LncRNA Genes of the SNHGs Family: Cometylation and Common Functions in Ovarian Cancer
- Authors: Braga E.A.1, Filippova E.A.1, Uroshlev L.A.2, Lukina S.S.1, Pronina I.V.1, Kazubskaya T.P.3, Kushlinsky D.N.3, Loginov V.I.1, Fridman M.V.4, Burdenny A.M.1, Kushlinsky N.E.3
- 
							Affiliations: 
							- Research Institute of General Pathology and Pathophysiology
- Vavilov Institute of General Genetics of the Russian Academy of Sciences
- Blokhin National Medical Research Center of Oncology
- Vavilov Institute of General Genetics, Russian Academy of Sciences
 
- Issue: Vol 89, No 11 (2024)
- Pages: 1982-2001
- Section: Regular articles
- URL: https://journal-vniispk.ru/0320-9725/article/view/282297
- DOI: https://doi.org/10.31857/S0320972524110179
- EDN: https://elibrary.ru/IJTAVG
- ID: 282297
Cite item
Abstract
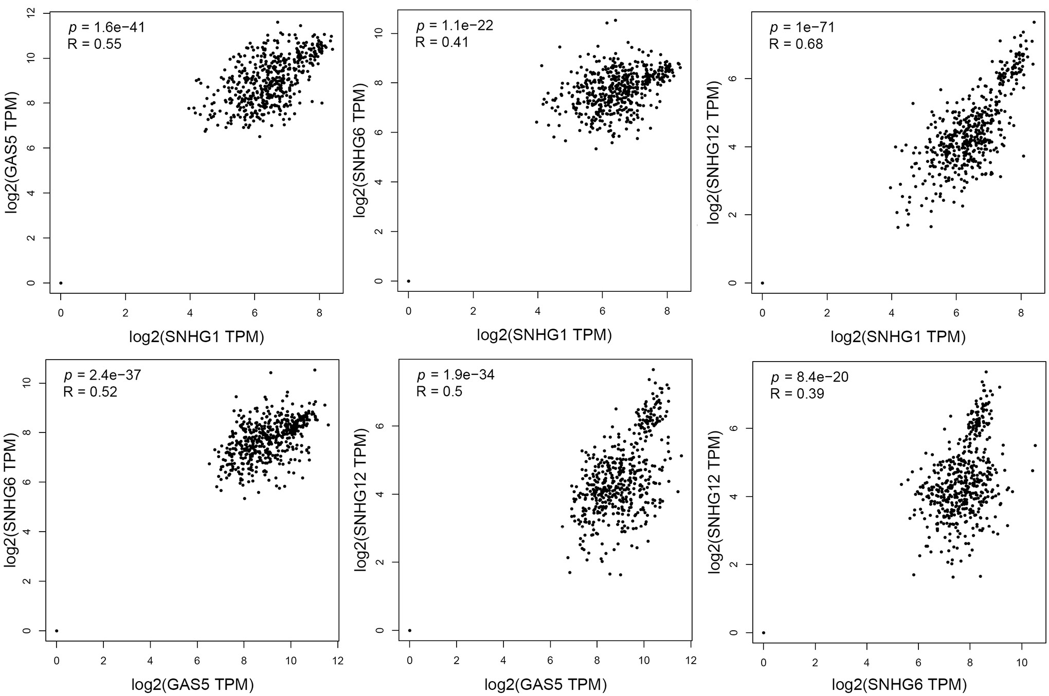
Long non-coding RNA (lncRNA) genes of the small nucleolar RNA host gene family (SNHGs) may participate in oncogenesis both through regulatory functions inherent to lncRNA and through their influence on the formation of small nucleolar RNAs and ribosome biogenesis. The aim of this work is to evaluate changes in the methylation level and the degree of comethylation of a group of lncRNA genes of the SNHGs family (SNHG1, GAS5/SNHG2, SNHG6, SNHG12, SNHG17) in clinical samples of ovarian cancer (OC) for different stages of cancer as a criterion for the similarity of their role in oncogenesis. On a representative set of 122 OC samples, MS-qPCR showed a statistically significant (p < {0.01-0.0001}) increase in the methylation level of 5 studied lncRNA genes. A statistically significant relationship was shown between the increased methylation level of GAS5, SNHG6, SNHG12 and OC progression: with the clinical stage, tumor size and metastasis, which indicates the possible functional significance of hypermethylation of these genes. For 4 of the 5 genes: SNHG1, GAS5, SNHG6, SNHG12, a statistically significant pairwise positive correlation of methylation levels was revealed for the first time (rs > 0.35; p ≤ 0.001). Our data on co-methylation of these 4 genes are in agreement with the GEPIA 2.0 data (for 426 OC samples), revealing their co-expression (rs > 0.5; p < 0.001); the correlation of GAS5 and SNHG6 expression levels was confirmed by quantitative RT-PCR (rs = 0.46; p = 0.007). For lncRNA SNHG1, GAS5, SNHG6 and SNHG12, common miRNAs were predicted bioinformatically, potentially capable of interacting with one or more of them via the mechanism of competing endogenous RNAs. The mRNAs, the expression of which they are thus capable of influencing, were also predicted. The possible involvement of genes corresponding to these mRNAs in a number of processes significant for oncogenesis, including RNA processing and splicing and epithelial-mesenchymal transition, was studied. Thus, 4 lncRNAs of the SNHGs family were identified, which have similarities both in their regulation and in their putative biological functions in the pathogenesis of OC.
Full Text
 
												
	                        About the authors
E. A. Braga
Research Institute of General Pathology and Pathophysiology
							Author for correspondence.
							Email: eleonora10_45@mail.ru
