Purmorphamine Affects Anxiety-Like Behavior and Expressions of Hedgehog Pathway Components in Rat Brain after Withdrawal
- Authors: Peregud D.I.1,2, Shirobokova N.I.2, Kvichansky A.A.2, Stepanichev M.Y.2, Gulyaeva N.V.2,3
- 
							Affiliations: 
							- Serbsky National Medical Research Center for Psychiatry and Drug Addiction
- Institute of Higher Nervous Activity and Neurophysiology of the Russian Academy of Sciences
- Research and Clinical Center for Neuropsychiatry of Moscow Healthcare Department
 
- Issue: Vol 89, No 11 (2024)
- Pages: 1856-1869
- Section: Articles
- URL: https://journal-vniispk.ru/0320-9725/article/view/282281
- DOI: https://doi.org/10.31857/S0320972524110087
- EDN: https://elibrary.ru/IKNTUB
- ID: 282281
Cite item
Abstract
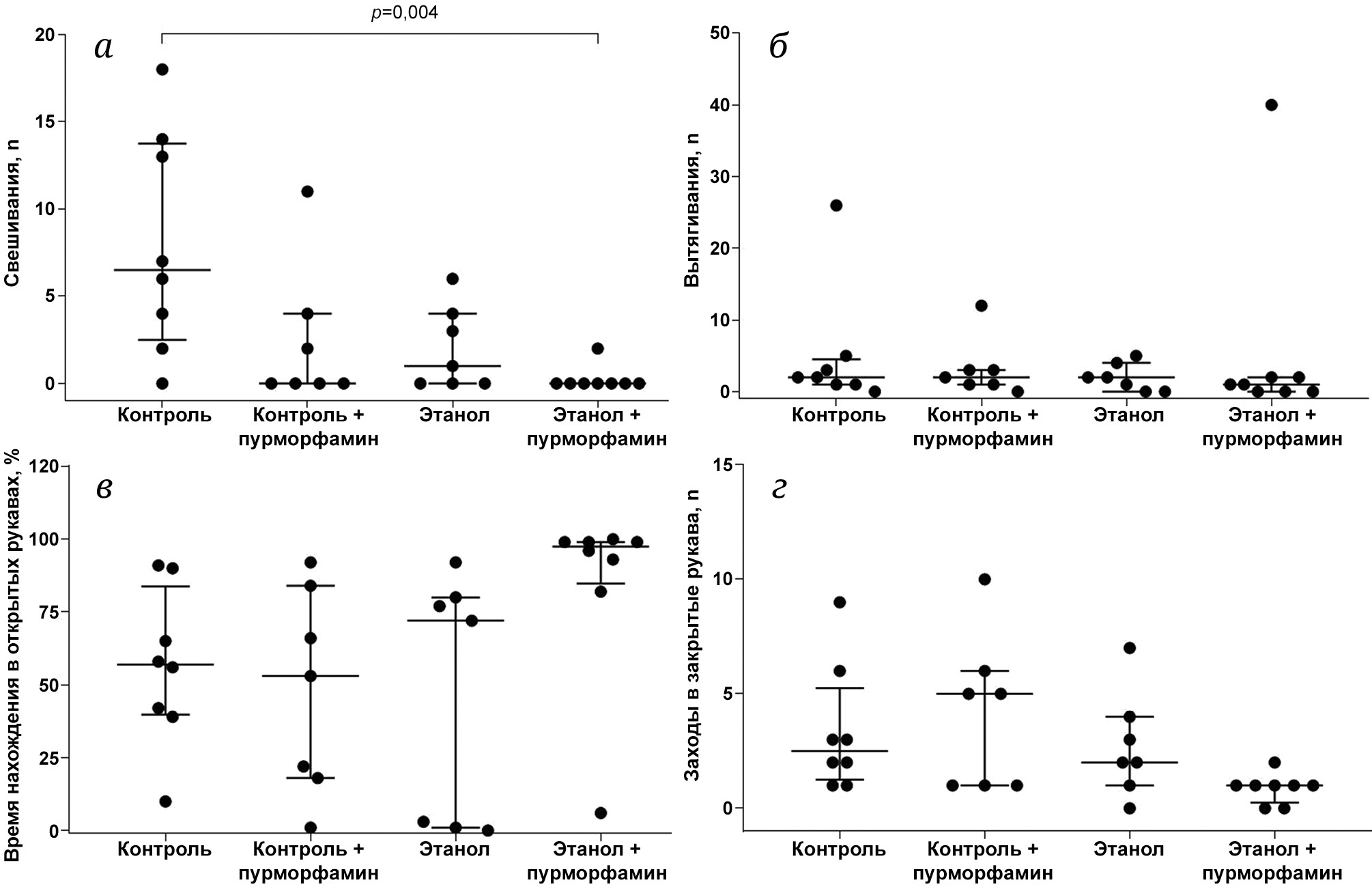
The Hedgehog (Hh) pathway underlies fetal alcohol syndrome during prenatal alcohol exposure. The involvement of Hh in the mechanisms of alcohol consumption in adulthood remains obscure. We aimed to investigate a role of Hh cascade in voluntary ethanol drinking, anxiety-like behavior during early abstinence and changes in expressions of Hh cascade components in brain regions. Intermittent access to 20% ethanol in a two-bottle choice procedure has been used to model voluntary alcohol drinking in Wistar male rats. Purmorphamine, an activator of the Hh cascade that exhibits Smoothened (Smo) receptor agonist properties, was administered systemically at a dose of 5 mg/kg before drinking sessions from 16 to 20. Purmorphamine had no effect on the level of ethanol preference, but the group with access to alcohol and receiving purmorphamine showed a change in anxiety-like behavior during early withdrawal period. Alcohol consumption affected Sonic hedgehog (Shh) and Patched (Ptch) mRNA content only in the amygdala. In the group that had access to ethanol and received purmorphamine, Shh mRNA levels in the amygdala were negatively correlated with time spent in the open arms of the elevated plus maze in the test of anxiety-like behavior. Thus, it was demonstrated for the first time that alterations of the Hh cascade by purmorphamine administration does not affect voluntary alcohol drinking, but Hh is possibly involved in the formation of anxiety during early withdrawal through specific changes in Hh cascade components in the amygdala.
Keywords
Full Text
 
												
