молекулярных механизмов мы оценили распределение по фазам клеточного цикла и профилировали экспрессию генов в клетках SK-BR-3 под воздействием лапатиниба, EGF и сыворотки крови человека.
Сыворотка крови человека снижает влияние лапатиниба на рост клеток SK-BR-3. На эффективность терапевтических препаратов в подавлении роста опухоли могут влиять различные молекулярные факторы, присутствующие в организме пациента. В этой работе мы измерили влияние индивидуальных образцов сыворотки периферической крови человека на скорость роста клеток, полученных из аденокарциномы молочной железы, SK-BR-3, в присутствии лапатиниба, ингибитора тирозинкиназ, который предотвращает фосфорилирование и активацию HER2 и EGFR [19].
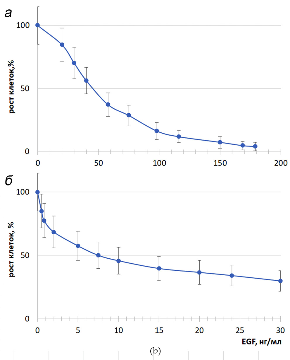
В соответствии с литературными данными, в наших экспериментах лапатиниб эффективно ингибировал рост клеток SK-BR-3 в стандартной среде, содержащей 9% FBS (рис. 1, а); концентрация лапатиниба, необходимая для 50%-ного ингибирования скорости роста (IC50), составляла ~45 нМ.
Рис. 1. Рост клеток SK-BR-3 после 7 дней инкубации в среде, содержащей FBS (9%) и: а – лапатиниб (в нМ); б – EGF (в нг/мл). Кривые показывают среднее количество клеток, рассчитанное по трём повторностям и нормализованное к условиям без добавления препаратов
SK-BR-3 – хорошо известная клеточная линия РМЖ со сверхэкспрессией HER2, использовавшаяся в многочисленных исследованиях активности HER2-таргетных препаратов in vitro, в том числе лапатиниба [50, 51]. Известно, что клетки SK-BR-3 сверхэкспрессируют HER2 (примерно 1–2 × 106 молекул белка HER2 на клетку против 0,4 × 105 и 0,2 × 105 в HER2-негативных клеточных линиях MDA-MB-231 [52] и A431 [53] соответственно). Клетки SK-BR-3 высокочувствительны к HER2-таргетным препаратам [54, 55], IC50 лапатиниба в наших тестах составляет ~45 нМ. В свою очередь, значения IC50 лапатиниба для клеток MDA-MB-231 и A431 на два-три порядка выше: 27 мкМ и 10 мкМ соответственно [56, 57].
Мы использовали образцы сыворотки периферической крови человека, полученные от 14 здоровых женщин-доноров. Сначала мы изучили влияние сыворотки крови доноров на скорость роста клеток SK-BR-3 в отсутствии препаратов (рис. 2). Для всех исследуемых образцов исходная среда роста содержала инактивированную нагреванием (56 °С, 30 мин) FBS. Поэтому мы оценивали скорость роста клеток в среде, содержащей 5% FBS и дополненной 4% сыворотки отдельных женщин-доноров или 4% дополнительной FBS в качестве контроля. Для реализации этого плана исследования мы сначала измерили скорость роста клеток SK-BR-3 при различных концентрациях FBS (от 5 до 22%) в среде роста. Мы обнаружили, что скорость роста клеток мало зависит от концентрации FBS в этом диапазоне концентраций (рис. S1 Приложения 1). Таким образом, в одном и том же эксперименте можно сравнить рост клеток в диапазоне концентраций FBS от 5 до 13%.
Рис. 2. Скорость роста клеток SK-BR-3 в среде, содержащей 5% FBS и 4% сыворотки крови человека, полученной от различных доноров. Скорость роста нормализована по отношению к среде, содержащей только FBS (9% FBS; столбец «FBS»)
Мы обнаружили, что в присутствии 4% сыворотки крови человека скорость роста SK-BR-3 существенно не отличалась от контроля, содержащего только FBS, и составляла в среднем ~97% от контрольного уровня. Скорость роста варьирует от 83 до 116% по сравнению с контролем, содержащим только FBS (рис. 2).
Затем мы определили влияние одновременного добавления сыворотки крови человека и лапатиниба. Мы обнаружили, что добавление каждого из 14 протестированных образцов сыворотки крови человека статистически значимо снижало ингибирование роста клеток лапатинибом (рис. 3). При концентрации 75 нМ лапатиниб в среде, содержащей только FBS, вызывал сильное снижение скорости роста до ~29% от уровня без препарата. Напротив, в среде, дополненной 4% сыворотки крови человека и 5% FBS, добавление лапатиниба вызывало очень слабое снижение скорости роста клеток, до 74–84% от уровня без препарата, что примерно в 2,7 раза превышает скорость роста клеток по сравнению с таковой в среде, содержащей только лапатиниб. Эти эффекты были ещё более выражены при концентрации лапатиниба 150 нМ: средняя скорость роста составляла ~7,5% при добавлении только лапатиниба и ~44% (примерно в 6 раз больше) при добавлении лапатиниба и сыворотки крови человека.
Рис. 3. Скорость роста клеток SK-BR-3 в присутствии лапатиниба в концентрации 75 нМ (а) или 150 нМ (б) и сыворотки крови человека. Среда роста содержала 5% FBS и 4% сыворотки крови человека или 9% FBS (столбцы «FBS»). Столбцы представляют среднюю скорость роста клеток для каждого донорского образца, рассчитанную из трёх повторностей, нормализованную к условиям без лапатиниба и сыворотки крови человека («no drug»). Для всех образцов донорской сыворотки человека различия между образцами «FBS + лапатиниб» и «сыворотка крови человека + лапатиниб» были статистически значимыми (p < 0,05)
Таким образом, мы обнаружили, что в наших экспериментальных условиях сыворотка крови человека препятствует ингибированию роста клеток лапатинибом. В присутствии 4% сыворотки крови человека IC50 лапатиниба увеличивалась в ~3 раза по сравнению со значением в присутствии только FBS (рис. 4). Параметр индекса комбинации (combination index) для лапатиниба и сыворотки крови человека рассчитывали согласно методу Chou et al. [58], где взаимодействие считается антагонистическим, если индекс комбинации превышает 1,5. В наших экспериментах он варьировал от 1,9 до 3,3 во всех исследованных образцах донорской крови, что свидетельствует о сильном антагонизме между лапатинибом и сывороткой крови человека в экспериментах по исследованию скорости роста клеток SK-BR-3.
Рис. 4. Скорость роста клеток SK-BR-3 с возрастающими концентрациями лапатиниба (0–220 нМ) в среде роста, содержащей 5% FBS и 4% сыворотки человека из четырёх образцов крови (sm1, sd12, sd19 и sd27) или 9% FBS (FBS). Кривые зависимости скорости роста клеток от концентрации препарата для каждого донорского образца рассчитывали по трём повторностям, нормированным по отношению к условиям без лапатиниба и без сыворотки крови человека
Влияние EGF на рост клеток SK-BR-3 и лекарственная устойчивость к лапатинибу. Лиганды EGFR могут положительно влиять на жизнеспособность HER-положительных клеток, обработанных HER-таргетными препаратами. Например, EGF и другой лиганд рецепторов HER, NRG1, могут препятствовать действию лапатиниба и цетуксимаба на культивируемые клетки [38–41]. Поэтому в данной работе мы определили влияние рекомбинантного человеческого EGF на рост клеток SK-BR-3 в присутствии лапатиниба.
Сначала мы измерили влияние EGF на рост SK-BR-3 в диапазоне концентраций от 0,5 до 30 нг/мл (рис. 1, б). Мы обнаружили, что EGF может снизить скорость роста клеток примерно до трети от контрольного уровня с IC50 ~7,6 нг/мл. Отметим, что эта концентрация значительно выше физиологической концентрации EGF в крови человека (~0,3–1,7 нг/мл [41, 59]).
Ранее мы показали, что одновременная обработка клеток A431 ингибиторами EGFR и EGF восстанавливает их рост, а EGF уменьшает ингибирующее действие трастузумаба на клетки BT474 [42]. Это явление может быть связано со взаимным влиянием механизмов ингибирования и активации EGFR [60, 61]. В данном исследовании мы оценили влияние различных концентраций лапатиниба (от 0 до 100 нМ) на скорость роста клеток SK-BR-3 при фиксированных концентрациях EGF (0, 82, 5 и 20 нг/мл; рис. 5). Мы обнаружили, что даже при концентрации лапатиниба 100 нМ скорость роста клеток восстанавливалась практически до контрольного уровня (без препаратов), когда EGF присутствовал в концентрациях 0,82–20 нг/мл, тогда как IC50 лапатиниба в условиях добавления только этого препарата составляла почти 45 нМ.
Рис. 5. Скорость роста клеток SK-BR-3 при добавлении лапатиниба в присутствии EGF в указанных концентрациях. Кривые зависимости скорости роста клеток от концентрации препарата рассчитывали с использованием не менее трёх биологических повторностей каждого эксперимента, нормированных по отношению к условиям без лапатиниба и EGF (точка кривой «без EGF», при 0 нМ лапатиниба)
Индекс комбинации (combination index), рассчитанный в соответствии с методом Chou et al. [58], составил 7,1, что указывает на очень сильное антагонистическое взаимодействие между EGF и лапатинибом. Таким образом, наши данные подтвердили, что хотя лапатиниб и EGF по отдельности могут ингибировать рост клеток SK-BR-3, их совместное присутствие может уравновешивать действие друг друга и, наоборот, способствовать пролиферации.
