О параметризации прозрачности воды в природных водоемах
- Авторы: Голосов С.Д.1, Зверев И.С.1, Тержевик А.Ю.2
-
Учреждения:
- Институт озероведения РАН – обособленное структурное подразделение Санкт-Петербургского Федерального Исследовательского центра РАН
- Институт водных проблем Севера КарНЦ РАН
- Выпуск: Том 50, № 5 (2023)
- Страницы: 613-621
- Раздел: ИССЛЕДОВАНИЯ ПРОЦЕССОВ ВЗАИМОДЕЙСТВИЯ СУШИ С АТМОСФЕРОЙ И ГИДРОЛОГИЧЕСКИХ ПОСЛЕДСТВИЙ ИЗМЕНЕНИЯ КЛИМАТА
- URL: https://journal-vniispk.ru/0321-0596/article/view/140802
- DOI: https://doi.org/10.31857/S0321059623600163
- EDN: https://elibrary.ru/RZJKLT
- ID: 140802
Цитировать
Полный текст
Аннотация
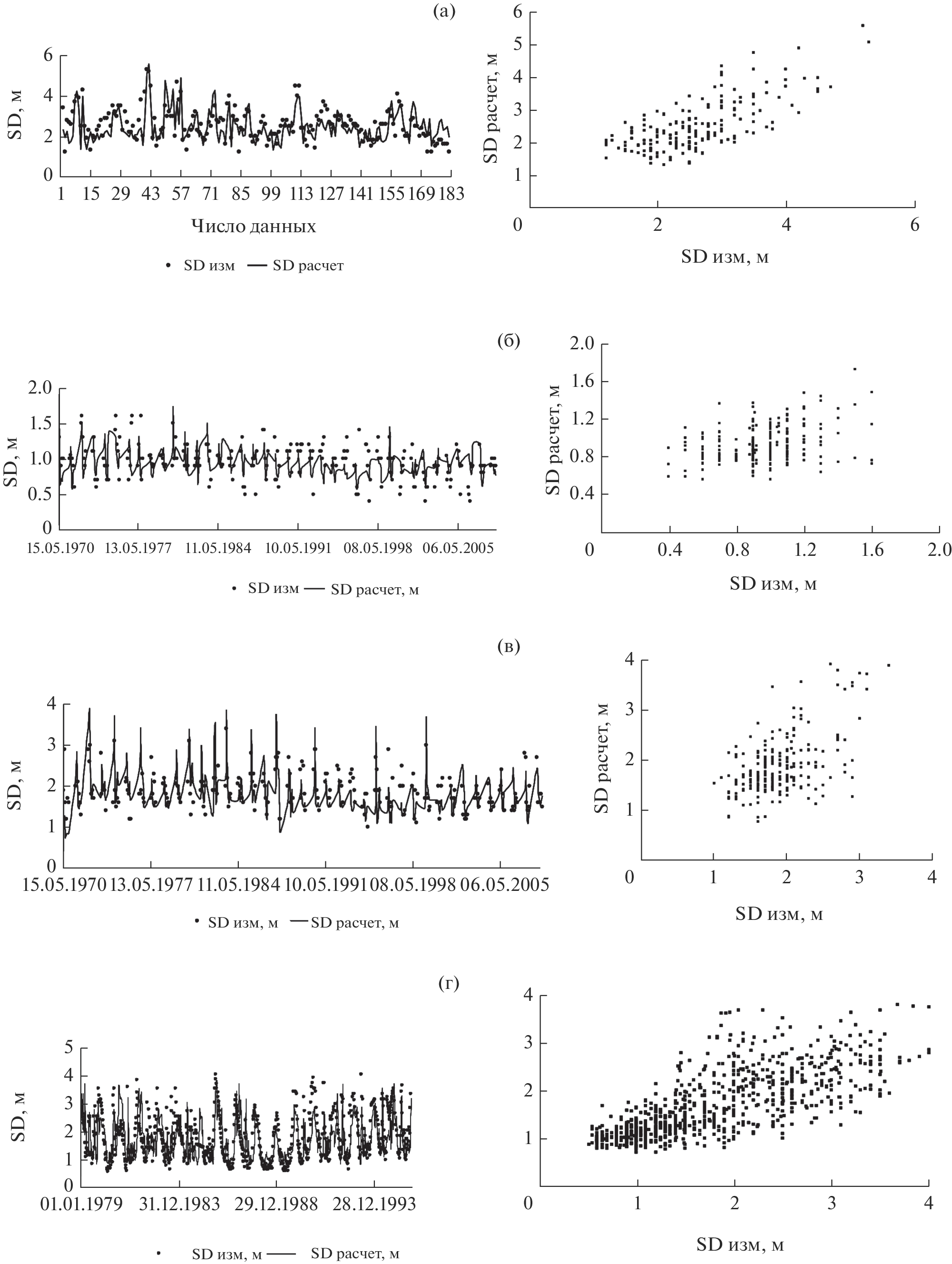
Представлена новая параметризация, описывающая пространственно-временнýю изменчивость прозрачности воды, измеряемую диском Секки, в зависимости от интегральной биомассы фитопланктона и температуры верхнего слоя воды. Параметризация верифицирована по данным натурных наблюдений в разнотипных по своим физико-географическим и химико-биологическим характеристикам озерах – от глубоководных олиготрофных северных районов Ладожского озера до мелководного гиперэвтрофного Псковского озера. Результаты верификации свидетельствуют о том, что новая параметризация может использоваться при решении широкого круга как гидротермодинамических, так и гидробиологических задач. В частности, при моделировании термического режима водоемов параметризация может использоваться для оценки коэффициента экстинкции солнечного излучения. При разработке моделей функционирования водных экосистем новая параметризация может применяться для оценки толщины трофогенного слоя, а также при оценке первичной продукции фитопланктона.
Об авторах
С. Д. Голосов
Институт озероведения РАН – обособленное структурное подразделениеСанкт-Петербургского Федерального Исследовательского центра РАН
Email: sergey_golosov@mail.ru
Россия, 196105,
Санкт-Петербург
И. С. Зверев