				                					                																			                												                	Russian Federation, 							125315, Moscow						
E. A. Filippova
Research Institute of General Pathology and Pathophysiology
														Email: eleonora10_45@mail.ru
				                					                																			                												                	Russian Federation, 							125315, Moscow						
L. A. Uroshlev
Vavilov Institute of General Genetics of the Russian Academy of Sciences
														Email: eleonora10_45@mail.ru
				                					                																			                												                	Russian Federation, 							119991 Moscow						
S. S. Lukina
Research Institute of General Pathology and Pathophysiology
														Email: eleonora10_45@mail.ru
				                					                																			                												                	Russian Federation, 							125315, Moscow						
I. V. Pronina
Research Institute of General Pathology and Pathophysiology
														Email: eleonora10_45@mail.ru
				                					                																			                												                	Russian Federation, 							125315, Moscow						
T. P. Kazubskaya
Blokhin National Medical Research Center of Oncology
														Email: eleonora10_45@mail.ru
				                					                																			                												                	Russian Federation, 							115522, Moscow						
D. N. Kushlinsky
Blokhin National Medical Research Center of Oncology
														Email: eleonora10_45@mail.ru
				                					                																			                												                	Russian Federation, 							115522, Moscow						
V. I. Loginov
Research Institute of General Pathology and Pathophysiology
														Email: eleonora10_45@mail.ru
				                					                																			                												                	Russian Federation, 							125315, Moscow						
M. V. Fridman
Vavilov Institute of General Genetics, Russian Academy of Sciences
														Email: eleonora10_45@mail.ru
				                					                																			                												                	Russian Federation, 							119991, Moscow						
A. M. Burdenny
Research Institute of General Pathology and Pathophysiology
														Email: burdennyy@gmail.com
				                					                																			                												                	Russian Federation, 							125315, Moscow						
N. E. Kushlinsky
Blokhin National Medical Research Center of Oncology
														Email: eleonora10_45@mail.ru
				                					                																			                												                	Russian Federation, 							115522, Moscow						
References
- Sideris, M., Menon, U., and Manchanda, R. (2024) Screening and prevention of ovarian cancer, Med. J. Aust., 220, 264-274, https://doi.org/10.5694/mja2.52227.
- Каприн А. Д., Старинский В. В., Шахзадова А. О. (2022) Злокачественные новообразования в России в 2021 году (заболеваемость и смертность), МНИОИ им. П.А. Герцена – филиал ФГБУ «НМИЦ радиологии» Минздрава России, Москва, 252 с.