	                        About the authors
D. I. Peregud
Serbsky National Medical Research Center for Psychiatry and Drug Addiction; Institute of Higher Nervous Activity and Neurophysiology of the Russian Academy of Sciences
							Author for correspondence.
							Email: peregud_d@yahoo.com
				                					                																			                												                	Russian Federation, 							119034, Moscow; 117485, Moscow						
N. I. Shirobokova
Institute of Higher Nervous Activity and Neurophysiology of the Russian Academy of Sciences
														Email: peregud_d@yahoo.com
				                					                																			                												                	Russian Federation, 							117485, Moscow						
A. A. Kvichansky
Institute of Higher Nervous Activity and Neurophysiology of the Russian Academy of Sciences
														Email: peregud_d@yahoo.com
				                					                																			                												                	Russian Federation, 							117485, Moscow						
M. Yu. Stepanichev
Institute of Higher Nervous Activity and Neurophysiology of the Russian Academy of Sciences
														Email: peregud_d@yahoo.com
				                					                																			                												                	Russian Federation, 							117485, Moscow						
N. V. Gulyaeva
Institute of Higher Nervous Activity and Neurophysiology of the Russian Academy of Sciences; Research and Clinical Center for Neuropsychiatry of Moscow Healthcare Department
														Email: peregud_d@yahoo.com
				                					                																			                												                	Russian Federation, 							117485, Moscow; 115419, Moscow						
References
- Briscoe, J., and Thérond, P. P. (2013) The mechanisms of Hedgehog signalling and its roles in development and disease, Nat. Rev. Mol. Cell. Biol., 14, 416-429, https://doi.org/10.1038/nrm3598.
- Zhang, Y., and Beachy, P. A. (2023) Cellular and molecular mechanisms of Hedgehog signalling, Nat. Rev. Mol. Cell. Biol., 24, 668-687, https://doi.org/10.1038/s41580-023-00591-1.
- Jing, J., Wu, Z., Wang, J., Luo, G., Lin, H., Fan, Y., and Zhou, C. (2023) Hedgehog signaling in tissue homeostasis, cancers, and targeted therapies, Signal Transduct. Target Ther., 8, 315, https://doi.org/10.1038/s41392-023-01559-5.