Институт озероведения РАН – обособленное структурное подразделениеСанкт-Петербургского Федерального Исследовательского центра РАН
Email: sergey_golosov@mail.ru
Россия, 196105,
Санкт-Петербург
А. Ю. Тержевик
Институт водных проблем Севера КарНЦ РАН
Автор, ответственный за переписку.
Email: sergey_golosov@mail.ru
Россия, 185910, Петрозаводск
Список литературы
- Бульон В.В. Первичная продукция планктона внутренних водоемов. Л.: Наука, 1983. 149 с.
- Винберг Г.Г. Первичная продукция водоемов. Минск, 1960. 329 с.
- Ерлов Н.Г. Оптика моря. Л.: Гидрометеоиздат, 1980. 248 с.
- Ладога / Под ред. В.А. Румянцева, С.А. Кондратьева. СПб.: Нестор-История, 2013. 468 с.
- Минеева Н.М. Первичная продукция планктона в водохранилищах Волги. Ярославль: Принтхаус, 2009. 279 с.
- Минеева Н.М. Растительные пигменты в воде Волжских водохранилищ. М.: Наука, 2004, 156 с.
- Минеева Н.М. Содержание фотосинтетических пигментов в водохранилищах Верхней Волги (1994–2003 гг.) // Биология внутренних вод. 2006. №1. С. 31–40.
- Одум Ю. Основы экологии. М.: Мир, 1975. 740 с.
- Секи Х. Органические вещества в водных экосистемах. Л.: Гидрометеоиздат, 1986. 199 с.
- Трифонова И.С. Экология и сукцессия озерного фитопланктона. Л.: Наука, 1990. 178 с.
- Хатчинсон Д. Лимнология. М.: Прогресс, 1969. 591 с.
- Хендерсон-Селлерс Б. Инженерная лимнология. Л.: Гидрометеоиздат, 1987. 335 с.
- Buiteveld H. A model for calculation of diffuse light attenuation (PAR) and Secchi depth // Neth. J. of Aquat. Ecol.1995. № 29. P. 55–65.
- Bukata R.P., Jerome J.H., Kondratyev K.Y., Pozdnyakov D.V. Optical Properties and Remote Sensing of Inland and Coastal Waters. CRC Press. 1995. 362 p.
- Carlson R.E. A trophic state index for lakes // Limnol. Oceanogr. 1977. № 22. P. 361.
- Davies-Colley R.J., VantW.N., Smith D.G. Colour and Clarity of Natural Waters: Science and Management of Optical Water Quality. Caldwell, New Jersey: Blackburn Press, 2003. 310 p.