Индуцированная лапатинибом остановка клеточного цикла в фазе G0/G1 в клетках SK-BR-3 снижается в присутствии сыворотки крови человека и прекращается в присутствии EGF. Лапатиниб, как и другие препараты, направленные на EGFR и/или HER2, ингибирует прогрессию клеточного цикла, вызывая остановку фазового перехода G0/G1. Чтобы изучить влияние лапатиниба на распределение фаз клеточного цикла, мы использовали сортировку флуоресцентно-активированных клеток (FACS) для измерения доли клеток SK-BR-3 в различных фазах клеточного цикла. Мы проводили эти эксперименты в среде, содержащей FBS и EGF, и образцы сыворотки крови человека. В клетках, обработанных одним только лапатинибом в концентрации 200 нМ, мы наблюдали резкое повышение доли клеток в фазе G0/G1 на ~20% (79% против 59%) по сравнению с уровнем без препарата (рис. 6). Обработка клеток такой концентрацией лапатиниба также привела к ингибированию их роста до 3% (рис. 1, а). В свою очередь, доля клеток в фазе S значительно сократилась и составила примерно 1,7% против 11% в условиях отсутствия препарата (рис. 6).
Рис. 6. Распределение клеток SK-BR-3 по фазам клеточного цикла после обработки лапатинибом (200 нМ) в присутствии EGF (3 нг/мл) или 4% сыворотки крови человека по сравнению с необработанными клетками («FBS» – чёрный столбец). Показана доля клеток в фазе G0/G1 и в фазе S. Звёздочками отмечены статистически значимые различия между образцами: * p < 0,05; ** p < 0,01; *** p < 0,001. Анализ распределения клеток по стадиям клеточного цикла проводили методом FACS после окрашивания клеток пропидий йодидом. Каждый столбик представляет собой среднее ± стандартное отклонение в трёх независимых экспериментах
Когда EGF добавляли одновременно с лапатинибом, скорость роста клеток в значительной степени восстанавливалась и составляла около 70% от контрольного показателя без препарата. Анализ клеточного цикла FACS показал, что это сопровождалось значительным сдвигом доли клеток в фазе G0/G1 к уровню без препарата. Одновременное присутствие EGF и лапатиниба приводило к аналогичному эффекту и для доли клеток в S-фазе, близкой к контролю без препарата. Добавление только EGF к клеткам не изменяло долю клеток в G0/G1- и S-фазах клеточного цикла (рис. 6).
Мы измерили распределение клеток SK-BR-3 по фазам клеточного цикла в среде, дополненной сыворотками пяти доноров. Во всех пяти исследуемых образцах доля клеток в G0/G1- и S-фазе не претерпела значительных изменений по сравнению с контролем, содержащим только FBS в среде роста (табл. S1 Приложения 1, рис. 6). В присутствии сыворотки крови человека и лапатиниба (среднее значение для четырёх доноров) скорость роста клеток SK-BR-3 составляла ~50% от уровня без препарата вместо всего лишь 2%, когда к среде был добавлен только лапатиниб (рис. 4). Это хорошо согласуется с нашими данными о том, что лапатиниб совместно с сывороткой крови человека вызывает сдвиг доли клеток в фазе G0/G1 на 10%, в то время как обработка только лапатинибом приводит к сдвигу примерно на 20% от уровня без препарата (рис. 6). Насколько нам известно, о влиянии образцов сыворотки крови человека на ингибирование роста клеток лапатинибом на уровне анализа клеточного цикла ранее не сообщалось. Эти результаты могут дать ключ к пониманию механизма взаимодействия EGFR/HER2-таргетных препаратов с сывороткой крови человека.
Изменения транскриптомных профилей, связанные с взаимодействием сыворотки крови человека, EGF и лапатиниба в клетках SK-BR-3. Для оценки молекулярных механизмов, лежащих в основе опосредованного сывороткой человека и/или EGF предотвращения остановки клеточного роста SK-BR-3, обработанных лапатинибом, мы провели транскриптомный анализ методом секвенирования РНК. Использовали смешанный образец сыворотки крови человека, полученный путём объединения сывороток десяти доноров. Для каждого функционального состояния эксперименты по секвенированию проводили в трёх повторностях. Значения Fold change ДЭГ по сравнению с контрольным уровнем без препарата (с критериями FDR-adjusted p-value (p-значение с поправкой на FDR) < 0,05; fold change > 2) приведены в табл. S2 Приложения 2; полные данные секвенирования депонированы в NCBI (nih.gov, BioProject) с ID PRJNA1029741.
Мы обнаружили, что 48-часовая обработка клеток SK-BR-3 150 нМ лапатиниба, снижающая скорость их роста до 7% от уровня без препарата, вызвала дифференциальную экспрессию 308 генов, из которых у 198 экспрессия была понижена, а у 110 – повышена (рис. 7 и рис. 8, а). Когда лапатиниб был добавлен в сочетании с сывороткой крови человека, эти изменения в экспрессии генов резко снизились: из первоначальных 308 ДЭГ экспрессия только 8 и 4 генов оставалась пониженной и повышенной соответственно (рис. 8). С точки зрения восстановления роста клеток это соответствует ~62% от контрольного уровня без препарата.
Рис. 7. Дифференциально экспрессированные гены (ДЭГ) в серии сравнений с образцом клеток без воздействия препаратов для: лапатиниба; лапатиниба и сыворотки крови человека; лапатиниба и EGF. ДЭГ показаны красным цветом (log2FC > 1 или log2FC < −1, скорректированное p-значение < 0,05)
Рис. 8. РНК-Секвенирование клеток SK-BR-3. Рост клеток в условиях обработки, использованной для сбора образцов для РНК-секвенирования (а). Диаграммы Венна, показывающие перекрытие генов с повышенной (б) и пониженной (в) экспрессией, а также, вместе, генов с повышенной и пониженной экспрессией (г) в присутствии: только лапатиниба, лапатиниба и сыворотки крови человека или лапатиниба и EGF. Звёздочками отмечена статистическая значимость совпадений: * p < 0,05; ** p < 0,01; *** p < 0,001
При добавлении EGF в сочетании с лапатинибом получается аналогичная картина: экспрессия только 12 и 1 гена остаётся пониженной и повышенной соответственно (рис. 8), что соответствует ~73% восстановления роста клеток.
Таким образом, мы определили набор из 295 лапатиниб-специфичных ДЭГ, экспрессия которых не изменялась при добавлении лапатиниба к EGF или сыворотке крови человека, в качестве ключевых генов лапатиниба (lapatinib core genes).
Молекулярные пути, связанные с взаимодействием лапатиниба, EGF и сыворотки крови человека. Мы использовали анализ на основе базы данных Gene Ontology (GO) для выявления GO-терминов, содержащих наибольшее число ДЭГ (Gene Onthology enrichment, далее – обогащённые термины) и, следовательно, биологических процессов, связанных с активностью лапатиниба (рис. 9). Большинство GO-терминов, обогащённых для ДЭГ, негативно регулируемых только при лечении лапатинибом, были связаны с мембранными компонентами или активностью мембранных транспортеров. Из восьми GO-терминов, идентифицированных таким образом, семь были также обогащены для негативно регулируемых генов набора ключевых генов лапатиниба (lapatinib core).
Рис. 9. Термины базы данных Gene Onthology (GO), наиболее обогащённые для генов из множества ДЭГ с повышенной и пониженной экспрессией, вызванной обработкой лапатинибом (а) и набором ключевых генов лапатиниба (lapatinib core) (б). Визуализировано с помощью пакета R enrichplot (http://bioconductor.org/packages/ release/bioc/html/enrichplot.html). Обогащение указанных терминов GO статистически значимо (p-значение, скорректированное по критерию Бенджамини–Хохберга, меньше 0,05)
Мы обнаружили 20 GO-терминов, обогащённых для генов, регулируемых лапатинибом. Два из них, «клеточно-субстратное соединение» (“cell-substrate junction”) и его дочерний термин «фокальные контакты» (“focal adhesion”), тесно связаны между собой. Эти термины GO описывают опосредованные адгезией сигнальные процессы, влияющие на пролиферацию, дифференцировку, якорно-зависимое выживание и миграцию. Актиновый цитоскелет изменяется при эпителиально-мезенхимальном переходе (ЭМП), что приводит к усилению подвижности клеток [62]. Другие GO-термины, обогащённые для генов, регулируемых лапатинибом, включают связывание рецептора RAGE, активность трансмембранного транспортера жирных кислот, связывание и сплайсинг мРНК, семафорин и активность тирозин/треониновой фосфатазы. Все они также были обогащены для положительно регулируемых генов из набора ключевых генов лапатиниба (рис. 9, б).
Затем мы рассчитали уровни активации путей (PAL) 3044 внутриклеточных молекулярных путей человека и визуализировали результаты с помощью онлайн-инструмента OncoboxPD [46]. Этот анализ выявил 663 пути, дифференциально регулируемых (p < 0,01) при обработке лапатинибом (идентифицированных с помощью 295 ДЭГ из набора ключевых генов лапатиниба), 20 путей с наиболее значительно изменённой активностью показаны на рис. 10. Среди них наиболее сильно активируются пути, связанные с клеточным метаболизмом и регуляцией ЭМП. В условиях «лапатиниб + EGF» путь ЭМП, напротив, ингибировался и не изменялся при анализе ДЭГ в условиях «лапатиниб + сыворотка крови человека» (табл. S3 Приложения 3). Процесс ЭМП включает в себя нарушение межклеточной адгезии и клеточной полярности, глубокую перестройку цитоскелета и значительные изменения в адгезии клеток на матриксе [56, 63]. Следует отметить, что большинство GO-терминов, обогащённых для ДЭГ, негативно регулируемых лапатинибом, были связаны с мембранными компонентами или активностью мембранных транспортеров, в то время как GO-термины для позитивно регулируемых генов были в основном связаны с клеточной адгезией.