- Chen, S. D., Yang, J. L., Hwang, W. C., and Yang, D. I. (2018) Emerging roles of sonic Hedgehog in adult neurological diseases: neurogenesis and beyond, Int. J. Mol. Sci., 19, 2423, https://doi.org/10.3390/ijms19082423.
- Yao, P. J., Petralia, R. S., and Mattson, M. P. (2016) Sonic Hedgehog signaling and hippocampal neuroplasticity, Trends Neurosci., 39, 840-850, https://doi.org/10.1016/j.tins.2016.10.001.
- Patel, S. S., Tomar, S., Sharma, D., Mahindroo, N., and Udayabanu, M. (2017) Targeting sonic hedgehog signaling in neurological disorders, Neurosci. Biobehav. Rev., 74, 76-97, https://doi.org/10.1016/j.neubiorev.2017.01.008.
- Sinha, S., and Chen, J. K. (2006) Purmorphamine activates the Hedgehog pathway by targeting Smoothened, Nat. Chem. Biol., 2, 29-30, https://doi.org/10.1038/nchembio753.
- Chechneva, O. V., Mayrhofer, F., Daugherty, D. J., Krishnamurty, R. G., Bannerman, P., Pleasure, D. E., and Deng, W. (2014) A Smoothened receptor agonist is neuroprotective and promotes regeneration after ischemic brain injury, Cell Death Dis., 5, e1481, https://doi.org/10.1038/cddis.2014.446.
- Liu, D., Bai, X., Ma, W., Xin, D., Chu, X., Yuan, H., Qiu, J., Ke, H., Yin, S., Chen, W., and Wang, Z. (2020) Purmorphamine attenuates neuro-inflammation and synaptic impairments after hypoxic-ischemic injury in neonatal mice via shh signaling, Front. Pharmacol., 11, 204, https://doi.org/10.3389/fphar.2020.00204
- Rahi, S., Gupta, R., Sharma, A., and Mehan, S. (2021) Smo–Shh signaling activator purmorphamine ameliorates neurobehavioral, molecular, and morphological alterations in an intracerebroventricular propionic acid-induced experimental model of autism, Hum. Exp. Toxicol., 40, 1880-1898, https://doi.org/10.1177/ 09603271211013456.
- Prajapati, A., Mehan, S., Khan, Z., Chhabra, S., and Das Gupta, G. (2024) Purmorphamine, a Smo–Shh/Gli activator, promotes sonic hedgehog-mediated neurogenesis and restores behavioural and neurochemical deficits in experimental model of multiple sclerosis, Neurochem. Res., 49, 1556-1576, https://doi.org/10.1007/s11064023-04082-9.
- Egervari, G., Siciliano, C. A., Whiteley, E. L., and Ron, D. (2021) Alcohol and the brain: from genes to circuits, Trends Neurosci., 44, 1004-1015, https://doi.org/10.1016/j.tins.2021.09.006.
- Gilpin, N. W., and Koob, G. F. (2008) Neurobiology of alcohol dependence: focus on motivational mechanisms, Alcohol Res. Health, 31, 185-195.
- Abrahao, K. P., Salinas, A. G., and Lovinger, D. M. (2017) Alcohol and the brain: neuronal molecular targets, synapses, and circuits, Neuron, 96, 1223-1238, https://doi.org/10.1016/j.neuron.2017.10.032.
- Fein, G., and Cardenas, V. A. (2015) Neuroplasticity in human alcoholism: studies of extended abstinence with potential treatment implications, Alcohol Res., 37, 125-141.
- Loheswaran, G., Barr, M. S., Rajji, T. K., Blumberger, D. M., Le Foll, B., and Daskalakis, Z. J. (2016) Alcohol intoxication by binge drinking impairs neuroplasticity, Brain Stimul., 9, 27-32, https://doi.org/ 10.1016/j.brs.2015.08.011.
- Smith, S. M., Garic, A., Flentke, G. R., and Berres, M. E. (2014) Neural crest development in fetal alcohol syndrome, Birth Defects Res C Embryo Today, 102, 210-220, https://doi.org/10.1002/bdrc.21078.