- Braga, E. A, Fridman, M. V., and Kushlinskii, N. E. (2017) Molecular mechanisms of ovarian carcinoma metastasis: key genes and regulatory microRNAs, Biochemistry (Moscow), 82, 529-541, https://doi.org/10.1134/S0006297917050017.
- Dawson, M. A., and Kouzarides, T. (2012) Cancer epigenetics: from mechanism to therapy, Cell, 150, 12-27, https://doi.org/10.1016/j.cell.2012.06.013.
- Hanahan, D. (2022) Hallmarks of cancer: new dimensions, Cancer Discov., 12, 31-46, https://doi.org/10.1158/2159-8290.CD-21-1059.
- Salmena, L., Poliseno, L., Tay, Y., Kats, L., and Pandolfi, P. P. (2018) A ceRNA hypothesis: the Rosetta Stone of a hidden RNA language, Cell, 146, 353-358, https://doi.org/10.1016/j.cell.2011.07.014.
- Braga, E., A., Fridman, M., V., Moscovtsev, A., A., Filippova, E., A., Dmitriev, A. A., and Kushlinskii, N. E. (2020) LncRNAs in ovarian cancer progression, metastasis, and main pathways: ceRNA and alternative mechanisms, Int. J. Mol. Sci., 21, 8855, https://doi.org/10.3390/ijms21228855.
- Monziani, A., and Ulitsky, I. (2023) Noncoding snoRNA host genes are a distinct subclass of long noncoding RNAs, Trends Genet., 39, 908-923, https://doi.org/10.1016/j.tig.2023.09.001.
- Xiao, H., Feng, X., Liu, M., Gong, H., and Zhou, X. (2023) SnoRNA and lncSNHG: advances of nucleolar small RNA host gene transcripts in anti-tumor immunity, Front. Immunol., 14, 1143980, https://doi.org/10.3389/ fimmu.2023.1143980.
- Zheng, H., Wang, G., Wang, Y., Liu, J., Ma, G., and Du, J. (2023) Systematic analysis reveals a pan-cancer SNHG family signature predicting prognosis and immunotherapy response, iScience, 26, 108055, https://doi.org/10.1016/ j.isci.2023.108055.
- Van Dam, S., Võsa, U., van der Graaf, A., Franke, L., and de Magalhães, J. P. (2018) Gene co-expression analysis for functional classification and gene-disease predictions, Brief Bioinform., 19, 575-592, https://doi.org/10.1093/bib/bbw139.
- Burdennyy, A. M., Filippova, E. A., Lukina, S. S., Ivanova, N. A., Pronina, I. V., Loginov, V. I., Kazubskaya, T. P., Kushlinskii, N. E., and Braga, E. A. (2023) DNA methylation of a group of long non-coding RNA genes at different stages of ovarian cancer dissemination, Bull. Exp. Biol. Med., 176, 495-500, https://doi.org/10.1007/s10517024-06054-7.
- Burdennyy, A. M., Lukina, S. S., Uroshlev, L. A., Filippova, E. A., Pronina, I. V., Fridman, M. V., Zhordaniya, K. I., Kazubskaya, T. P., Kushlinskii, N. E., Loginov, V. I., and Braga, E. A. (2024) Hypermethylation in ovarian cancer of long noncoding RNA genes: HOTAIR, GAS5, LINC00472, LINC00886, TUG1, Russ. J. Genet., 60, 665-675, https://doi.org/10.1134/S1022795424700029.
- Lukina, S. S., Burdennyy, A. M., Filippova, E. A., Uroshlev, L. A., Pronina, I. V., Ivanova, N. A., Fridman, M. V., Zhordania, K. I., Kazubskaya, T. P., Kushlinskii, N. E., Loginov, V. I., and Braga, E. A. (2024) Methylation of long noncoding RNA genes SNHG6, SNHG12, and TINCR in ovarian cancer, Mol. Biol., 58, 429-438, https://doi.org/ 10.1134/S0026893324700067.
