Astaxanthin Reduces Н2O2- and Doxorubicin-Induced Cardiotoxicity in H9c2 Cardiomyocyte Cells
- Авторлар: Krestinin R.R.1, Kobyakova M.I.1, Baburina Y.L.1, Sotnikova L.D.1, Krestinina O.V.1
- 
							Мекемелер: 
							- Institute of Theoretical and Experimental Biophysics of the Russian Academy of Sciences
 
- Шығарылым: Том 89, № 10 (2024)
- Беттер: 1731-1743
- Бөлім: Regular articles
- URL: https://journal-vniispk.ru/0320-9725/article/view/280909
- DOI: https://doi.org/10.31857/S0320972524100084
- EDN: https://elibrary.ru/IPAQQW
- ID: 280909
Дәйексөз келтіру
Аннотация
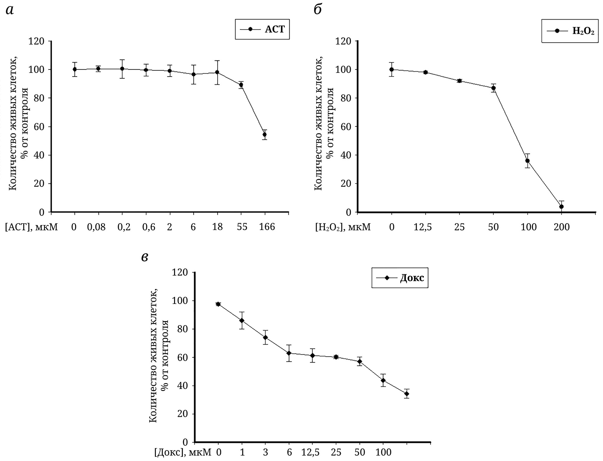
Cardiovascular diseases are one of the most challenging problems in clinical practice. Astaxanthin (AST) is a keto-carotenoid (xanthophyll) mainly of marine origin, which is able to penetrate the cell membrane, localize in the mitochondria and prevent mitochondrial dysfunction. The present study examined the effect of astaxanthin on the death of H9c2 cardiomyocytes caused by the cytotoxic effect of hydrogen peroxide (H2O2) and doxorubicin. Using the methods of spectrophotometry, spectrofluorimetry, and Western blotting analysis, it was shown that treatment of cells with AST contributed to an increase in the number of H9c2 cells resistant to H2O2 and doxorubicin, while maintaining the value of their mitochondrial transmembrane potential, reducing the intracellular production of reactive oxygen species and an increase in the intracellular content of mitophagy markers PINK1, Parkin and prohibitin 2. The obtained results suggest that the use of AST may be a highly effective way to prevent and treat cardiovascular diseases.
Негізгі сөздер
Толық мәтін
 