- Ehrhart, F., Roozen, S., Verbeek, J., Koek, G., Kok, G., van Kranen, H., Evelo, C. T., and Curfs, L. M. G (2018) Review and gap analysis: molecular pathways leading to fetal alcohol spectrum disorders, Mol. Psychiatry, 24, 10-17, https://doi.org/10.1038/s41380-018-0095-4.
- Peregud, D., Stepanichev, M., and Gulyaeva, N. (2021) Expression of the hippocampal PTCH during early abstinence is associated with drinking patterns in a rat model of voluntary alcohol intake, Neuroreport, 32, 757-761, https://doi.org/10.1097/WNR.0000000000001646.
- Carnicella, S., Ron, D., and Barak, S. (2014) Intermittent ethanol access schedule in rats as a preclinical model of alcohol abuse, Alcohol, 48, 243-252, https://doi.org/10.1016/j.alcohol.2014.01.006.
- Peregud, D., Kvichansky, A., Shirobokova, N., Stepanichev, M., and Gulyaeva, N. (2022) 7,8-DHF enhances SHH in the hippocampus and striatum during early abstinence but has minor effects on alcohol intake in IA2BC paradigm and abstinence-related anxiety-like behavior in rats, Neurosci. Lett., 781, 136671, https://doi.org/ 10.1016/j.neulet.2022.136671.
- Gupta, R., Mehan, S., Sethi, P., Prajapati, A., Alshammari, A., Alharbi, M., Al-Mazroua, H. A., and Narula. A. S. (2022) Smo–Shh agonist purmorphamine prevents neurobehavioral and neurochemical defects in 8-OH-DPAT-induced experimental model of obsessive-compulsive disorder, Brain Sci., 12, 342, https://doi.org/10.3390/ brainsci12030342.
- Wang, J., Ware, K., Bedolla, A., Allgire, E., Turcato, F. C., Weed, M., Sah, R., and Luo, Y. (2022) Disruption of sonic hedgehog signaling accelerates age-related neurogenesis decline and abolishes stroke-induced neurogenesis and leads to increased anxiety behavior in stroke mice, Transl. Stroke Res., 13, 830-844, https://doi.org/10.1007/s12975-022-00994-w.
- Sun, D., Deng, J., Wang, Y., Xie, J., Li, X., Li, X., Wang, X., Zhou, F., Qin, S., and Liu, X. (2023) SAG, a sonic hedgehog signaling agonist, alleviates anxiety behavior in high-fat diet-fed mice, Brain Res. Bull., 195, 25-36, https://doi.org/10.1016/j.brainresbull.2023.01.014.
- Koob, G. F., and Volkow, N. D. (2010) Neurocircuitry of addiction, Neuropsychopharmacology, 35, 217-238, https://doi.org/10.1038/npp.2009.110.
- Ron, D., and Barak, S. (2016) Molecular mechanisms underlying alcohol-drinking behaviours, Nat. Rev. Neurosci., 17, 576-591, https://doi.org/10.1038/nrn.2016.85.
- Simms, J. A., Steensland, P., Medina, B., Abernathy, K. E., Chandler, L. J., Wise, R., and Bartlett, S. E. (2008) Intermittent access to 20% ethanol induces high ethanol consumption in Long-Evans and Wistar rats, Alcohol Clin. Exp. Res., 32, 1816-1823, https://doi.org/10.1111/j.1530-0277.2008.00753.x.
- Desouza, L. A., Sathanoori, M., Kapoor, R., Rajadhyaksha, N., Gonzalez, L. E., Kottmann, A. H., Tole, S., and Vaidya, V. A. (2011) Thyroid hormone regulates the expression of the sonic hedgehog signaling pathway in the embryonic and adult mammalian brain, Endocrinology, 152, 1989-2000, https://doi.org/10.1210/ en.2010-1396.
- Rajendran, R., Jha, S., Fernandes, K. A., Banerjee, S. B., Mohammad, F., Dias, B. G., and Vaidya, V. A. (2009) Monoaminergic regulation of Sonic hedgehog signaling cascade expression in the adult rat hippocampus, Neurosci. Lett., 453, 190-194, https://doi.org/10.1016/j.neulet.2009.02.034.