- Dong, Q., Long, X., Cheng, J., Wang, W., Tian, Q., and Di, W. (2021) LncRNA GAS5 suppresses ovarian cancer progression by targeting the miR-96-5p/PTEN axis, Ann. Transl. Med., 9, 1770, https://doi.org/10.21037/ atm-21-6134.
- Brierley, J. D., Gospodarowicz, M. K., and Wittekind, C. (2017) The TNM Classification of Malignant Tumours, 8th Edn., Wiley-Blackwell, Oxford, p. 272.
- Pronina, I. V., Loginov, V. I., Burdennyy, A. M., Fridman, M. V., Senchenko, V. N., Kazubskaya, T. P., Kushlinskii, N. E., Dmitriev, A. A., and Braga, E. A. (2017) DNA methylation contributes to deregulation of 12 cancer-associated microRNAs and breast cancer progression, Gene, 604, 1-8, https://doi.org/10.1016/j.gene.2016.12.018.
- Livak, K. J., and Schmittgen, T. D. (2001) Analysis of relative gene expression data using real-time quantitative PCR and the 2(-Delta Delta C(T)) method, Methods, 25, 402-408, https://doi.org/10.1006/meth. 2001.1262.
- Tang, Z., Kang, B., Li, C., Chen, T., and Zhang, Z. (2019) GEPIA2: an enhanced web server for large-scale expression profiling and interactive analysis, Nucleic Acids Res., 47, W556-W560, https://doi.org/10.1093/ nar/gkz430.
- Smith, T. F., and Waterman, M. S. (1981) Identification of common molecular subsequences, J. Mol. Biol., 147, 195-197, https://doi.org/10.1016/0022-2836(81)90087-5.
- Kolberg, L., Raudvere, U., Kuzmin, I., Adler, P., Vilo, J., and Peterson, H. (2023) g:Profiler-interoperable web service for functional enrichment analysis and gene identifier mapping (2023 update), Nucleic Acids Res., 51, W207-W212, https://doi.org/10.1093/nar/gkad347.
- Wu, G., Hao, C., Qi, X., Nie, J., Zhou, W., Huang, J., and He, Q. (2020) LncRNA SNHG17 aggravated prostate cancer progression through regulating its homolog SNORA71B via a positive feedback loop, Cell Death Dis., 11, 393, https://doi.org/10.1038/s41419-020-2569-y.
- Fossum, S. L., Mutolo, M. J., Tugores, A., Ghosh, S., Randell, S. H., Jones, L. C., Leir, S. H., and Harris, A. (2017) Ets homologous factor (EHF) has critical roles in epithelial dysfunction in airway disease, J. Biol. Chem., 292, 10938-10949, https://doi.org/10.1074/jbc.M117.775304.
- Sizemore, G. M., Pitarresi, J. R., Balakrishnan, S., and Ostrowski, M. C. (2017) The ETS family of oncogenic transcription factors in solid tumours, Nat. Rev. Cancer, 17, 337-351, https://doi.org/10.1038/nrc.2017.20.
- Hosea, R., Hillary, S., Wu, S., and Kasim, V. (2023) Targeting transcription factor YY1 for cancer treatment: current strategies and future directions, Cancers (Basel), 15, 3506, https://doi.org/10.3390/cancers15133506.
- Wen, N., Zhang, J., and Zhang, Q. (2022) MiR-494 inhibits the proliferation, migration and invasion of cervical cancer cells by regulating LETMD1, Cell Mol. Biol., 67, 81-87, https://doi.org/10.14715/cmb/2021.67.5.11.
- Ramirez-Peña, E., Arnold, J., Shivakumar, V., Joseph, R., Vidhya Vijay, G., den Hollander, P., Bhangre, N., Allegakoen, P., Prasad, R., Conley, Z., Matés, J. M., Márquez, J., Chang, J. T., Vasaikar, S., Soundararajan, R., Sreekumar, A., and Mani, S. A. (2019) The epithelial to mesenchymal transition promotes glutamine independence by suppressing GLS2 expression, Cancers (Basel), 11, 1610, https://doi.org/10.3390/cancers11101610.