Ещё один путь – путь PKA-опосредованного фосфорилирования CREB (PKA mediated phosphorylation of CREB, база данных Reactome) – активирован только при обработке клеток лапатинибом (рис. 10, рис. S2 Приложения 1). Активность этого пути существенно не изменилась при анализе ДЭГ при обработке «лапатиниб + EGF» (p-значение 0,09) и была подавлена при анализе ДЭГ при обработке «лапатиниб + сыворотка крови человека». Циклический AMP (cAMP) регулирует транскрипцию множества генов-мишеней в основном через механизм, опосредованный протеинкиназой А (PKA) и её нижележащими эффекторами, такими как белок, связывающий cAMP-реактивный элемент (CREB) [64, 65]. Путь cAMP–PKA–CREB также играет важную роль в развитии РМЖ и связан с резистентностью к трастузумабу при HER-2+ РМЖ [65].
Рис. 10. 20 наиболее сильно активированных и ингибированных молекулярных путей, рассчитанных для набора ключевых генов лапатиниба (lapatinib core) в клетках SK-BR-3. Показаны значение PAL и скорректированное p-значение
Два наиболее сильно ингибированных лапатинибом пути относятся к клеточному метаболизму, тогда как третий ингибированный путь связан с TLR-сигнализацией. Напротив, при анализе ДЭГ в условиях «лапатиниб + EGF» этот путь имел умеренно повышенную активность. В условиях добавления лапатиниба и сыворотки крови человека активация этого пути не изменялась по сравнению с условиями без препарата. Toll-Подобные рецепторы (TLR) в основном экспрессируются в эпителиальных и иммунных клетках человека. Активация TLR, экспрессируемых в опухолевых клетках, может усиливать рост опухоли за счёт повышения про- и антиапоптотических сигналов, цитокинов, способствующих развитию опухоли, ангиогенеза и инвазивности [66, 67]. Нокдаун гена TLR4 приводил к увеличению гибели клеток РМЖ [68], что согласуется с нашими наблюдениями.
Мы также обнаружили следующие пути, которые сильно ингибировались лапатинибом: mTOR Pathway Cap-dependent Translation, DCC in regulating apoptosis Pathway (DCC означает «deleted in colorectal cancer») и EPHA2 forward signaling Pathway (рис. S3, табл. S3 Приложения 1).
Добавление лапатиниба приводило к резкому снижению активации сигнального пути TLR (рис. 11, а). Однако это снижение сильно ослабевало при добавлении препарата в комбинации с сывороткой крови человека или с EGF (рис. 11, в, г). Анализ группы ключевых генов лапатиниба показал, что ингибирование узла TLR6 этого пути не связано с ингибированием роста клеток, в то время как ингибирование узла CD14, скорее всего, с ним связано. Полученные нами результаты свидетельствуют о том, что клетки, обработанные EGF или сывороткой крови человека, можно считать частично устойчивыми к обработке лапатинибом. В этих клетках узлы S100A8/S100A9 и LY96/S100A8/S100A9/TLR1/TLR2/TLR4 оказались активированы по сравнению с уровнем без препарата.
Рис. 11. Диаграмма активации сигнального пути NCI Endogenous TLR signaling, представленная в виде взаимодействующей сети. Активность компонентов пути по сравнению с образцом без препарата показана для: клеток, обработанных только лапатинибом (a); группы ключевых генов лапатиниба (Lapatinib core genes) (б); обработки только сывороткой крови человека (в), обработки сывороткой крови человека в комбинации с лапатинибом (г), обработки только EGF (д), обработки EGF в комбинации с лапатинибом (е). Уровень активации пути (PAL) указан для каждой группы ДЭГ по сравнению с условиями без препаратов. Зелёные/красные стрелки указывают на взаимодействия активации/ингибирования соответственно; интенсивность цвета транскрипционных узлов отражает степень активации узла (натуральный логарифм изменения экспрессии по сгибам для каждого узла, референсным значением считали среднее геометрическое между уровнями экспрессии во всех образцах в соответствующих группах). Зелёный цвет означает активацию, красный – ингибирование, белый – недифференциальную экспрессию, серый – отсутствие молекулярных данных
ОБСУЖДЕНИЕ РЕЗУЛЬТАТОВ
Прогнозирование ответа на лекарственную терапию – одна из важнейших задач в онкологии. Она требует углублённого изучения генетических, эпигенетических или транскриптомных маркеров, информативных для конкретной опухоли [69–74]. Кроме того, значение могут иметь не только внутренние молекулярные свойства опухолей. В ряде исследований оценивалось разнообразие влияния компонентов сыворотки крови, что указывает на их важность для предварительного отбора пациентов, которые могли бы ответить на таргетную терапию [33, 75]. Однако такое влияние сыворотки крови человека ещё недостаточно изучено. Выяснение основных механизмов требует проведения комбинированных исследований с использованием моделей клеточных культур [38–40], образцов донорской крови человека и анализа молекулярных путей [49, 76–78].
В этом исследовании на примере HER2+ клеточной линии аденокарциномы молочной железы SK-BR-3 мы продемонстрировали значительное влияние сыворотки крови человека на ингибирование роста клеток EGFR/HER2-таргетным препаратом лапатинибом. Для всех 14 образцов сыворотки крови, взятых у здоровых доноров, мы обнаружили сильное увеличение IC50 лапатиниба в 2,6–3,7 раза. Для EGFR-положительной клеточной линии A431 мы недавно показали, что эффективные концентрации EGFR-таргетных препаратов цетуксимаба и эрлотиниба увеличиваются в 5–25 раз при добавлении различных образцов сыворотки крови человека [42]. Таким образом, присутствие сыворотки крови человека может существенно изменить эффективность HER-таргетных препаратов, потенциально вызывая многократное изменение их IC50. Таким образом, при оценке противоопухолевой активности экспериментальных препаратов в ходе доклинических испытаний важно учитывать потенциальное влияние периферической крови человека на ингибирующую способность препарата.
Мы обнаружили, что добавленные по отдельности лапатиниб и EGF подавляют рост клеток SK-BR-3. Однако при их совместном добавлении ингибирование роста клеток исчезает из-за сильного антагонистического взаимодействия между EGF и лапатинибом. Этот вывод хорошо согласуется с нашими предыдущими результатами, где аналогичное антагонистическое взаимодействие было обнаружено для EGF в комбинации с одним из EGFR-таргетных препаратов, цетуксимабом и эрлотинибом, в EGFR+ клетках A431 [41, 61].
Концентрация EGF в сыворотке крови человека составляет ~0,3–1,7 нг/мл [59]. Для исследованных образцов мы получили схожие значения концентрации EGF (0,6–1,2 нг/мл) [41]. Для анализа скорости роста клеток мы использовали 5% сыворотки, поэтому концентрация эндогенного EGF в опытах не превышала 0,06 нг/мл. Эта концентрация намного меньше, чем 0,8–3 нг/мл рекомбинантного EGF, использованного в экспериментах. Мы пришли к выводу, что влияние сывороток на воздействие лапатиниба не может быть объяснено наличием эндогенного EGF в образцах сывороток крови человека.
В настоящем исследовании показано, что лапатиниб обычно ингибирует прогрессию клеточного цикла и вызывает остановку фазы G0/G1 в восприимчивых клетках, а также снижает долю клеток в S-фазе до незначительных значений (рис. 6).
Этот вывод согласуется с результатами предыдущего исследования, в котором было показано, что лапатиниб индуцирует арест G1-фазы в клеточных линиях SK-BR-3 и MDA-MB-453, сверхэкспрессирующих HER2, и что это сопровождается снижением доли клеток в S-фазе [79]. Кроме того, мы обнаружили, что сам по себе EGF не оказывает влияния на распределение клеток по фазам клеточного цикла, однако при добавлении лапатиниба доля клеток в G0/G1- и S-фазе смещалась обратно к уровню без препарата. Это также соответствует продолжению роста клеток в случае обработки «EGF + лапатиниб». Аналогично добавление сыворотки крови человека само по себе не оказывало влияния на распределение клеток по фазам клеточного цикла. Однако в сочетании с лапатинибом сыворотка отменяла индуцированный им сдвиг доли клеток в фазе G0/G1 и восстанавливала долю клеток в S-фазе практически до уровня без препарата, что сопровождалось частичным восстановлением максимальной скорости роста клеток.
Секвенирование РНК выявило 308 ДЭГ в присутствии лапатиниба по сравнению с контролем. Примечательно, что 96% этих генов переставали быть дифференциально экспрессированными, когда к лапатинибу добавляли сыворотку крови человека. Таким образом, сыворотка крови человека не только восстанавливает скорость роста клеток при добавлении лапатиниба, но и восстанавливает экспрессию 96% (296) лапатиниб-специфичных ДЭГ. Аналогичная картина наблюдалась при добавлении EGF вместе с лапатинибом: только 4,2% (13) лапатиниб-специфичных ДЭГ оставались дифференциально регулируемыми. Для 89% из них статус ДЭГ был утрачен, а для оставшихся 21 ДЭГ экспрессия изменилась в противоположном направлении.
