Характеристика углеводной специфичности моноклональных антител к грибковым антигенным маркерам с использованием биотинилированных олигосахаридов в качестве покрывающих антигенов
- Авторы: Генинг М.Л.1, Полянская А.В.1, Кузнецов А.Н.1, Титова A.Д.1, Юдин В.И.1, Яшунский Д.В.1, Цветков Ю.Е.1, Юдина О.Н.1, Крылов В.Б.1, Нифантьев Н.Э.1
- 
							Учреждения: 
							- Институт органической химии им. Н.Д. Зелинского РАН
 
- Выпуск: Том 89, № 12 (2024)
- Страницы: 2070-2080
- Раздел: Статьи
- URL: https://journal-vniispk.ru/0320-9725/article/view/283275
- DOI: https://doi.org/10.31857/S0320972524120045
- EDN: https://elibrary.ru/IFSICH
- ID: 283275
Цитировать
Аннотация
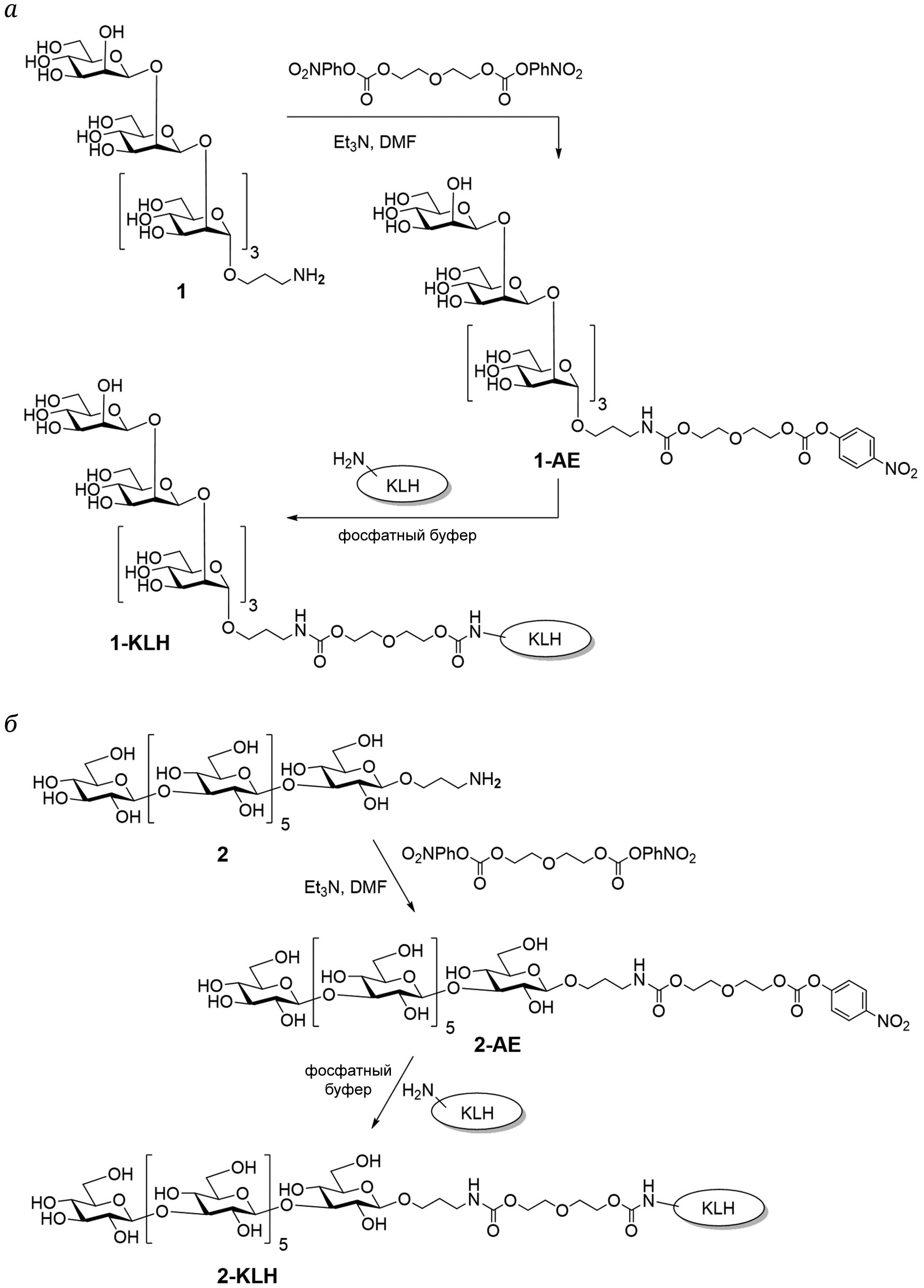
Маннан и β-(1→3)-глюкан являются характеристичными полисахаридными маркерами ряда грибковых патогенов, в том числе Candida albicans – самого распространённого возбудителя инвазивных микозов человека. В данной работе проведено изучение эпитопной специфичности двух моноклональных антител СM532 и FG70, распознающих олигосахаридные фрагменты данных грибковых полисахаридов. С применением широкой панели биотинилированных олигосахаридов в качестве покрывающих антигенов установлено, что антитело СM532, полученное при иммунизации конъюгатом пентаманнозида β-Man-(1→2)-β-Man-(1→2)-α-Man-(1→2)-α-Man-(1→2)-α-Man с гемоцианином Megathura crenulate (KLH), селективно распознаёт трисахаридный эпитоп β-Man-(1→2)-α-Man-(1→2)-α-Man, а антитело FG70, полученное при иммунизации конъюгатом гептаглюкозида β-Glc-(1→3)-[β-Glc-(1→3)]5-β-Glc с KLH, наиболее эффективно взаимодействует с линейным β-(1→3)-связанным пентасахаридным фрагментом глюкана, причём наличие 3,6-разветвлений внутри этой последовательности не снижает связывания. Полученные данные свидетельствуют о том, что рассматриваемые моноклональные антитела могут быть использованы для создания отсутствующих сегодня эффективных диагностикумов для выявления грибковых инфекций.
Полный текст
 