												
	                        Авторлар туралы
R. Krestinin
Institute of Theoretical and Experimental Biophysics of the Russian Academy of Sciences
							Хат алмасуға жауапты Автор.
							Email: ovkres@mail.ru
				                					                																			                												                	Руанда, 							142290, Pushchino, Moscow Region						
M. Kobyakova
Institute of Theoretical and Experimental Biophysics of the Russian Academy of Sciences
														Email: ovkres@mail.ru
				                					                																			                												                	Ресей, 							142290, Pushchino, Moscow Region						
Yu. Baburina
Institute of Theoretical and Experimental Biophysics of the Russian Academy of Sciences
														Email: ovkres@mail.ru
				                					                																			                												                	Ресей, 							142290, Pushchino, Moscow Region						
L. Sotnikova
Institute of Theoretical and Experimental Biophysics of the Russian Academy of Sciences
														Email: ovkres@mail.ru
				                					                																			                												                	Ресей, 							142290, Pushchino, Moscow Region						
O. Krestinina
Institute of Theoretical and Experimental Biophysics of the Russian Academy of Sciences
														Email: ovkres@mail.ru
				                					                																			                												                	Ресей, 							142290, Pushchino, Moscow Region						
Әдебиет тізімі
- Peoples, J. N., Saraf, A., Ghazal, N., Pham, T. T., and Kwong, J. Q. (2019) Mitochondrial dysfunction and oxidative stress in heart disease, Exp. Mol. Med., 51, 1-13, https://doi.org/10.1038/s12276-019-0355-7.
- Bullon, P., Newman, H. N., and Battino, M. (2014) Obesity, diabetes mellitus, atherosclerosis and chronic periodontitis: a shared pathology via oxidative stress and mitochondrial dysfunction? Periodontol. 2000, 64, 139-153, https://doi.org/10.1111/j.1600-0757.2012.00455.x.
- Hernandez-Aguilera, A., Rull, A., Rodriguez-Gallego, E., Riera-Borrull, M., Luciano-Mateo, F., Camps, J., Menendez, J. A., and Joven, J. (2013) Mitochondrial dysfunction: a basic mechanism in inflammation-related non-communicable diseases and therapeutic opportunities, Mediators Inflamm., 2013, 135698, https://doi.org/10.1155/ 2013/135698.
- Kim, S. H., and Kim, H. (2018) Inhibitory effect of astaxanthin on oxidative stress-induced mitochondrial dysfunction-a mini-review, Nutrients, 10, https://doi.org/10.3390/nu10091137.
- Griffiths, E. J. (2012) Mitochondria and heart disease, Adv. Exp. Med. Biol., 942, 249-267, https://doi.org/10.1007/ 978-94-007-2869-1_11.
- Tsutsui, H., Kinugawa, S., and Matsushima, S. (2008) Oxidative stress and mitochondrial DNA damage in heart failure, Circ. J., 72 Suppl A, A31-A37, https://doi.org/10.1253/circj.cj-08-0014.
- Li, W., He, P., Huang, Y., Li, Y. F., Lu, J., Li, M., Kurihara, H., Luo, Z., Meng, T., Onishi, M., Ma, C., Jiang, L., Hu, Y., Gong, Q., Zhu, D., Xu, Y., Liu, R., Liu, L., Yi, C., Zhu, Y., Ma, N., Okamoto, K., Xie, Z., Liu, J., He, R.-R., and Feng, D. (2021) Selective autophagy of intracellular organelles: recent research advances, Theranostics, 11, 222-256, https://doi.org/10.7150/thno.49860.
- Ashrafi, G., and Schwarz, T. L. (2013) The pathways of mitophagy for quality control and clearance of mitochondria, Cell Death Differ., 20, 31-42, https://doi.org/10.1038/cdd.2012.81.
- Vives-Bauza, C., Zhou, C., Huang, Y., Cui, M., de Vries, R. L., Kim, J., May, J., Tocilescu, M. A., Liu, W., Ko, H. S., Magrane, J., Moore, D. J., Dawson, V. L., Grailhe, R., Dawson, T. M., Li, C., Tieu, K., and Przedborski, S. (2010) PINK1-dependent recruitment of Parkin to mitochondria in mitophagy, Proc. Natl. Acad. Sci. USA, 107, 378-383, https://doi.org/10.1073/pnas.0911187107.
- Chen, M., Chen, Z., Wang, Y., Tan, Z., Zhu, C., Li, Y., Han, Z., Chen, L., Gao, R., Liu, L., and Chen, Q. (2016) Mitophagy receptor FUNDC1 regulates mitochondrial dynamics and mitophagy, Autophagy, 12, 689-702, https://doi.org/10.1080/15548627.2016.1151580.