Полученный набор ДЭГ, названных в данном исследовании ключевыми генами лапатиниба (lapatinib core genes), хорошо согласуется с результатами предыдущего исследования [80], в котором изучались изменения фосфорилирования белков и транскрипционной регуляции в клетках SK-BR-3 в ответ на лапатиниб. Среди 173 общих ДЭГ из этих двух исследований экспрессия 170 была изменена (показала повышение или понижение) в одном направлении, и только 3 – в противоположном. Недавно мы провели анализ РНК-секвенирования для EGFR-положительных клеток A431, обработанных EGFR-таргетным препаратом цетуксимабом в сочетании с сывороткой крови человека, и выявили ключевые ДЭГ цетуксимаба [61]. Сравнение этих двух исследований показывает, что среди 45 ДЭГ, общих для обоих наборов, экспрессия 37 генов изменяется в одном направлении в наборах ключевых генов лапатиниба (SK-BR-3) и ключевых генов цетуксимаба (A431), а экспрессия 8 генов изменяется в противоположных направлениях. Аналогичным образом сравнение ключевых генов лапатиниба, рассматриваемых в данном исследовании, и выявленных ранее ключевых генов эрлотиниба [61] показало, что среди 52 ДЭГ, общих для обоих исследований, экспрессия 40 генов изменена в одном направлении, в то время как для 12 генов она изменена в противоположных направлениях. Эти сравнения демонстрируют соответствие между ДЭГ, специфичными для EGFR/HER2-таргетного препарата лапатиниба, выявленными в HER2-позитивных клетках SK-BR-3, и ДЭГ, специфичными для EGFR-таргетных препаратов цетуксимаба и эрлотиниба, выявленными в EGFR-позитивных клетках A431.
Можно отметить несколько возможных связей набора ключевых лекарственно-чувствительных генов с их молекулярными функциями. Среди ключевых генов лапатиниба, экспрессия которых повышается под действием лапатиниба и не повышается при обработке «EGF + лапатиниб» или «сыворотка крови человека + лапатиниб», отметим следующие.
Белки S100 участвуют в регуляции ряда клеточных процессов, таких как прогрессия клеточного цикла и дифференцировка. Продукты генов S100A8/A9 образуют гетеродимер, который запускает множество сигнальных путей, влияющих на состав микротрубочек, а также сложные процессы роста, метастазирования и лекарственной устойчивости рака. Он связан с такими рецепторами, как рецептор для передовых продуктов гликирования (RAGEs) и Toll-подобный рецептор 4 (TLR4), и исследования клеточных культур показывают, что ингибирование S100A8 и S100A9 подавляло миграцию и инвазию [81, 82].
Продукт гена CDK18 может взаимодействовать с циклином A2 и циклином E, и белок CDK18 был предложен в качестве потенциальной мишени для противораковых препаратов [83]. Продукт гена SEMA3B (семафорин-3B) известен как ингибитор ангиогенеза и клеточной пролиферации, а также как супрессор опухолевого роста [84]. FABP5 кодирует один из представителей белков, связывающих жирные кислоты (FABPs). Сверхэкспрессия FABP5 наблюдается во многих типах опухолей и ассоциируется с плохим прогнозом в ряде таких типов [85]. Мы обнаружили, что в клетках, обработанных лапатинибом, повышается активность нескольких путей, связанных с метаболизмом кетонов. Белок PHLDB2 (Pleckstrin Homology Like Domain Family B Member 2), кодируемый геном PHLDB2, может функционировать как опухолевый супрессор в РМЖ. Вклад PHLDB2 в метастазирование согласуется с его молекулярной функцией, заключающейся в содействии прикреплению микротрубочек к точкам фокальной адгезии, необходимым для клеточной подвижности [86].
Гены, дифференциальная экспрессия которых была понижена при обработке клеток только лапатинибом (что приводило к ингибированию роста клеток до 5% от уровня без препарата), но не снижалась при добавлении EGF или сыворотки крови человека в среду роста вместе с лапатинибом (что приводило к восстановлению роста клеток до 73 и 62% от уровня без препарата соответственно, рис. 8, а), могут быть связаны с изменением скорости роста клеток под действием препарата.
Мета-анализ показал, что высокий уровень мРНК гистоновой деацетилазы 9 (HDAC9) в РМЖ человека ассоциируется со снижением общей выживаемости у пациенток, получающих лечение тамоксифеном [87]. CYP4B1 кодирует одну из изоформ цитохрома P450 (CYP). Сообщалось о связи между экспрессией CYP и риском развития рака, его прогрессированием, метастазированием и прогнозом [88]. Gab2 принадлежит к семейству докинг-белков Grb-associated binder (Gab). Gab2 необходим для сигнальных путей эпидермального фактора роста (EGF) и пролиферации клеток РМЖ. Коэкспрессия GAB2 с HER2 приводит к инвазивному фенотипу [89, 90]. Нокдаун GAB2 снижает активность нисходящих путей HER2 и уменьшает пролиферацию клеток in vitro [91].
Продукт гена MUC1 – широко распространённый маркер рака, названный CA 15-3. Как и ожидалось, его экспрессия снижается (в 4,1 раза) при обработке лапатинибом и восстанавливается до уровня без лекарств, когда лапатиниб вводят вместе с сывороткой крови человека или с EGF. Аналогично экспрессия гена CEA, который кодирует онкологический маркер CEA Cell Adhesion Molecule 6, снижается (в 5,2 раза) при обработке лапатинибом. Оба гена относятся к GO-термину «апикальная плазматическая мембрана», обогащённому для ДЭГ, экспрессию которых снижает лапатиниб (рис. 9).
ABCC12 (ATP Binding Cassette Subfamily C Member 12) – член суперсемейства транспортеров ATP-связывающих кассет (ABC). Ген ABCC12 имеет повышенную экспрессию в РМЖ [92]. Молекула адгезии клеток активированных лейкоцитов, кодируемая ALCAM, является членом суперсемейства иммуноглобулинов на клеточной поверхности. ALCAM имеет решающее значение для выживания клеток РМЖ. Нарушение экспрессии ALCAM связано с индукцией двух типов запрограммированной клеточной смерти – апоптоза и аутофагии – в клетках РМЖ [93]. При многофакторном анализе выживаемости без повторного заболевания высокая экспрессия цитоплазматического ALCAM и узловая форма опухоли в карциномах молочной железы были достоверно связаны с более ранним прогрессированием заболевания [94].
Полученные нами результаты свидетельствуют о том, что измерения эффективности противораковых препаратов на основе модельных клеточных культур могут давать ошибки, если препараты тестируются в среде роста, в отсутствии сыворотки крови человека. Более того, изменения в профилях экспрессии генов, вызванные обработкой препаратами, могут значительно отличаться в присутствии сыворотки крови человека. Таким образом, важно учитывать влияние сыворотки крови человека на эффективность лекарств в доклинических исследованиях, особенно если речь идёт о белках семейства HER.
Вклад авторов. Концептуализация – В.С., С.Д., А.Б., Д.К.; методология – Г.З., В.С., С.Д., М.С. (Мария Сунцова), М.С. (Максим Сорокин), А.Б., Д.К.; программное обеспечение – М.С. (Максим Сорокин) и А.Б.; валидация – Н.Ш. и Д.К.; формальный анализ – Н.Ш., М.Р., М.С. (Максим Сорокин), А.Б., Д.К.; исследование – Н.Ш., Д.К.; ресурсы – Г.З., В.С., С.Д.; курирование данных – Н.Ш., М.С. (Мария Сунцова), М.С. (Максим Сорокин), А.Б., Д.К.; написание: подготовка первоначального проекта рукописи – Н.Ш., А.Б., Д.К.; написание: рецензирование и редактирование – А.Б., Д.К.; визуализация – Н.Ш., М.Р.; наблюдение – А.Б., Д.К.; администрирование проекта – Н.Ш., А.Б.; получение финансирования – Г.З., М.С. (Мария Сунцова) и А.Б. Все авторы прочитали и согласились с опубликованной версией рукописи.
Финансирование. Вклад Марии Сунцовой и Антона Буздина был профинансирован Министерством науки и высшего образования Российской Федерации в рамках государственной поддержки создания и развития научных центров мирового уровня «Цифровой биодизайн и персонализированное здравоохранение» (грант № 075-15-2022-304). Финансирующие организации не принимали участия в разработке дизайна исследования, сборе, анализе и интерпретации данных, написании рукописи и принятии решения о публикации результатов.
Исследования клеточных культур были поддержаны грантом Министерства науки и высшего образования Российской Федерации (соглашение № 075-15-2022-310 от 20 апреля 2022 г.).
Секвенирование РНК выполнено при поддержке Российского научного фонда, грант № 20-75-10071.
Доступность данных. Данные РНК-секвенирования доступны по ссылке https://www.ncbi.nlm. nih.gov/bioproject/, ID PRJNA1029741 (доступ получен 20/10/2023). Другие данные включены в рукопись и электронные дополнительные материалы.
Соблюдение этических норм. Исследование проводилось в соответствии с Хельсинкской декларацией и было одобрено Комитетом по этике клиники «Витамед» (Москва); дата одобрения: 19 января 2022 года. От всех пациентов, участвовавших в исследовании, было получено информированное согласие.
Конфликт интересов. М.С. (Максим Сорокин) и А.Б. имеют финансовые отношения с ООО «Онкобокс», 121205 Москва, Россия. Работодатели не принимали участия в разработке дизайна исследования, сборе, анализе и интерпретации данных, написании рукописи и принятии решения о публикации результатов. Остальные авторы не заявляют о конфликте интересов.