- Rivell, A., Petralia, R. S., Wang, Y. X., Clawson, E., Moehl, K., Mattson, M. P., and Yao, P. J. (2019) Sonic hedgehog expression in the postnatal brain, Biol. Open, 8, bio040592, https://doi.org/10.1242/bio.040592.
- Peregud, D. I., Panchenko, L. F., and Gulyaeva, N. V. (2015) Elevation of BDNF exon I-specific transcripts in the frontal cortex and midbrain of rat during spontaneous morphine withdrawal is accompanied by enhanced pCreb1 occupancy at the corresponding promoter, Neurochem. Res., 40, 130-138, https://doi.org/10.1007/ s11064-014-1476-y.
- Pfaffl, M. W. (2001) A new mathematical model for relative quantification in real-time RT-PCR, Nucleic Acids Res., 29, e45, https://doi.org/10.1093/nar/29.9.e45.
- Wang, N., Liu, X., Li, X. T., Li, X. X., Ma, W., Xu, Y. M., Liu, Y., Gao, Q., Yang, T., Wang, H., Peng, Y., Zhu, X. F., and Guan, Y. Z. (2021) 7,8-Dihydroxyflavone alleviates anxiety-like behavior induced by chronic alcohol exposure in mice involving tropomyosin-related kinase B in the amygdala, Mol. Neurobiol., 58, 92-105, https://doi.org/10.1007/s12035-020-02111-0.
- Wang, X., Li, L., Bian, C., Bai, M., Yu, H., Gao, H., Zhao, J., Zhang, C., and Zhao, R. (2023) Alterations and correlations of gut microbiota, fecal, and serum metabolome characteristics in a rat model of alcohol use disorder, Front. Microbiol., 13, 1068825, https://doi.org/10.3389/fmicb.2022.1068825.
- Briones, T. L., and Woods, J. (2013) Chronic binge-like alcohol consumption in adolescence causes depression-like symptoms possibly mediated by the effects of BDNF on neurogenesis, Neuroscience, 254, 324-334, https:// doi.org/10.1016/j.neuroscience.2013.09.031.
- George, O., Sanders, C., Freiling, J., Grigoryan, E., Vu, S., Allen, C. D., Crawford, E., Mandyam, C. D., and Koob, G. F. (2012) Recruitment of medial prefrontal cortex neurons during alcohol withdrawal predicts cognitive impairment and excessive alcohol drinking, Proc. Natl. Acad. Sci. USA, 109, 18156-18161, https://doi.org/10.1073/pnas.1116523109.
- Nelson, N. G., Suhaidi, F. A., Law, W. X., and Liang, N. C. (2018) Chronic moderate alcohol drinking alters insulin release without affecting cognitive and emotion-like behaviors in rats, Alcohol, 70, 11-22, https://doi.org/ 10.1016/j.alcohol.2017.12.001.
- Stragier, E., Martin, V., Davenas, E., Poilbout, C., Mongeau, R., Corradetti, R., and Lanfumey, L. (2015) Brain plasticity and cognitive functions after ethanol consumption in C57BL/6J mice, Transl. Psychiatry, 5, e696, https://doi.org/10.1038/tp.2015.183.
- Umehara, F., Mishima, K., Egashira, N., Ogata, A., Iwasaki, K., and Fujiwara, M. (2006) Elevated anxiety-like and depressive behavior in Desert hedgehog knockout male mice, Behav. Brain Res., 174, 167-173, https://doi.org/ 10.1016/j.bbr.2006.07.022.
- Burton, D. F., Zhang, C., Boa-Amponsem, O., Mackinnon, S., and Cole, G. J. (2017) Long-term behavioral change as a result of acute ethanol exposure in zebrafish: Evidence for a role for sonic hedgehog but not retinoic acid signaling, Neurotoxicol. Teratol., 61, 66-73, https://doi.org/10.1016/j.ntt.2017.01.006.
- Gu, D., Wang, S., Zhang, S., Zhang, P., and Zhou, G. (2017) Directed transdifferentiation of Müller glial cells to photoreceptors using the sonic hedgehog signaling pathway agonist purmorphamine, Mol. Med. Rep., 16, 7993-8002. https://doi.org/10.3892/mmr.2017.7652.