- Zhu, Y., Massen, S., Terenzio, M., Lang, V., Chen-Lindner, S., Eils, R., Novak, I., Dikic, I., Hamacher-Brady, A., and Brady, N. R. (2013) Modulation of serines 17 and 24 in the LC3-interacting region of Bnip3 determines pro-survival mitophagy versus apoptosis, J. Biol. Chem., 288, 1099-1113, https://doi.org/10.1074/jbc. M112.399345.
- Wei, Y., Chiang, W. C., Sumpter, R., Jr., Mishra, P., and Levine, B. (2017) Prohibitin 2 is an inner mitochondrial membrane mitophagy receptor, Cell, 168, 224-238.e210, https://doi.org/10.1016/j.cell.2016.11.042.
- Fassett, R. G., and Coombes, J. S. (2011) Astaxanthin: a potential therapeutic agent in cardiovascular disease, Mar. Drugs, 9, 447-465, https://doi.org/10.3390/md9030447.
- Song, X., Wang, B., Lin, S., Jing, L., Mao, C., Xu, P., Lv, C., Liu, W., and Zuo, J. (2014) Astaxanthin inhibits apoptosis in alveolar epithelial cells type II in vivo and in vitro through the ROS-dependent mitochondrial signalling pathway, J. Cell Mol. Med., 18, 2198-2212, https://doi.org/10.1111/jcmm.12347.
- Fan, C. D., Sun, J. Y., Fu, X. T., Hou, Y. J., Li, Y., Yang, M. F., Fu, X. Y., and Sun, B. L. (2017) Astaxanthin attenuates homocysteine-induced cardiotoxicity in vitro and in vivo by inhibiting mitochondrial dysfunction and oxidative damage, Front. Physiol., 8, 1041, https://doi.org/10.3389/fphys.2017.01041.
- Liu, X., Shibata, T., Hisaka, S., and Osawa, T. (2009) Astaxanthin inhibits reactive oxygen species-mediated cellular toxicity in dopaminergic SH-SY5Y cells via mitochondria-targeted protective mechanism, Brain Res., 1254, 18-27, https://doi.org/10.1016/j.brainres.2008.11.076.
- Akila, P., Asaikumar, L., and Vennila, L. (2017) Chlorogenic acid ameliorates isoproterenol-induced myocardial injury in rats by stabilizing mitochondrial and lysosomal enzymes, Biomed. Pharmacother., 85, 582-591, https://doi.org/10.1016/j.biopha.2016.11.067.
- Feng, W., and Li, W. (2010) The study of ISO induced heart failure rat model, Exp. Mol. Pathol., 88, 299-304, https://doi.org/10.1016/j.yexmp.2009.10.011.
- Odinokova, I., Baburina, Y., Kruglov, A., Fadeeva, I., Zvyagina, A., Sotnikova, L., Akatov, V., and Krestinina, O. (2018) Effect of melatonin on rat heart mitochondria in acute heart failure in aged rats, Int. J. Mol. Sci., 19, https://doi.org/10.3390/ijms19061555.
- Baburina, Y., Krestinin, R., Odinokova, I., Sotnikova, L., Kruglov, A., and Krestinina, O. (2019) Astaxanthin inhibits mitochondrial permeability transition pore opening in rat heart mitochondria, Antioxidants (Basel), 8, https://doi.org/10.3390/antiox8120576.
- Krestinin, R., Baburina, Y., Odinokova, I., Kruglov, A., Fadeeva, I., Zvyagina, A., Sotnikova, L., and Krestinina, O. (2020) Isoproterenol-induced permeability transition pore-related dysfunction of heart mitochondria is attenuated by astaxanthin, Biomedicines, 8, 437, https://doi.org/10.3390/biomedicines8100437.
- Krestinina, O., Baburina, Y., and Krestinin, R. (2021) Mitochondrion as a target of astaxanthin therapy in heart failure, Int. J. Mol. Sci., 22, https://doi.org/10.3390/ijms22157964.
- Krestinina, O., Baburina, Y., Krestinin, R., Odinokova, I., Fadeeva, I., and Sotnikova, L. (2020) Astaxanthin prevents mitochondrial impairment induced by isoproterenol in isolated rat heart mitochondria, Antioxidants (Basel), 9, 262, https://doi.org/10.3390/antiox9030262.
- Kim, D. E., Kim, B., Shin, H. S., Kwon, H. J., and Park, E. S. (2014) The protective effect of hispidin against hydrogen peroxide-induced apoptosis in H9c2 cardiomyoblast cells through Akt/GSK-3beta and ERK1/2 signaling pathway, Exp. Cell Res., 327, 264-275, https://doi.org/10.1016/j.yexcr.2014.07.037.
- Carvalho, C., Santos, R. X., Cardoso, S., Correia, S., Oliveira, P. J., Santos, M. S., and Moreira, P. I. (2009) Doxorubicin: the good, the bad and the ugly effect, Curr. Med. Chem., 16, 3267-3285, https://doi.org/10.2174/ 092986709788803312.