Дополнительные материалы. Приложение к статье опубликовано на сайте журнала «Биохимия» (https://biochemistrymoscow.com).
About the authors
N. A. Shaban
Moscow Institute of Physics and Technology; Shemyakin–Ovchinnikov Institute of Bioorganic Chemistry; The National Medical Research Center for Endocrinology
														Email: dkamashev@gmail.com
				                					                																			                												                	Russian Federation, 							Dolgoprudny; Moscow; Moscow						
M. M. Raevskiy
Sechenov First Moscow State Medical University
														Email: dkamashev@gmail.com
				                					                																			                												                	Russian Federation, 							Moscow						
G. S. Zakharova
Sechenov First Moscow State Medical University
														Email: dkamashev@gmail.com
				                					                																			                												                	Russian Federation, 							Moscow						
V. O. Shipunova
Moscow Institute of Physics and Technology; Shemyakin–Ovchinnikov Institute of Bioorganic Chemistry
														Email: dkamashev@gmail.com
				                					                																			                												                	Russian Federation, 							Dolgoprudny; Moscow						
S. M. Deyev
Shemyakin–Ovchinnikov Institute of Bioorganic Chemistry; Kazan Federal University
														Email: dkamashev@gmail.com
				                					                																			                												                	Russian Federation, 							Moscow; Kazan						
M. V. Suntsova
The National Medical Research Center for Endocrinology; Sechenov First Moscow State Medical University
														Email: dkamashev@gmail.com
				                					                																			                												                	Russian Federation, 							Moscow; Moscow						
M. I. Sorokin
Moscow Institute of Physics and Technology; Sechenov First Moscow State Medical University; European Organization for Research and Treatment of Cancer (EORTC)
														Email: dkamashev@gmail.com
				                					                																			                												                	Russian Federation, 							Moscow; Moscow; Brussels, Belgium						
A. A. Buzdin
Moscow Institute of Physics and Technology; Shemyakin–Ovchinnikov Institute of Bioorganic Chemistry; The National Medical Research Center for Endocrinology; Sechenov First Moscow State Medical University
														Email: dkamashev@gmail.com
				                					                																			                												                	Russian Federation, 							Dolgoprudny; Moscow; Moscow; Moscow						
D. E. Kamashev
Shemyakin–Ovchinnikov Institute of Bioorganic Chemistry; The National Medical Research Center for Endocrinology; Sechenov First Moscow State Medical University
							Author for correspondence.
							Email: dkamashev@gmail.com
				                					                																			                												                	Russian Federation, 							Moscow; Moscow; Moscow						
References
- Olayioye, M. A., Neve, R. M., Lane, H. A., and Hynes, N. E. (2000) The ErbB signaling network: receptor heterodimerization in development and cancer, EMBO J., 19, 3159-3167, https://doi.org/10.1093/emboj/19.13.3159.
- Holbro, T., and Hynes, N. E. (2004) ErbB receptors: directing key signaling networks throughout life, Annu. Rev. Pharmacol. Toxicol., 44, 195-217, https://doi.org/10.1146/annurev.pharmtox.44.101802.121440.
- Roskoski, R., Jr. (2014) The ErbB/HER family of protein-tyrosine kinases and cancer, Pharmacol. Res., 79, 34-74, https://doi.org/10.1016/j.phrs.2013.11.002.
- Arienti, C., Pignatta, S., and Tesei, A. (2019) Epidermal growth factor receptor family and its role in gastric cancer, Front. Oncol., 9, 1308, https://doi.org/10.3389/fonc.2019.01308.
- Iqbal, N., and Iqbal, N. (2014) Human epidermal growth factor receptor 2 (HER2) in cancers: overexpression and therapeutic implications, Mol. Biol. Int., 2014, 852748, https://doi.org/10.1155/2014/852748.
- Komurasaki, T., Toyoda, H., Uchida, D., and Nemoto, N. (2002) Mechanism of growth promoting activity of epiregulin in primary cultures of rat hepatocytes, Growth Factors, 20, 61-69, https://doi.org/10.1080/08977190290024192.
- Yamaoka, T., Kusumoto, S., Ando, K., Ohba, M., and Ohmori, T. (2018) Receptor tyrosine kinase-targeted cancer therapy, Int. J. Mol. Sci., 19, 3491, https://doi.org/10.3390/ijms19113491.
- Miricescu, D., Totan, A., Stanescu, S., II, Badoiu, S. C., Stefani, C., and Greabu, M. (2020) PI3K/AKT/mTOR signaling pathway in breast cancer: from molecular landscape to clinical aspects, Int. J. Mol. Sci., 22, 173, https:// doi.org/10.3390/ijms22010173.
- Bragin, P. E., Mineev, K. S., Bocharova, O. V., Volynsky, P. E., Bocharov, E. V., and Arseniev, A. S. (2016) HER2 transmembrane domain dimerization coupled with self-association of membrane-embedded cytoplasmic juxtamembrane regions, J. Mol. Biol., 428, 52-61, https://doi.org/10.1016/j.jmb.2015.11.007.
- Yarden, Y. (2001) The EGFR family and its ligands in human cancer. signalling mechanisms and therapeutic opportunities, Eur. J. Cancer, 37, S3-S8, https://doi.org/10.1016/s0959-8049(01)00230-1.
- Shaban, N., Kamashev, D., Emelianova, A., and Buzdin, A. (2023) Targeted inhibitors of EGFR: structure, biology, biomarkers, and clinical applications, Cells, 13, 47, https://doi.org/10.3390/cells13010047.
- Neve, R. M., Lane, H. A., and Hynes, N. E. (2001) The role of overexpressed HER2 in transformation, Ann. Oncol., 12, S9-S13, https://doi.org/10.1093/annonc/12.suppl_1.s9.
- Cai, X., Zhang, L., and Chen, S. (2022) Editorial: cancer treatment and early detection targeting HER receptors, Front. Mol. Biosci., 9, 940055, https://doi.org/10.3389/fmolb.2022.940055.
- Maadi, H., Nami, B., Tong, J., Li, G., and Wang, Z. (2018) The effects of trastuzumab on HER2-mediated cell signaling in CHO cells expressing human HER2, BMC Cancer, 18, 238, https://doi.org/10.1186/s12885-018-4143-x.
- Peckys, D. B., Korf, U., and de Jonge, N. (2015) Local variations of HER2 dimerization in breast cancer cells discovered by correlative fluorescence and liquid electron microscopy, Sci Adv, 1, e1500165, https://doi.org/10.1126/sciadv.1500165.
- Owens, M. A., Horten, B. C., and Da Silva, M. M. (2004) HER2 amplification ratios by fluorescence in situ hybridization and correlation with immunohistochemistry in a cohort of 6556 breast cancer tissues, Clin. Breast Cancer, 5, 63-69, https://doi.org/10.3816/cbc.2004.n.011.
- Yuan, Y., Liu, X., Cai, Y., and Li, W. (2022) Lapatinib and lapatinib plus trastuzumab therapy versus trastuzumab therapy for HER2 positive breast cancer patients: an updated systematic review and meta-analysis, Syst. Rev., 11, 264, https://doi.org/10.1186/s13643-022-02134-9.
- Kim, H. P., Yoon, Y. K., Kim, J. W., Han, S. W., Hur, H. S., Park, J., Lee, J. H., Oh, D. Y., Im, S. A., Bang, Y. J., and Kim, T. Y. (2009) Lapatinib, a dual EGFR and HER2 tyrosine kinase inhibitor, downregulates thymidylate synthase by inhibiting the nuclear translocation of EGFR and HER2, PLoS One, 4, e5933, https://doi.org/10.1371/journal.pone.0005933.
- Gril, B., Palmieri, D., Bronder, J. L., Herring, J. M., Vega-Valle, E., Feigenbaum, L., Liewehr, D. J., Steinberg, S. M., Merino, M. J., Rubin, S. D., and Steeg, P. S. (2008) Effect of lapatinib on the outgrowth of metastatic breast cancer cells to the brain, J. Natl. Cancer Inst., 100, 1092-1103, https://doi.org/10.1093/jnci/djn216.
- Bilancia, D., Rosati, G., Dinota, A., Germano, D., Romano, R., and Manzione, L. (2007) Lapatinib in breast cancer, Ann. Oncol., 18, vi26-vi30, https://doi.org/10.1093/annonc/mdm220.
- Figueroa-Magalhaes, M. C., Jelovac, D., Connolly, R., and Wolff, A. C. (2014) Treatment of HER2-positive breast cancer, Breast, 23, 128-136, https://doi.org/10.1016/j.breast.2013.11.011.
- Piccart-Gebhart, M. J., Procter, M., Leyland-Jones, B., Goldhirsch, A., Untch, M., Smith, I., Gianni, L., Baselga, J., Bell, R., Jackisch, C., Cameron, D., Dowsett, M., Barrios, C. H., Steger, G., Huang, C. S., Andersson, M., Inbar, M., Lichinitser, M., Lang, I., Nitz, U., et al. (2005) Trastuzumab after adjuvant chemotherapy in HER2-positive breast cancer, N. Engl. J. Med., 353, 1659-1672, https://doi.org/10.1056/NEJMoa052306.