- Ke, B., Ye, K., and Cheng, S. (2020) ALKBH2 inhibition alleviates malignancy in colorectal cancer by regulating BMI1-mediated activation of NF-κB pathway, World J. Surg. Oncol., 18, 328, https://doi.org/10.1186/s12957020-02106-0.
- Zhao, J., Wang, X., Zhu, H., Wei, S., Zhang, H., Ma, L., and He, P. (2022) Integrative analysis of bulk RNA-Seq and single-cell RNA-seq unveils novel prognostic biomarkers in multiple myeloma, Biomolecules, 12, 1855, https://doi.org/10.3390/biom12121855.
- Wu, N., Wei, J., Wang, Y., Yan, J., Qin, Y., Tong, D., Pang, B., Sun, D., Sun, H., Yu, Y., Sun, W., Meng, X., Zhang, C., Bai, J., Chen, F., Geng, J., Lee, K. Y., Fu, S., and Jin, Y. (2015) Ribosomal L22-like1 (RPL22L1) Promotes ovarian cancer metastasis by inducing epithelial-to-mesenchymal transition, PLoS One, 10, e0143659, https://doi.org/ 10.1371/journal.pone.0143659.
- Williams, G. T., and Farzaneh, F. (2012) Are snoRNAs and snoRNA host genes new players in cancer? Nat. Rev. Cancer, 12, 84-88, https://doi.org/10.1038/nrc3195.
- Huo, M., Rai, S. K., Nakatsu, K., Deng, Y., and Jijiwa, M. (2024) Subverting the canon: novel cancer-promoting functions and mechanisms for snoRNAs, Int. J. Mol. Sci., 25, 2923, https://doi.org/10.3390/ijms25052923.
- Akulenko, R., and Helms, V. (2013) DNA co-methylation analysis suggests novel functional associations between gene pairs in breast cancer samples, Hum. Mol. Genet., 22, 3016-3022, https://doi.org/10.1093/ hmg/ddt158.
- Sun, S., Dammann, J., Lai, P., and Tian, C. (2022) Thorough statistical analyses of breast cancer co-methylation patterns, BMC Genom. Data, 23, 29, https://doi.org/10.1186/s12863-022-01046-w.
- Lukina, S. S., Burdennyy, A. M., Filippova, E. A., Pronina, I. V., Ivanova, N. A., Kazubskaya, T. P., Kushlinskii, D. N., Utkin, D. O., Loginov, V. I., Braga, E. A., and Kushlinskii, N. E. (2022) Synergy between the levels of methylation of microRNA gene sets in primary tumors and metastases of ovarian cancer patients, Bull. Exp. Biol. Med., 173, 87-91, https://doi.org/10.1007/s10517-022-05499-y.
- Huldani, H., Gandla, K., Asiri, M., Romero-Parra, R. M., Alsalamy, A., Hjazi, A., Najm, M. A. A., Fawaz, A., Hussien, B. M., and Singh, R. (2023) A comprehensive insight into the role of small nucleolar RNAs (snoRNAs) and SNHGs in human cancers, Pathol. Res. Pract., 249, 154679, https://doi.org/10.1016/j.prp.2023.154679.
- Montanaro, L., Treré, D., and Derenzini, M. (2008) Nucleolus, ribosomes, and cancer, Am. J. Pathol., 173, 301-310, https://doi.org/10.2353/ajpath.2008.070752.
- Pelletier, J., Thomas, G., and Volarević, S. (2018) Ribosome biogenesis in cancer: new players and therapeutic avenues, Nat. Rev. Cancer, 18, 51-63, https://doi.org/10.1038/nrc.2017.104.
- Turi, Z., Lacey, M., Mistrik, M., and Moudry, P. (2019) Impaired ribosome biogenesis: mechanisms and relevance to cancer and aging, Aging (Albany NY), 11, 2512-2540, https://doi.org/10.18632/aging.101922.