- Yao, P. J., Petralia, R. S., Ott, C., Wang, Y. X., Lippincott-Schwartz, J., and Mattson, M. P. (2015) Dendrosomatic Sonic Hedgehog signaling in hippocampal neurons regulates axon elongation, J. Neurosci., 35, 16126-16141, https://doi.org/10.1523/JNEUROSCI.1360-15.2015.
- He, W., Cui, L., Zhang, C., Zhang, X., He, J., and Xie, Y. (2016) Sonic Hedgehog promotes neurite outgrowth of primary cortical neurons through up-regulating BDNF expression, Neurochem. Res., 41, 687-695, https:// doi.org/10.1007/s11064-015-1736-5.
- Tayyab, M., Farheen, S., Mabeena, M. M. P., Khanam, N., Mobarak Hossain, M., and Shahi, M. H. (2019) Antidepressant and neuroprotective effects of naringenin via Sonic Hedgehog-GLI1 cell signaling pathway in a rat model of chronic unpredictable mild stress, Neuromol. Med., 21, 250-261, https://doi.org/10.1007/ s12017-019-08538-6.
- Tayyab, M., Shahi, M. H., Farheen, S., Mabeena, M. M. P., Khanam, N., and Hossain, M. M. (2019) Exploring the potential role of sonic hedgehog cell signalling pathway in antidepressant effects of nicotine in chronic unpredictable mild stress rat model, Heliyon, 5, e01600, https://doi.org/10.1016/j.heliyon.2019.e01600.
- Graeff, F. G., Silveira, M. C., Nogueira, R. L., Audi, E. A., and Oliveira, R. M. (1993) Role of the amygdala and periaqueductal gray in anxiety and panic, Behav. Brain Res., 58, 123-131, https://doi.org/10.1016/ 0166-4328(93)90097-a.
- Silveira, M. C., Sandner, G., and Graeff, F. G. (1993) Induction of Fos immunoreactivity in the brain by exposure to the elevated plus-maze, Behav. Brain Res., 56, 115-118, https://doi.org/10.1016/0166-4328(93)90028-o.
- Möller, C., Wiklund, L., Sommer, W., Thorsell, A., and Heilig, M. (1997) Decreased experimental anxiety and voluntary ethanol consumption in rats following central but not basolateral amygdala lesions, Brain Res., 760, 94-101, https://doi.org/10.1016/s0006-8993(97)00308-9.
- Pleil, K. E., Lowery-Gionta, E. G., Crowley, N. A., Li, C., Marcinkiewcz, C. A., Rose, J. H., McCall, N. M., Maldonado-Devincci, A. M., Morrow, A. L., Jones, S. R., and Kash, T. L. (2015) Effects of chronic ethanol exposure on neuronal function in the prefrontal cortex and extended amygdala, Neuropharmacology, 99, 735-749, https:// doi.org/10.1016/j.neuropharm.2015.06.017.
- Smith, R. J., Anderson, R. I., Haun, H. L., Mulholland, P. J., Griffin, W. C. 3rd, Lopez, M. F., and Becker, H. C. (2020) Dynamic c-Fos changes in mouse brain during acute and protracted withdrawal from chronic intermittent ethanol exposure and relapse drinking, Addict. Biol., 25, e12804, https://doi.org/10.1111/adb.12804.
- Hung, H. C., Hsiao, Y. H., and Gean, P. W. (2014) Learning induces sonic hedgehog signaling in the amygdala which promotes neurogenesis and long-term memory formation, Int. J. Neuropsychopharmacol., 18, pyu071, https://doi.org/10.1093/ijnp/pyu071.
- Hung, H. C., Hsiao, Y. H., and Gean, P. W. (2015) Sonic hedgehog signaling regulates amygdalar neurogenesis and extinction of fear memory, Eur. Neuropsychopharmacol., 25, 1723-1732, https://doi.org/10.1016/ j.euroneuro.2015.07.005.
Supplementary files
 
				
			 
					 
						 
						 
						 
						 
				
 
  
  
  Email this article
			Email this article 
 Open Access
		                                Open Access Access granted
						Access granted