- Slamon, D., Eiermann, W., Robert, N., Pienkowski, T., Martin, M., Press, M., Mackey, J., Glaspy, J., Chan, A., Pawlicki, M., Pinter, T., Valero, V., Liu, M. C., Sauter, G., von Minckwitz, G., Visco, F., Bee, V., Buyse, M., Bendahmane, B., Tabah-Fisch, I., et al. (2011) Adjuvant trastuzumab in HER2-positive breast cancer, N. Engl. J. Med., 365, 1273-1283, https://doi.org/10.1056/NEJMoa0910383.
- Vu, T., and Claret, F. X. (2012) Trastuzumab: updated mechanisms of action and resistance in breast cancer, Front. Oncol., 2, 62, https://doi.org/10.3389/fonc.2012.00062.
- Wang, Z. H., Zheng, Z. Q., Jia, S. C., Liu, S. N., Xiao, X. F., Chen, G. Y., Liang, W. Q., and Lu, X. F. (2022) Trastuzumab resistance in HER2-positive breast cancer: mechanisms, emerging biomarkers and targeting agents, Front. Oncol., 12, 1006429, https://doi.org/10.3389/fonc.2022.1006429.
- Amir, E., Ocana, A., Seruga, B., Freedman, O., and Clemons, M. (2010) Lapatinib and HER2 status: results of a meta-analysis of randomized phase III trials in metastatic breast cancer, Cancer Treat. Rev., 36, 410-415, https:// doi.org/10.1016/j.ctrv.2009.12.012.
- Kaufman, B., Trudeau, M., Awada, A., Blackwell, K., Bachelot, T., Salazar, V., DeSilvio, M., Westlund, R., Zaks, T., Spector, N., and Johnston, S. (2009) Lapatinib monotherapy in patients with HER2-overexpressing relapsed or refractory inflammatory breast cancer: final results and survival of the expanded HER2+ cohort in EGF103009, a phase II study, Lancet Oncol., 10, 581-588, https://doi.org/10.1016/S1470-2045(09)70087-7.
- Gaibar, M., Beltran, L., Romero-Lorca, A., Fernandez-Santander, A., and Novillo, A. (2020) Somatic mutations in HER2 and implications for current treatment paradigms in HER2-positive breast cancer, J. Oncol., 2020, 6375956, https://doi.org/10.1155/2020/6375956.
- Bao, S., Chen, Y., Yang, F., Sun, C., Yang, M., Li, W., Huang, X., Li, J., Wu, H., and Yin, Y. (2020) Screening and identification of key biomarkers in acquired lapatinib-resistant breast cancer, Front. Pharmacol., 11, 577150, https:// doi.org/10.3389/fphar.2020.577150.
- Havaleshko, D. M., Smith, S. C., Cho, H., Cheon, S., Owens, C. R., Lee, J. K., Liotta, L. A., Espina, V., Wulfkuhle, J. D., Petricoin, E. F., and Theodorescu, D. (2009) Comparison of global versus epidermal growth factor receptor pathway profiling for prediction of lapatinib sensitivity in bladder cancer, Neoplasia, 11, 1185-1193, https://doi.org/10.1593/neo.09898.
- Von der Heyde, S., Wagner, S., Czerny, A., Nietert, M., Ludewig, F., Salinas-Riester, G., Arlt, D., and Beissbarth, T. (2015) mRNA profiling reveals determinants of trastuzumab efficiency in HER2-positive breast cancer, PLoS One, 10, e0117818, https://doi.org/10.1371/journal.pone.0117818.
- Triulzi, T., De Cecco, L., Sandri, M., Prat, A., Giussani, M., Paolini, B., Carcangiu, M. L., Canevari, S., Bottini, A., Balsari, A., Menard, S., Generali, D., Campiglio, M., Di Cosimo, S., and Tagliabue, E. (2015) Whole-transcriptome analysis links trastuzumab sensitivity of breast tumors to both HER2 dependence and immune cell infiltration, Oncotarget, 6, 28173-28182, https://doi.org/10.18632/oncotarget.4405.
- Taguchi, F., Solomon, B., Gregorc, V., Roder, H., Gray, R., Kasahara, K., Nishio, M., Brahmer, J., Spreafico, A., Ludovini, V., Massion, P. P., Dziadziuszko, R., Schiller, J., Grigorieva, J., Tsypin, M., Hunsucker, S. W., Caprioli, R., Duncan, M. W., Hirsch, F. R., Bunn, P. A., Jr., and Carbone, D. P. (2007) Mass spectrometry to classify non-small-cell lung cancer patients for clinical outcome after treatment with epidermal growth factor receptor tyrosine kinase inhibitors: a multicohort cross-institutional study, J. Natl. Cancer Inst., 99, 838-846, https://doi.org/10.1093/ jnci/djk195.
- Yang, T., Fu, Z., Zhang, Y., Wang, M., Mao, C., and Ge, W. (2020) Serum proteomics analysis of candidate predictive biomarker panel for the diagnosis of trastuzumab-based therapy resistant breast cancer, Biomed. Pharmacother., 129, 110465, https://doi.org/10.1016/j.biopha.2020.110465.
- Ishikawa, N., Daigo, Y., Takano, A., Taniwaki, M., Kato, T., Hayama, S., Murakami, H., Takeshima, Y., Inai, K., Nishimura, H., Tsuchiya, E., Kohno, N., and Nakamura, Y. (2005) Increases of amphiregulin and transforming growth factor-alpha in serum as predictors of poor response to gefitinib among patients with advanced non-small cell lung cancers, Cancer Res., 65, 9176-9184, https://doi.org/10.1158/0008-5472.CAN-05-1556.
- Tas, F., Karabulut, S., Serilmez, M., Ciftci, R., and Duranyildiz, D. (2014) Increased serum level of epidermal growth factor receptor (EGFR) is associated with poor progression-free survival in patients with epithelial ovarian cancer, Cancer Chemother. Pharmacol., 73, 631-637, https://doi.org/10.1007/s00280-014-2396-x.
- Loupakis, F., Cremolini, C., Fioravanti, A., Orlandi, P., Salvatore, L., Masi, G., Schirripa, M., Di Desidero, T., Antoniotti, C., Canu, B., Faviana, P., Sensi, E., Lupi, C., Fontanini, G., Basolo, F., Di Paolo, A., Danesi, R., Falcone, A., and Bocci, G. (2014) EGFR ligands as pharmacodynamic biomarkers in metastatic colorectal cancer patients treated with cetuximab and irinotecan, Target Oncol., 9, 205-214, https://doi.org/10.1007/s11523-013-0284-7.
- Wilson, T. R., Fridlyand, J., Yan, Y., Penuel, E., Burton, L., Chan, E., Peng, J., Lin, E., Wang, Y., Sosman, J., Ribas, A., Li, J., Moffat, J., Sutherlin, D. P., Koeppen, H., Merchant, M., Neve, R., and Settleman, J. (2012) Widespread potential for growth-factor-driven resistance to anticancer kinase inhibitors, Nature, 487, 505-509, https://doi.org/10.1038/nature11249.
- Claus, J., Patel, G., Autore, F., Colomba, A., Weitsman, G., Soliman, T. N., Roberts, S., Zanetti-Domingues, L. C., Hirsch, M., Collu, F., George, R., Ortiz-Zapater, E., Barber, P. R., Vojnovic, B., Yarden, Y., Martin-Fernandez, M. L., Cameron, A., Fraternali, F., Ng, T., and Parker, P. J. (2018) Inhibitor-induced HER2-HER3 heterodimerisation promotes proliferation through a novel dimer interface, Elife, 7, e32271, https://doi.org/10.7554/eLife.32271.
- Wang, X., Wong, J., Sevinsky, C. J., Kokabee, L., Khan, F., Sun, Y., and Conklin, D. S. (2016) Bruton’s tyrosine kinase inhibitors prevent therapeutic escape in breast cancer cells, Mol. Cancer Ther., 15, 2198-2208, https:// doi.org/10.1158/1535-7163.MCT-15-0813.
- Kamashev, D., Sorokin, M., Kochergina, I., Drobyshev, A., Vladimirova, U., Zolotovskaia, M., Vorotnikov, I., Shaban, N., Raevskiy, M., Kuzmin, D., and Buzdin, A. (2021) Human blood serum can donor-specifically antagonize effects of EGFR-targeted drugs on squamous carcinoma cell growth, Heliyon, 7, e06394, https://doi.org/10.1016/ j.heliyon.2021.e06394.
- Kamashev, D., Shaban, N., Suntsova, M., Raevskiy, M., Efimov, V., Moisseev, A., Sorokin, M., and Buzdin, A. (2022) Human blood serum inhibits ductal carcinoma cells BT474 growth and modulates effect of HER2 inhibition, Biomedicines, 10, 1914, https://doi.org/10.3390/biomedicines10081914.
- Suntsova, M., Gaifullin, N., Allina, D., Reshetun, A., Li, X., Mendeleeva, L., Surin, V., Sergeeva, A., Spirin, P., Prassolov, V., Morgan, A., Garazha, A., Sorokin, M., and Buzdin, A. (2019) Atlas of RNA sequencing profiles for normal human tissues, Sci. Data, 6, 36, https://doi.org/10.1038/s41597-019-0043-4.
- Love, M. I., Huber, W., and Anders, S. (2014) Moderated estimation of fold change and dispersion for RNA-seq data with DESeq2, Genome Biol., 15, 550, https://doi.org/10.1186/s13059-014-0550-8.
- Jung, S., Appleton, E., Ali, M., Church, G. M., and Del Sol, A. (2021) A computer-guided design tool to increase the efficiency of cellular conversions, Nat. Commun., 12, 1659, https://doi.org/10.1038/s41467-021-21801-4.