												
	                        Об авторах
М. Л. Генинг
Институт органической химии им. Н.Д. Зелинского РАН
														Email: v_krylov@ioc.ac.ru
				                					                																			                								
лаборатория синтетических гликовакцин
Россия, 119991 МоскваА. В. Полянская
Институт органической химии им. Н.Д. Зелинского РАН
														Email: v_krylov@ioc.ac.ru
				                					                																			                								
лаборатория синтетических гликовакцин
Россия, 119991 МоскваА. Н. Кузнецов
Институт органической химии им. Н.Д. Зелинского РАН
														Email: v_krylov@ioc.ac.ru
				                					                																			                								
лаборатория синтетических гликовакцин
Россия, 119991 МоскваA. Д. Титова
Институт органической химии им. Н.Д. Зелинского РАН
														Email: v_krylov@ioc.ac.ru
				                					                																			                								
лаборатория синтетических гликовакцин
Россия, 119991 МоскваВ. И. Юдин
Институт органической химии им. Н.Д. Зелинского РАН
														Email: v_krylov@ioc.ac.ru
				                					                																			                								
лаборатория синтетических гликовакцин
Россия, 119991 МоскваД. В. Яшунский
Институт органической химии им. Н.Д. Зелинского РАН
														Email: nen@ioc.ac.ru
				                					                																			                								
лаборатория химии гликоконъюгатов
Россия, 119991 МоскваЮ. Е. Цветков
Институт органической химии им. Н.Д. Зелинского РАН
														Email: nen@ioc.ac.ru
				                					                																			                								
лаборатория химии гликоконъюгатов
Россия, 119991 МоскваО. Н. Юдина
Институт органической химии им. Н.Д. Зелинского РАН
														Email: nen@ioc.ac.ru
				                					                																			                								
лаборатория химии гликоконъюгатов
Россия, 119991 МоскваВ. Б. Крылов
Институт органической химии им. Н.Д. Зелинского РАН
							Автор, ответственный за переписку.
							Email: v_krylov@ioc.ac.ru
				                					                																			                								
лаборатория синтетических гликовакцин
Россия, 119991 МоскваН. Э. Нифантьев
Институт органической химии им. Н.Д. Зелинского РАН
														Email: nen@ioc.ac.ru
				                					                																			                								