- Effler S.W., Gelda R.K., Bloomfield J.A., Johnson D.L. 2001. Modeling the effects of tripton on water clarity: Lake Champlain // J. Water Resour. Plan. Manage. −ASCE 127. 2001. P. 224– 234
- Effler S.W., Perkins M. Limnological and Engineering Analysis of a Polluted Urban Lake / Ed. S.W. Effler. New York: Springer Ser. Environ. Manage. Springer-Verlag, 1996. 832 p.
- Gieskes W.W.C., Veth C., Woehrmann A., Graefe M. Secchie disk visibility world record shattered // Eos. 1986. № 68. P. 123.
- Goericke R., Welschmeyer N.A. Response of Sargasso Sea phytoplankton biomass, growth rates and primary production to seasonally varying physical forcing // J. Plankton Res. 1998. V. 20. № 12. P. 2223–249. https://doi.org/10.1093/plankt/20.12.2223
- Golosov S., Zverev I., TerzhevikA. et al. On the parameterization of phytoplankton primary production in water ecosystem models // J. Phys. Conf. Ser. 2131 032079. 2021. https://doi.org/10.1088/1742-6596/2131/3/032079
- Hakanson L. Models to Predict Secchi Depth in Small Glacial Lakes // Aquat. Sci. 1995. № 57. P. 31–53.
- Hakanson L., Boulion V.V. A model to predict how individual factors influence Secchi depth variations among and within lakes // Int. Rev. Hydrobiol. 2003. № 88. P. 212–232.
- Hedström K.S. Technical manual for a coupled sea-ice/ocean circulation model. New Brunswick, NJ: Rutgers Univ. Rep., 2000. 110 p.
- Lee Z., Shang S., Du K., Lin G., Liu T., Zoffoli L. Estimating the transmittance of visible solar radiation in the upper ocean using Secchi disk observations // J. Geophys. Res.: Oceans. 2019. № 124. P. 1434–1444. https://doi.org/10.1029/2018JC014543
- LewisM.R., CarrM., Feldman G., Esaias W., McMclain C. Influence of penetrating solar radiation on the heat budget of the equatorial Pacific Ocean // Nature. 1990. № 347 (6293). P. 543–545. https://doi.org/10.1038/347543a0
- Margalef R. Typology of reservoirs // Verh. Int. Ver. Limnol. 1975. V. 19. № 3. P. 1847–1848.
- Mellor G.L. Users guide for a threedimensional, primitive equation, numerical ocean model. Princeton, NJ: Princeton Univ. Rep., 2002. 42 p.
- Oberhuber J.M. Simulation of the Atlantic circulation with a coupled sea ice-mixed layer-isopycnal general circulation model. Part I: Model description // J. Phys. Oceanogr. 1992. № 23. P. 808–829.
- Poole H.H., Atkins W.R.G. Photo-electric measurement of submarine illumination throughout the year // J. Mar. Biol. Assoc. 1929. № 16. P. 297–324.
- Talling J.F. Comparative laboratory and field studies of photosynthesis by a marine planktonic diatom // Limnol. Oceanogr. 1960. V. 5. № 1. P. 62–77.
- Sathyendranath S., Gouveia A.D., Shetye S.R., Ravindran P., Platt T. Biological control of surface temperature in the Arabian Sea // Nature. 1991. № 349 (6304). P. 54–56. https://doi.org/10.1038/349054a0
- Swift T.J., Perez-Losada J., Schladow S.G., Reuter J.E., Jassby A.D., Goldman C.R. Water clarity modeling in Lake Tahoe: Linking suspended matter characteristics to Secchi depth // Aquat. Sci. 2006. № 68. P. 1–15 https://doi.org/10.1007/s00027-005-0798-x
- Van Duin E.H.S., Blom G., Los F.J., Maffione R., Zimmerman R., Cerco C.F., Dortch M., Best E.P.H. Modeling underwater light climate in relation to sedimentation, resuspension, water quality and autotrophic growth // Hydrobiologia. 2001. № 444. P. 25–42.
- Weidemann A.D., Bannister T.T. Absorption and scattering coefficients in Irondequoit Bay // Limnol. Oceanogr. 1986. № 31. P. 567–583.
- Westlake D.F., Adams M.S., Bindloss M.E. et al. Primary production // The Functioning of Freshwater Ecosystems. IBP 22. Cambridge: Univ. Press, 1980. P. 141–246.
Дополнительные файлы