- Zolotovskaia, M. A., Tkachev, V. S., Guryanova, A. A., Simonov, A. M., Raevskiy, M. M., Efimov, V. V., Wang, Y., Sekacheva, M. I., Garazha, A. V., Borisov, N. M., Kuzmin, D. V., Sorokin, M. I., and Buzdin, A. A. (2022) OncoboxPD: human 51 672 molecular pathways database with tools for activity calculating and visualization, Comput. Struct. Biotechnol. J., 20, 2280-2291, https://doi.org/10.1016/j.csbj.2022.05.006.
- Sorokin, M., Borisov, N., Kuzmin, D., Gudkov, A., Zolotovskaia, M., Garazha, A., and Buzdin, A. (2021) Algorithmic Annotation of functional roles for components of 3,044 human molecular pathways, Front. Genet., 12, 617059, https://doi.org/10.3389/fgene.2021.617059.
- Raevskiy, M., Sorokin, M., Zakharova, G., Tkachev, V., Borisov, N., Kuzmin, D., Kremenchutckaya, K., Gudkov, A., Kamashev, D., and Buzdin, A. (2022) Better agreement of human transcriptomic and proteomic cancer expression data at the molecular pathway activation level, Int. J. Mol. Sci., 23, 2611, https://doi.org/10.3390/ijms23052611.
- Borisov, N., Sorokin, M., Garazha, A., and Buzdin, A. (2020) Quantitation of molecular pathway activation using RNA sequencing data, Methods Mol. Biol., 2063, 189-206, https://doi.org/10.1007/978-1-0716-0138-9_15.
- Henjes, F., Bender, C., von der Heyde, S., Braun, L., Mannsperger, H. A., Schmidt, C., Wiemann, S., Hasmann, M., Aulmann, S., Beissbarth, T., and Korf, U. (2012) Strong EGFR signaling in cell line models of ERBB2-amplified breast cancer attenuates response towards ERBB2-targeting drugs, Oncogenesis, 1, e16, https://doi.org/ 10.1038/oncsis.2012.16.
- Conlon, N. T., Kooijman, J. J., van Gerwen, S. J. C., Mulder, W. R., Zaman, G. J. R., Diala, I., Eli, L. D., Lalani, A. S., Crown, J., and Collins, D. M. (2021) Comparative analysis of drug response and gene profiling of HER2- targeted tyrosine kinase inhibitors, Br. J. Cancer, 124, 1249-1259, https://doi.org/10.1038/s41416-020-01257-x.
- Costantini, D. L., Bateman, K., McLarty, K., Vallis, K. A., and Reilly, R. M. (2008) Trastuzumab-resistant breast cancer cells remain sensitive to the auger electron-emitting radiotherapeutic agent 111In-NLS-trastuzumab and are radiosensitized by methotrexate, J. Nucl. Med., 49, 1498-1505, https://doi.org/10.2967/jnumed. 108.051771.
- Larson, J. S., Goodman, L. J., Tan, Y., Defazio-Eli, L., Paquet, A. C., Cook, J. W., Rivera, A., Frankson, K., Bose, J., Chen, L., Cheung, J., Shi, Y., Irwin, S., Kiss, L. D., Huang, W., Utter, S., Sherwood, T., Bates, M., Weidler, J., Parry, G., et al. (2010) Analytical validation of a highly quantitative, sensitive, accurate, and reproducible assay (HERmark) for the measurement of HER2 total protein and HER2 homodimers in FFPE breast cancer tumor specimens, Patholog. Res. Int., 2010, 814176, https://doi.org/10.4061/2010/814176.
- Sims, J. D., Taguiam, J. M., Alonso-Valenteen, F., Markman, J., Agadjanian, H., Chu, D., Lubow, J., Abrol, R., Srinivas, D., Jain, A., Han, B., Qu, Y., Mirzadehgan, P., Hwang, J. Y., Rentsendorj, A., Chung, A., Lester, J., Karlan, B. Y., Gray, H. B., Gross, Z., et al. (2018) Resistance to receptor-blocking therapies primes tumors as targets for HER3-homing nanobiologics, J. Control Release, 271, 127-138, https://doi.org/10.1016/j.jconrel.2017.12.024.
- Chang, Y., Park, K. H., Lee, J. E., and Han, K. C. (2018) Phosphoproteomic analysis reveals PAK2 as a therapeutic target for lapatinib resistance in HER2-positive breast cancer cells, Biochem. Biophys. Res. Commun., 505, 187-193, https://doi.org/10.1016/j.bbrc.2018.09.086.
- Yao, M., Shang, Y. Y., Zhou, Z. W., Yang, Y. X., Wu, Y. S., Guan, L. F., Wang, X. Y., Zhou, S. F., and Wei, X. (2017) The research on lapatinib in autophagy, cell cycle arrest and epithelial to mesenchymal transition via Wnt/ErK/PI3K-AKT signaling pathway in human cutaneous squamous cell carcinoma, J. Cancer, 8, 220-226, https://doi.org/ 10.7150/jca.16850.
- Abo-Zeid, M. A. M., Abo-Elfadl, M. T., and Gamal-Eldeen, A. M. (2019) Evaluation of lapatinib cytotoxicity and genotoxicity on MDA-MB-231 breast cancer cell line, Environ. Toxicol. Pharmacol., 71, 103207, https://doi.org/10.1016/ j.etap.2019.103207.
- Chou, T. C. (2006) Theoretical basis, experimental design, and computerized simulation of synergism and antagonism in drug combination studies, Pharmacol. Rev., 58, 621-681, https://doi.org/10.1124/pr.58.3.10.
- Lemos-Gonzalez, Y., Rodriguez-Berrocal, F. J., Cordero, O. J., Gomez, C., and Paez de la Cadena, M. (2007) Alteration of the serum levels of the epidermal growth factor receptor and its ligands in patients with non-small cell lung cancer and head and neck carcinoma, Br. J. Cancer, 96, 1569-1578, https://doi.org/10.1038/sj.bjc.6603770.
- Fan, Z., Shang, B. Y., Lu, Y., Chou, J. L., and Mendelsohn, J. (1997) Reciprocal changes in p27(Kip1) and p21(Cip1) in growth inhibition mediated by blockade or overstimulation of epidermal growth factor receptors, Clin. Cancer Res., 3, 1943-1948.
- Kamashev, D., Shaban, N., Lebedev, T., Prassolov, V., Suntsova, M., Raevskiy, M., Gaifullin, N., Sekacheva, M., Garazha, A., Poddubskaya, E., Sorokin, M., and Buzdin, A. (2023) Human blood serum can diminish EGFR-targeted inhibition of squamous carcinoma cell growth through reactivation of MAPK and EGFR pathways, Cells, 12, 2022, https://doi.org/10.3390/cells12162022.
- Duhamel, S., Goyette, M. A., Thibault, M. P., Filion, D., Gaboury, L., and Cote, J. F. (2018) The E3 ubiquitin ligase HectD1 suppresses EMT and metastasis by targeting the +TIP ACF7 for degradation, Cell Rep., 22, 1016-1030, https://doi.org/10.1016/j.celrep.2017.12.096.
- Stemmler, M. P., Eccles, R. L., Brabletz, S., and Brabletz, T. (2019) Non-redundant functions of EMT transcription factors, Nat. Cell Biol., 21, 102-112, https://doi.org/10.1038/s41556-018-0196-y.
- Delghandi, M. P., Johannessen, M., and Moens, U. (2005) The cAMP signalling pathway activates CREB through PKA, p38 and MSK1 in NIH 3T3 cells, Cell Signal., 17, 1343-1351, https://doi.org/10.1016/j.cellsig.2005.02.003.
- Zhang, H., Kong, Q., Wang, J., Jiang, Y., and Hua, H. (2020) Complex roles of cAMP-PKA-CREB signaling in cancer, Exp. Hematol. Oncol., 9, 32, https://doi.org/10.1186/s40164-020-00191-1.
- Shcheblyakov, D. V., Logunov, D. Y., Tukhvatulin, A. I., Shmarov, M. M., Naroditsky, B. S., and Gintsburg, A. L. (2010) Toll-like receptors (TLRs): the role in tumor progression, Acta Naturae, 2, 21-29, https://doi.org/10.32607/ 20758251-2010-2-3-21-29.
- Urban-Wojciuk, Z., Khan, M. M., Oyler, B. L., Fahraeus, R., Marek-Trzonkowska, N., Nita-Lazar, A., Hupp, T. R., and Goodlett, D. R. (2019) The role of TLRs in anti-cancer immunity and tumor rejection, Front. Immunol., 10, 2388, https://doi.org/10.3389/fimmu.2019.02388.
- Yusuf, N. (2014) Toll-like receptor mediated regulation of breast cancer: a case of mixed blessings, Front. Immunol., 5, 224, https://doi.org/10.3389/fimmu.2014.00224.
- Ganjoo, K. N., and Wakelee, H. (2007) Review of erlotinib in the treatment of advanced non-small cell lung cancer, Biologics, 1, 335-346.
- Hsu, H. C., Thiam, T. K., Lu, Y. J., Yeh, C. Y., Tsai, W. S., You, J. F., Hung, H. Y., Tsai, C. N., Hsu, A., Chen, H. C., Chen, S. J., and Yang, T. S. (2016) Mutations of KRAS/NRAS/BRAF predict cetuximab resistance in metastatic colorectal cancer patients, Oncotarget, 7, 22257-22270, https://doi.org/10.18632/oncotarget.8076.