лаборатория химии гликоконъюгатов
Россия, 119991 МоскваСписок литературы
- Soriano, A., Honore, P. M., Puerta-Alcalde, P., Garcia-Vidal, C., Pagotto, A., Gonçalves-Bradley, D. C., and Verweij, P. E. (2023) Invasive candidiasis: current clinical challenges and unmet needs in adult populations, J. Antimicrob. Chemother., 78, 1569-1585, https://doi.org/10.1093/jac/dkad139.
- Denning, D. W. (2024) Global incidence and mortality of severe fungal disease, Lancet Infect. Dis., 24, e428-e438, https://doi.org/10.1016/S1473-3099(23)00692-8.
- Terrero-Salcedo, D., and Powers-Fletcher, M. V. (2020) Updates in laboratory diagnostics for invasive fungal infections, J. Clin. Microbiol., 58, e01487-19, https://doi.org/10.1128/JCM.01487-19.
- Barantsevich, N., and Barantsevich, E. (2022) Diagnosis and treatment of invasive candidiasis, Antibiotics, 11, 718, https://doi.org/10.3390/antibiotics11060718.
- Roslansky, P. F., and Novitsky, T. J. (1991) Sensitivity of Limulus amebocyte lysate (LAL) to LAL-reactive glucans, J. Clin. Microbiol., 29, 2477-2483, https://doi.org/10.1128/jcm.29.11.2477-2483.1991.
- He, S., Hang, J.-P., Zhang, L., Wang, F., Zhang, D.-C., and Gong, F.-H. (2015) A systematic review and meta-analysis of diagnostic accuracy of serum 1,3-β-D-glucan for invasive fungal infection: focus on cutoff levels, J. Microbiol. Immunol. Infect., 48, 351-361, https://doi.org/10.1016/j.jmii.2014.06.009.
- Synytsya, A., and Novák, M. (2013) Structural diversity of fungal glucans, Carbohydr. Polym., 92, 792-809, https://doi.org/10.1016/j.carbpol.2012.09.077.
- Senn, L., Calandra, T., Bille, J., and Marchetti, O. (2008) Beta-glucan in the diagnosis of invasive fungal disease: reply letter to Pasqualotto and Sukiennik, Clin. Infect. Dis., 47, 293-294, https://doi.org/10.1128/JCM.01737-13.
- Mikulska, M., Calandra, T., Sanguinetti, M., Poulain, D., Viscoli, C., and Third European Conference on Infections in Leukemia Group (2010) The use of mannan antigen and anti-mannan antibodies in the diagnosis of invasive candidiasis: recommendations from the Third European Conference on Infections in Leukemia, Crit. Care, 14, R222, https://doi.org/10.1186/cc9365.
- Solovev, A. S., Tsarapaev, P. V., Krylov, V. B., Yashunsky, D. V., Kushlinskii, N. E., and Nifantiev, N. E. (2023) A repertoire of anti-mannan Candida albicans antibodies in the blood sera of healthy donors, Russ. Chem. Bull., 72, 263-268, https://doi.org/10.1007/s11172-023-3731-3.
- Clancy, C. J., and Nguyen, M. H. (2018) Diagnosing invasive candidiasis, J. Clin. Microbiol., 56, e01909-17, https://doi.org/10.1128/JCM.01909-17.
- The Cava Trem Study Group, León, C., Ruiz-Santana, S., Saavedra, P., Castro, C., Loza, A., Zakariya, I., Úbeda, A., Parra, M., Macías, D., Tomás, J. I., Rezusta, A., Rodríguez, A., Gómez, F., and Martín-Mazuelos, E. (2016) Contribution of Candida biomarkers and DNA detection for the diagnosis of invasive candidiasis in ICU patients with severe abdominal conditions, Crit. Care, 20, 149, https://doi.org/10.1186/s13054-016-1324-3.
- Krylov, V. B., Solovev, A. S., Puchkin, I. A., Yashunsky, D. V., Antonets, A. V., Kutsevalova, O. Y., and Nifantiev, N. E. (2021) Reinvestigation of carbohydrate specificity of EBCA-1 monoclonal antibody used for the detection of Candida mannan, J. Fungi, 7, 504, https://doi.org/10.3390/jof7070504.