- Kruger, N. J. (1994) The Bradford method for protein quantitation, Methods Mol. Biol., 32, 9-15, https:// doi.org/10.1385/0-89603-268-X:9.
- Baburina, Y., Krestinin, R., Fedorov, D., Odinokova, I., Pershina, E., Sotnikova, L., and Krestinina, O. (2022) The improvement of functional state of brain mitochondria with astaxanthin in rats after heart failure, Int. J. Mol. Sci., 24, https://doi.org/10.3390/ijms24010031.
- Крестинин Р. Р., Бабурина Ю. Л., Одинокова И. В., Сотникова Л. Д., Крестинина О. В. (2024) Астаксантин предотвращает дисрегуляцию митохондриальной динамики в митохондриях мозга крыс, индуцированную изопротеренолом, Биофизика, 69, 90-102.
- Carpenter, K. L., Kirkpatrick, P. J., Weissberg, P. L., Challis, I. R., Dennis, I. F., Freeman, M. A., and Mitchinson, M. J. (2003) Oral alpha-tocopherol supplementation inhibits lipid oxidation in established human atherosclerotic lesions, Free Radic Res., 37, 1235-1244, https://doi.org/10.1080/10715760310001604143.
- Ellingsen, I., Seljeflot, I., Arnesen, H., and Tonstad, S. (2009) Vitamin C consumption is associated with less progression in carotid intima media thickness in elderly men: a 3-year intervention study, Nutr. Metab. Cardiovasc. Dis., 19, 8-14, https://doi.org/10.1016/j.numecd.2008.01.006.
- Xuan, R. R., Niu, T. T., and Chen, H. M. (2016) Astaxanthin blocks preeclampsia progression by suppressing oxidative stress and inflammation, Mol. Med. Rep., 14, 2697-2704, https://doi.org/10.3892/mmr. 2016.5569.
- Krestinin, R., Baburina, Y., Odinokova, I., Kruglov, A., Sotnikova, L., and Krestinina, O. (2023) The effect of astaxanthin on mitochondrial dynamics in rat heart mitochondria under iso-induced injury, Antioxidants (Basel), 12, https://doi.org/10.3390/antiox12061247.
- Krestinina, O., Odinokova, I., Sotnikova, L., Krestinin, R., Zvyagina, A., and Baburina, Y. (2022) Astaxanthin is able to prevent alcohol-induced dysfunction of liver mitochondria, Antioxidants (Basel), 11, 2019, https:// doi.org/10.3390/antiox11102019.
- Abdelzaher, L. A., Imaizumi, T., Suzuki, T., Tomita, K., Takashina, M., and Hattori, Y. (2016) Astaxanthin alleviates oxidative stress insults-related derangements in human vascular endothelial cells exposed to glucose fluctuations, Life Sci., 150, 24-31, https://doi.org/10.1016/j.lfs.2016.02.087.
- Mijaljica, D., Prescott, M., and Devenish, R. (2014) Mitophagy: An Overview, in Autophagy: Cancer, Other Pathologies, Inflammation, Immunity, Infection, and Aging, Academic Press, pp. 103-116.
- Lazarou, M., Jin, S. M., Kane, L. A., and Youle, R. J. (2012) Role of PINK1 binding to the TOM complex and alternate intracellular membranes in recruitment and activation of the E3 ligase Parkin, Dev. Cell, 22, 320-333, https://doi.org/10.1016/j.devcel.2011.12.014.
- Jin, S. M., Lazarou, M., Wang, C., Kane, L. A., Narendra, D. P., and Youle, R. J. (2010) Mitochondrial membrane potential regulates PINK1 import and proteolytic destabilization by PARL, J. Cell Biol., 191, 933-942, https:// doi.org/10.1083/jcb.201008084.
- Narendra, D., Tanaka, A., Suen, D. F., and Youle, R. J. (2008) Parkin is recruited selectively to impaired mitochondria and promotes their autophagy, J. Cell Biol., 183, 795-803, https://doi.org/10.1083/jcb.200809125.
- Billia, F., Hauck, L., Konecny, F., Rao, V., Shen, J., and Mak, T. W. (2011) PTEN-inducible kinase 1 (PINK1)/Park6 is indispensable for normal heart function, Proc. Natl. Acad. Sci. USA, 108, 9572-9577, https://doi.org/10.1073/pnas.1106291108.
- Yan, C., Gong, L., Chen, L., Xu, M., Abou-Hamdan, H., Tang, M., Desaubry, L., and Song, Z. (2020) PHB2 (prohibitin 2) promotes PINK1-PRKN/Parkin-dependent mitophagy by the PARL-PGAM5-PINK1 axis, Autophagy, 16, 419-434, https://doi.org/10.1080/15548627.2019.1628520.
Қосымша файлдар
 
				
			 
						 
					 
						 
						 
						 
									
 
  
  
  Мақаланы E-mail арқылы жіберу
			Мақаланы E-mail арқылы жіберу 
 Ашық рұқсат
		                                Ашық рұқсат Рұқсат берілді
						Рұқсат берілді