- Buzdin, A., Sorokin, M., Garazha, A., Glusker, A., Aleshin, A., Poddubskaya, E., Sekacheva, M., Kim, E., Gaifullin, N., Giese, A., Seryakov, A., Rumiantsev, P., Moshkovskii, S., and Moiseev, A. (2020) RNA sequencing for research and diagnostics in clinical oncology, Semin. Cancer Biol., 60, 311-323, https://doi.org/10.1016/j.semcancer.2019.07.010.
- Kim, E. L., Sorokin, M., Kantelhardt, S. R., Kalasauskas, D., Sprang, B., Fauss, J., Ringel, F., Garazha, A., Albert, E., Gaifullin, N., Hartmann, C., Naumann, N., Bikar, S. E., Giese, A., and Buzdin, A. (2020) Intratumoral heterogeneity and longitudinal changes in gene expression predict differential drug sensitivity in newly diagnosed and recurrent glioblastoma, Cancers (Basel), 12, 520, https://doi.org/10.3390/cancers12020520.
- Sorokin, M., Gorelyshev, A., Efimov, V., Zotova, E., Zolotovskaia, M., Rabushko, E., Kuzmin, D., Seryakov, A., Kamashev, D., Li, X., Poddubskaya, E., Suntsova, M., and Buzdin, A. (2021) RNA sequencing data for FFPE tumor blocks can be used for robust estimation of tumor mutation burden in individual biosamples, Front. Oncol., 11, 732644, https://doi.org/10.3389/fonc.2021.732644.
- Sorokin, M., Ignatev, K., Poddubskaya, E., Vladimirova, U., Gaifullin, N., Lantsov, D., Garazha, A., Allina, D., Suntsova, M., Barbara, V., and Buzdin, A. (2020) RNA sequencing in comparison to immunohistochemistry for measuring cancer biomarkers in breast cancer and lung cancer specimens, Biomedicines, 8, 114, https://doi.org/10.3390/ biomedicines8050114.
- Yonesaka, K., Takegawa, N., Satoh, T., Ueda, H., Yoshida, T., Takeda, M., Shimizu, T., Chiba, Y., Okamoto, I., Nishio, K., Tamura, T., and Nakagawa, K. (2015) Combined analysis of plasma amphiregulin and heregulin predicts response to cetuximab in metastatic colorectal cancer, PLoS One, 10, e0143132, https://doi.org/10.1371/journal.pone.0143132.
- Zolotovskaia, M. A., Tkachev, V. S., Seryakov, A. P., Kuzmin, D. V., Kamashev, D. E., Sorokin, M. I., Roumiantsev, S. A., and Buzdin, A. A. (2020) Mutation enrichment and transcriptomic activation signatures of 419 molecular pathways in cancer, Cancers (Basel), 12, 271, https://doi.org/10.3390/cancers12020271.
- Buzdin, A., Sorokin, M., Garazha, A., Sekacheva, M., Kim, E., Zhukov, N., Wang, Y., Li, X., Kar, S., Hartmann, C., Samii, A., Giese, A., and Borisov, N. (2018) Molecular pathway activation - New type of biomarkers for tumor morphology and personalized selection of target drugs, Semin. Cancer Biol., 53, 110-124, https://doi.org/10.1016/ j.semcancer.2018.06.003.
- Vladimirova, U., Rumiantsev, P., Zolotovskaia, M., Albert, E., Abrosimov, A., Slashchuk, K., Nikiforovich, P., Chukhacheva, O., Gaifullin, N., Suntsova, M., Zakharova, G., Glusker, A., Nikitin, D., Garazha, A., Li, X., Kamashev, D., Drobyshev, A., Kochergina-Nikitskaya, I., Sorokin, M., and Buzdin, A. (2021) DNA repair pathway activation features in follicular and papillary thyroid tumors, interrogated using 95 experimental RNA sequencing profiles, Heliyon, 7, e06408, https://doi.org/10.1016/j.heliyon.2021.e06408.
- Tang, L., Wang, Y., Strom, A., Gustafsson, J. A., and Guan, X. (2013) Lapatinib induces p27(Kip1)-dependent G(1) arrest through both transcriptional and post-translational mechanisms, Cell Cycle, 12, 2665-2674, https://doi.org/ 10.4161/cc.25728.
- Stuhlmiller, T. J., Miller, S. M., Zawistowski, J. S., Nakamura, K., Beltran, A. S., Duncan, J. S., Angus, S. P., Collins, K. A., Granger, D. A., Reuther, R. A., Graves, L. M., Gomez, S. M., Kuan, P. F., Parker, J. S., Chen, X., Sciaky, N., Carey, L. A., Earp, H. S., Jin, J., and Johnson, G. L. (2015) Inhibition of lapatinib-induced kinome reprogramming in ERBB2-positive breast cancer by targeting BET family bromodomains, Cell Rep., 11, 390-404, https://doi.org/10.1016/j.celrep.2015.03.037.
- Zhou, H., Zhao, C., Shao, R., Xu, Y., and Zhao, W. (2023) The functions and regulatory pathways of S100A8/A9 and its receptors in cancers, Front. Pharmacol., 14, 1187741, https://doi.org/10.3389/fphar.2023.1187741.
- Tanigawa, K., Tsukamoto, S., Koma, Y. I., Kitamura, Y., Urakami, S., Shimizu, M., Fujikawa, M., Kodama, T., Nishio, M., Shigeoka, M., Kakeji, Y., and Yokozaki, H. (2022) S100A8/A9 induced by interaction with macrophages in esophageal squamous cell carcinoma promotes the migration and invasion of cancer cells via Akt and p38 MAPK pathways, Am. J. Pathol., 192, 536-552, https://doi.org/10.1016/j.ajpath.2021.12.002.
- Braams, E., and D’Angiolella, V. (2018) Keeping CDK18 in balance to prevent DNA replication stress in breast cancer, Oncotarget, 9, 37610-37611, https://doi.org/10.18632/oncotarget.26517.
- Dziobek, K., Oplawski, M., Grabarek, B., Zmarzly, N., Januszyk, P., Adwent, I., Dabrus, D., Lesniak, E., Kielbasinski, R., Kieszkowski, P., and Boron, D. (2019) Expression of semaphorin 3B (SEMA3B) in various grades of endometrial cancer, Med. Sci. Monit., 25, 4569-4574, https://doi.org/10.12659/MSM.916762.
- Wang, J., Zhao, S., Sun, J., Wang, X., Guan, M., Yin, J., and Tang, B. (2023) Oncogenic role and potential regulatory mechanism of fatty acid binding protein 5 based on a pan-cancer analysis, Sci. Rep., 13, 4060, https://doi.org/ 10.1038/s41598-023-30695-9.
- Fuselier, T. T., and Lu, H. (2020) PHLD class proteins: a family of new players in the p53 network, Int. J. Mol. Sci., 21, 3543, https://doi.org/10.3390/ijms21103543.
- Linares, A., Assou, S., Lapierre, M., Thouennon, E., Duraffourd, C., Fromaget, C., Boulahtouf, A., Tian, G., Ji, J., Sahin, O., Badia, E., Boulle, N., and Cavailles, V. (2019) Increased expression of the HDAC9 gene is associated with antiestrogen resistance of breast cancers, Mol. Oncol., 13, 1534-1547, https://doi.org/10.1002/1878-0261.12505.
- Luo, B., Yan, D., Yan, H., and Yuan, J. (2021) Cytochrome P450: Implications for human breast cancer, Oncol. Lett., 22, 548, https://doi.org/10.3892/ol.2021.12809.
- Ding, C. B., Yu, W. N., Feng, J. H., and Luo, J. M. (2015) Structure and function of Gab2 and its role in cancer (review), Mol. Med. Rep., 12, 4007-4014, https://doi.org/10.3892/mmr.2015.3951.
- Bentires-Alj, M., Gil, S. G., Chan, R., Wang, Z. C., Wang, Y., Imanaka, N., Harris, L. N., Richardson, A., Neel, B. G., and Gu, H. (2006) A role for the scaffolding adapter GAB2 in breast cancer, Nat. Med., 12, 114-121, https://doi.org/ 10.1038/nm1341.
- Zhang, P., Chen, Y., Gong, M., Zhuang, Z., Wang, Y., Mu, L., Wang, T., Pan, J., Liu, Y., Xu, J., Liang, R., and Yuan, Y. (2018) Gab2 ablation reverses the stemness of HER2-overexpressing breast cancer cells, Cell Physiol. Biochem., 50, 52-65, https://doi.org/10.1159/000493957.
- Bera, T. K., Iavarone, C., Kumar, V., Lee, S., Lee, B., and Pastan, I. (2002) MRP9, an unusual truncated member of the ABC transporter superfamily, is highly expressed in breast cancer, Proc. Natl. Acad. Sci. USA, 99, 6997-7002, https://doi.org/10.1073/pnas.102187299.
- Jezierska, A., Matysiak, W., and Motyl, T. (2006) ALCAM/CD166 protects breast cancer cells against apoptosis and autophagy, Med. Sci. Monit., 12, BR263-BR273.
- Burkhardt, M., Mayordomo, E., Winzer, K. J., Fritzsche, F., Gansukh, T., Pahl, S., Weichert, W., Denkert, C., Guski, H., Dietel, M., and Kristiansen, G. (2006) Cytoplasmic overexpression of ALCAM is prognostic of disease progression in breast cancer, J. Clin. Pathol., 59, 403-409, https://doi.org/10.1136/jcp.2005.028209.
Supplementary files
 
				
			 
					 
						 
						 
						 
						 
				
 
  
  
  Email this article
			Email this article 