- Tuzikov, A., Chinarev, A., Shilova, N., Gordeeva, E., Galanina, O., Ovchinnikova, T., Schaefer, M., and Bovin, N. (2021). 40 years of glyco-polyacrylamide in glycobiology, Glycoconj. J., 38, 89-100, https://doi.org/10.1007/s10719-020-09965-5.
- Krylov, V. B., and Nifantiev, N. E. (2019) Synthetic oligosaccharides mimicking fungal cell wall polysaccharides, Curr. Top. Microbiol. Immunol., 425, 1-16, https://doi.org/10.1007/82_2019_187.
- Matveev, A. L., Krylov, V. B., Khlusevich, Y. A., Baykov, I. K., Yashunsky, D. V., Emelyanova, L. A., Tsvetkov, Y. E., Karelin, A. A., Bardashova, A. V., Wong, S. S. W., Aimanianda, V., Latgé, J.-P., Tikunova, N. V., and Nifantiev, N. E. (2019) Novel mouse monoclonal antibodies specifically recognizing β-(1→3)-D-glucan antigen, PLoS One, 14, e0215535, https://doi.org/10.1371/journal.pone.0215535.
- Matveev, A. L., Krylov, V. B., Emelyanova, L. A., Solovev, A. S., Khlusevich, Y. A., Khlusevich, Y. A., Baykov, I. K., Fontaine, T., Latgé, J.-P., Tikunova, N. V., and Nifantiev, N. E. (2018) Novel mouse monoclonal antibodies specifically recognize Aspergillus fumigatus galactomannan, PLoS One, 13, e0193938, https://doi.org/10.1371/journal.pone.0193938.
- Karelin, A. A., Tsvetkov, Yu. E., Kogan, G., Bystricky, S., and Nifantiev, N. E. (2007) Synthesis of oligosaccharide fragments of mannan from Candida albicans cell wall and their BSA conjugates, Russ. J. Bioorg. Chem., 33, 110-121, https://doi.org/10.1134/S106816200701013X.
- Karelin, A. A., Tsvetkov, Y. E., Paulovičová, L., Bystrickỳ, S., Paulovičová, E., and Nifantiev, N. E. (2009) Synthesis of a heptasaccharide fragment of the mannan from Candida guilliermondii cell wall and its conjugate with BSA, Carbohydr. Res., 344, 29-35, https://doi.org/10.1016/j.carres.2008.09.016.
- Karelin, A. A., Tsvetkov, Y. E., Paulovičová, L., Bystrickỳ, S., Paulovičová, E., and Nifantiev, N. E. (2010) Synthesis of 3, 6-branched oligomannoside fragments of the mannan from Candida albicans cell wall corresponding to the antigenic factor 4, Carbohydr. Res., 345, 1283-1290, https://doi.org/10.1016/j.carres.2009.11.012.
- Argunov, D. A., Karelin, A. A., Grachev, A. A., Tsvetkov, Yu. E., and Nifantiev, N. E. (2011) A new synthesis of the 3,6-branched hexasaccharide fragment of the cell wall mannan in Candida albicans, corresponding to the antigenic factor 4, Russ. Chem. Bull., 60, 1004-1011, https://doi.org/10.1007/s11172-011-0157-0.
- Karelin, A. A., Tsvetkov, Yu. E., Paulovičová, E., Paulovičová, L., and Nifantiev, N. E. (2015) Blockwise synthesis of a pentasaccharide structurally related to the mannan fragment from the Candida albicans cell wall corresponding to the antigenic factor 6, Russ. Chem. Bull., 64, 2942-2948, https://doi.org/10.1007/s11172-015-1251-5.
- Karelin, A. A., Tsvetkov, Y. E., Paulovičová, E., Paulovičová, L., and Nifantiev, N. E. (2016) A blockwise approach to the synthesis of (1→2)-linked oligosaccharides corresponding to fragments of the acid-stable β-mannan from the Candida albicans cell wall, Eur. J. Org. Chem., 2016, 1173-1181, https://doi.org/10.1002/ejoc.201501464.
- Karelin, A. A., Ustyuzhanina, N. E., Tsvetkov, Y. E., and Nifantiev, N. E. (2019) Synthesis of a biotinylated probe from biotechnologically derived β-D-mannopyranosyl-(1→2)-D-mannopyranose for assessment of carbohydrate specificity of antibodies, Carbohydr. Res., 471, 39-42, https://doi.org/10.1016/j.carres.2018.10.013.