- Barros-Silva, D., Klavert, J., Jenster, G., Jerónimo, C., Lafontaine, D. L. J., and Martens-Uzunova, E. S. (2021) The role of OncoSnoRNAs and ribosomal RNA 2′-O-methylation in cancer, RNA Biol., 18 (Sup. 1), 61-74, https://doi.org/10.1080/15476286.2021.1991167.
- Tanaka, R., Satoh, H., Moriyama, M., Satoh, K., Morishita, Y., Yoshida, S., Watanabe, T., Nakamura, Y., and Mori, S. (2000) Intronic U50 small-nucleolar-RNA (snoRNA) host gene of no protein-coding potential is mapped at the chromosome breakpoint t(3;6)(q27;q15) of human B-cell lymphoma, Genes Cells, 5, 277-287, https://doi.org/10.1046/j.1365-2443.2000.00325.x.
- Matveeva, A., Vinogradov, D., Zhuravlev, E., Semenov, D., Vlassov, V., and Stepanov, G. (2023) Intron editing reveals SNORD-dependent maturation of the small nucleolar RNA host gene GAS5 in human cells, Int. J. Mol. Sci., 24, 17621, https://doi.org/10.3390/ijms242417621.
- Popławski, P., Bogusławska, J., Hanusek, K., and Piekiełko-Witkowska, A. (2021) Nucleolar proteins and non-coding RNAs: roles in renal cancer, Int. J. Mol. Sci., 22, 13126, https://doi.org/10.3390/ijms222313126.
- Toraih, E. A., Alghamdi, S. A., El-Wazir, A., Hosny, M. M., Hussein, M. H., Khashana, M. S., and Fawzy, M. S. (2018) Dual biomarkers long non-coding RNA GAS5 and microRNA-34a co-expression signature in common solid tumors, PLoS One, 13, e0198231, https://doi.org/10.1371/journal.pone.0198231.
- Filippova, J. A., Matveeva, A. M., Zhuravlev, E. S., Balakhonova, E. A., Prokhorova, D. V., Malanin, S. J., Shah Mahmud, R., Grigoryeva, T. V., Anufrieva, K. S., Semenov, D. V., Vlassov, V. V., and Stepanov, G. A. (2019) Are small nucleolar RNAs “CRISPRable”? A report on box C/D Small nucleolar RNA editing in human cells, Front. Pharmacol., 10, 1246, https://doi.org/10.3389/fphar.2019.01246.
- Xu, Y., Bao, Y., Qiu, G., Ye, H., He, M., and Wei, X. (2023) METTL3 promotes proliferation and migration of colorectal cancer cells by increasing SNHG1 stability, Mol. Med. Rep., 28, 217, https://doi.org/10.3892/ mmr.2023.13104.
- Gandhi, S., Bhushan, A., Shukla, U., Pundir, A., Singh, S., and Srivastava, T. (2023) Downregulation of lncRNA SNHG1 in hypoxia and stem cells is associated with poor disease prognosis in gliomas, Cell Cycle, 22, 1135-1153, https://doi.org/10.1080/15384101.2023.2191411.
- Zhen, N., Zhu, J., Mao, S., Zhang, Q., Gu, S., Ma, J., Zhang, Y., Yin, M., Li, H., Huang, N., Wu, H., Sun, F., Ying, B., Zhou, L., and Pan, Q. (2023) Alternative splicing of lncRNAs from SNHG family alters snoRNA expression and induces chemoresistance in hepatoblastoma, Cell. Mol. Gastroenterol. Hepatol., 16, 735-755, https://doi.org/10.1016/ j.jcmgh.2023.07.007.
- Jafari-Oliayi, A., and Dabiri, S. (2022) SNHG6 203 RNA may be involved in the cell cycle progression in HER2-negative breast cancer cells, Iran. J. Pathol., 17, 251-260, https://doi.org/10.30699/IJP.2022.525346.2607.
- Yan, Y., Chen, Z., Xiao, Y., Wang, X., Qian, K. (2019) Long non-coding RNA SNHG6 is upregulated in prostate cancer and predicts poor prognosis, Mol. Biol. Rep., 46, 2771-2778, https://doi.org/10.1007/s11033019-04723-9.