- Yashunsky, D. V., Tsvetkov, Y. E., Grachev, A. A., Chizhov, A. O., and Nifantiev, N. E. (2016) Synthesis of 3-aminopropyl glycosides of linear β-(1→3)-D-glucooligosaccharides, Carbohydr. Res., 419, 8-17, https://doi.org/10.1016/ j.carres.2015.10.012.
- Yashunsky, D. V., Tsvetkov, Yu. E., and Nifantiev, N. E. (2015) Synthesis of 3-aminopropyl glycosides of branched β-(1→3)-glucooligosaccharides, Russ. Chem. Bull., 64, 2922-2931, https://doi.org/10.1007/s11172-015-1249-z.
- Yashunsky, D. V., Tsvetkov, Y. E., and Nifantiev, N. E. (2016) Synthesis of 3-aminopropyl glycoside of branched β-(1→3)-D-glucooctaoside, Carbohydr. Res., 436, 25-30, https://doi.org/10.1016/j.carres.2016.11.005.
- Tsvetkov, Y. E., Burg-Roderfeld, M., Loers, G., Ardá, A., Sukhova, E. V., Khatuntseva, E. A., Grachev, A. A., Chizhov, A. O., Siebert, H.-C., Schachner, M., Jiménez-Barbero, J., and Nifantiev, N. E. (2012) Synthesis and molecular recognition studies of the HNK-1 trisaccharide and related oligosaccharides. The specificity of monoclonal anti-HNK-1 antibodies as assessed by surface plasmon resonance and STD NMR, J. Am. Chem. Soc., 134, 426-435, https://doi.org/10.1021/ja2083015.
- Krylov, V. B., Kuznetsov, A. N., Polyanskaya, A. V., Tsarapaev, P. V., Yashunsky, D. V., Kushlinskii, N. E., and Nifantiev, N. E. (2023) ASCA-related antibodies in the blood sera of healthy donors and patients with colorectal cancer: characterization with oligosaccharides related to Saccharomyces cerevisiae mannan, Front. Mol. Biosci., 10, 1296828, https://doi.org/10.3389/fmolb.2023.1296828.
- Sendid, B., Lecointe, K., Collot, M., Danzé, P.-M., Damiens, S., Drucbert, A.-S., Fradin, C., Vilcot, J.-P., Grenouillet, F., Dubar, F., de Ruyck, J., Jawhara, S., Mallet, J.-M., and Poulain, D. (2021) Dissection of the anti-Candida albicans mannan immune response using synthetic oligomannosides reveals unique properties of β-1,2 mannotriose protective epitopes, Sci. Rep., 11, 10825, https://doi.org/10.1038/s41598-021-90402-4.
- Singh, R. K., Reuber, E. E., Bruno, M., Netea, M. G., and Seeberger, P. H. (2023) Synthesis of oligosaccharides to identify an immunologically active epitope against Candida auris infection, Chem. Sci., 14, 7559-7563, https://doi.org/10.1039/D3SC01242E.
- Ruiz-Herrera, J., and Ortiz-Castellanos, L. (2019) Cell wall glucans of fungi. A review, Cell Surf., 5, 100022, https://doi.org/10.1016/j.tcsw.2019.100022.
- Friedman Ohana, R., Kirkland, T. A., Woodroofe, C. C., Levin, S., Uyeda, H. T., Otto, P., Hurst, R., Robers, M. B., Zimmerman, K., Encell, L. P., and Wood, F. V. (2015) Deciphering the cellular targets of bioactive compounds using a chloroalkane capture tag, ACS Chem. Biol., 10, 2316-2324, https://doi.org/10.1021/acschembio.5b00351.
- Sunamura, E., Iwasaki, M., Shiina, S., Kitahara, S., Yotani, T., Manabe, M., and Miyazaki, O. (2020) A novel enzyme immunoassay for the measurement of plasma (1→3)-β-D-glucan levels, J. Immunol. Methods, 487, 112872, https://doi.org/10.1016/j.jim.2020.112872.
Дополнительные файлы
 
				
			 
						 
						 
						 
					 
						 
									
 
  
  
  Отправить статью по E-mail
			Отправить статью по E-mail 

 Открытый доступ
		                                Открытый доступ Доступ предоставлен
						Доступ предоставлен