- Birgani, M. T., Hajjari, M., Shahrisa, A., Khoshnevisan, A., Shoja, Z., Motahari, P., and Farhangi, B. (2018) Long non-coding RNA SNHG6 as a potential biomarker for hepatocellular carcinoma, Pathol. Oncol. Res., 24, 329-337, https://doi.org/10.1007/s12253-017-0241-3.
- Yao, X., Lan, Z., Lai, Q., Li, A., Liu, S., and Wang, X. (2020) LncRNA SNHG6 plays an oncogenic role in colorectal cancer and can be used as a prognostic biomarker for solid tumors, J. Cell Physiol., 235, 7620-7634, https:// doi.org/10.1002/jcp.29672.
- Heiman, M., Kulicke, R., Fenster, R. J., Greengard, P., and Heintz, N. (2014) Cell type-specific mRNA purification by translating ribosome affinity purification (TRAP), Nat. Protoc., 9, 1282-1291, https://doi.org/10.1038/nprot.2014.085.
- Rizavi, H. S., Gavin, H. E., Krishnan, H. R., Gavin, D. P., and Sharma, R. P. (2023) Ethanol- and PARP-mediated regulation of ribosome-associated long non-coding RNA (lncRNA) in pyramidal neurons, Noncoding RNA, 9, 72, https://doi.org/10.3390/ncrna9060072.
- Dubois, F., Keller, M., Calvayrac, O., Soncin, F., Hoa, L., Hergovich, A., Parrini, M. C., Mazières, J., Vaisse-Lesteven, M., Camonis, J., Levallet, G., and Zalcman, G. (2016) RASSF1A suppresses the invasion and metastatic potential of human non-small cell lung cancer cells by inhibiting YAP activation through the GEF-H1/RhoB pathway, Cancer Res., 76, 1627-1640, https://doi.org/10.1158/0008-5472.CAN-15-1008.
- Bin, Y., Deng, W., Hu, H., Zeng, Q., Chen, J., Xu, Y., Dai, Y., Liao, A., and Xiao, W. (2023) RASSF1A inhibits epithelial-mesenchymal transition of gastric cancer cells by downregulating P-JNK, Cell Biol. Int., 47, 573-583, https://doi.org/10.1002/cbin.11958.
- Zhang, J., Wen, X., Ren, X. Y., Li, Y. Q., Tang, X. R., Wang, Y. Q., He, Q. M., Yang, X. J., Sun, Y., Liu, N., and Ma, J. (2016) YPEL3 suppresses epithelial-mesenchymal transition and metastasis of nasopharyngeal carcinoma cells through the Wnt/β-catenin signaling pathway, J. Exp. Clin. Cancer Res., 35, 109, https://doi.org/10.1186/s13046-016-0384-1.
- Kwon, Y., Lee, H., Park, H., Lee, B., Kwon, T. U., Kwon, Y. J., and Chun, Y. J. (2023) YPEL3 expression induces cellular senescence via the Hippo signaling pathway in human breast cancer cells, Toxicol. Res., 39, 711-719, https://doi.org/10.1007/s43188-023-00208-x.
- Cordenonsi, M., Zanconato, F., Azzolin, L., Forcato, M., Rosato, A., Frasson, C., Inui, M., Montagner, M., Parenti, A. R., Poletti, A., Daidone, M. G., Dupont, S., Basso, G., Bicciato, S., and Piccolo, S. (2011) The Hippo transducer TAZ confers cancer stem cell-related traits on breast cancer cells, Cell, 147, 759-772, https://doi.org/10.1016/ j.cell.2011.09.048.
- Santoro, R., Zanotto, M., Carbone, C., Piro, G., Tortora, G., and Melisi, D. (2018) MEKK3 sustains EMT and stemness in pancreatic cancer by regulating YAP and TAZ transcriptional activity, Anticancer Res., 38, 1937-1946, https://doi.org/10.21873/anticanres.12431.
Supplementary files
 
				
			 
					 
						 
						 
						 
						 
				
 
  
  
  Email this article
			Email this article 
 Open Access
		                                Open Access Access granted
						Access granted







