Влияние гидрологических условий разных участков крупного равнинного водохранилища на структуру планктона и сестона в целом
- Authors: Быкова С.В.1, Уманская М.В.1, Тарасова Н.Г.1, Мухортова О.В.1, Горбунов М.Ю.1, Краснова Е.С.1
-
Affiliations:
- Самарский федеральный исследовательский центр РАН
- Issue: Vol 51, No 1 (2024)
- Pages: 72-84
- Section: ГИДРОХИМИЯ, ГИДРОБИОЛОГИЯ, ЭКОЛОГИЧЕСКИЕ АСПЕКТЫ
- URL: https://journal-vniispk.ru/0321-0596/article/view/260960
- DOI: https://doi.org/10.31857/S0321059624010072
- EDN: https://elibrary.ru/EDYTKT
- ID: 260960
Cite item
Full Text
Abstract
Приведена сравнительная характеристика структуры планктонного сообщества на различных участках равнинного водохранилища (Куйбышевское водохранилище, р. Волга). Показана степень влияния планктона (и сестона в целом) притоков на планктон и сестон водохранилища в зависимости от их расположения в разных морфометрических (гидрологических) зонах и от режимов сброса водных масс через близрасположенные плотины. Вклад притока на верхнем участке водохранилища в показатель содержания общего углерода приемного водоема более значителен (81 и 61% общего органического углерода планктона в выходные и рабочие дни соответственно), чем на нижнем участке водохранилища (4.4 и 1.5%). Оценено влияние работы ГЭС на амплитуду колебания суммарной биомассы планктонного сообщества и его структуру в приплотинной части водохранилища (верхний бьеф плотины). В период уменьшения сброса вод и, соответственно, снижения скоростей течения в выходные дни отмечались максимальные показатели общей биомассы планктона с одновременным увеличением доли цианобактерий в ее структуре.
Keywords
Full Text
Введение
Водохранилища представляют собой рукотворные, сложно организованные системы, в пределах которых выделяются разные гидрологические зоны [1, 12]. Основные факторы для выделения гидрологических зон и трансформирования водохранилищных водных масс – гидрогенные и метеогенные (глубины, ветро-волновой и скоростной режим, режим работы ГЭС, впадающие притоки и типы их устьевых областей) [3, 18], однако существенное влияние на изменение характеристик вод в водохранилище оказывают и биологические компоненты экосистем, которые в свою очередь зависят от абиотических, в том числе гидрологических, факторов среды.
Влияние притоков на планктонное сообщество водохранилищ изучалось многими авторами [2, 5, 36, 40, 42]. Исследованы и различные воздействия на водные организмы (в основном рыб, моллюсков и зоопланктон) непосредственно в процессе прохождения их через турбины ГЭС: механическое, перепады давления, кавитация, турбулентность и сдвигающие напряжения [15, 20, 25, 27, 30, 32, 37, 38, 45]. Однако влияние факторов, связанных с режимами работы ГЭС и типом их регулирования (скорость течения, направление движения воды, колебания уровня воды, расхода воды, объема стока и пр.), на развитие и функционирование планктона и его компонентов изучено недостаточно. Более того, имеющиеся данные не позволяют однозначно оценить это влияние [8, 10, 17, 21, 24, 26, 28]. Кроме того, под планктоном, в частности одноклеточным, часто имеют в виду только преобладающий – как правило, по биомассе – фитопланктон; остальные компоненты планктона в силу их кажущейся менее значительной роли не оцениваются. Тем не менее планктонные организмы одними из первых испытывают на себе влияние любых изменений минерализации, температуры, газового режима и т. д., связанных с фронтальной трансформацией различных водных масс, например в местах впадения крупных притоков, а также изменений в скорости, направлении течения, турбулентности и т. д., обусловленных периодичным режимом работы ГЭС. В связи с этим особый интерес представляет анализ реакции сообщества планктонных организмов разных участков водохранилища на комплексное влияние притоков и режима работы ГЭС.
Цель данного исследования – изучение влияния гидрологических особенностей разных участков (у входного и замыкающего створов) Куйбышевского водохранилища на структуру планктона в целом.
Район и методы исследования
Куйбышевское водохранилище, самое крупное долинное водохранилище в Волжско-Камском каскаде, испытывает на себе влияние сразу трех плотин (ГЭС): Чебоксарской, Нижнекамской и Жигулевской (рис. 1). Верхний участок водохранилища (по его Камскому плесу) совпадает с нижним бьефом Нижнекамской ГЭС, а нижний участок (Приплотинный плес) – с верхним бьефом Жигулевской ГЭС. На обоих участках по правому берегу впадают притоки – реки Вятка и Уса. При этом устьевая зона р. Вятки относится к простому типу, а р. Усы – к эстуарному [18], располагаются они в нижнем и верхнем бьефах разных плотин соответственно (рис. 1).
Рис. 1. Картосхема района исследования: I – верхний участок, II – нижний участок.
Исследования проводили в осенний период 2020 г. Пробы отбирали батометром Дьяченко (объем 10 л) в Приплотинном плесе (участок II) с 17 сентября по 3 октября на 21-й станции, равномерно расположенных по акватории плеса; в Камском плесе (участок I) – с 17 по 19 октября на девяти станциях на участке от ст. Бетьки до станции, расположенной ниже впадения р. Шешмы (рис. 1). Одновременно с отбором гидробиологических проб проводили измерения физико-химических параметров. Подробная схема расположения станций и их описание приведены в работах [29, 44]. Исследование бактерио-, фито-, протозоо- и зоопланктона проводили по стандартным гидробиологическим методикам [7, 13, 16, 41]. Концентрацию хлорофилла а (Хл а) определяли в интегральных пробах в ацетоновых экстрактах. Содержание детрита оценивали так, как описано в работе [39]. Биомассу сестона и его компонентов выражали в единицах углерода (мкг С/л) и рассчитывали по известным формулам [11]. К доминирующим относили виды, численность и биомасса которых составляла ≥10% от общих показателей. Коэффициенты корреляции r, приведенные в тексте, достоверны при p < 0.05.
Анализ расхода воды приведен по данным гидрологических постов, расположенных в рассматриваемых районах [9]: Нижнекамская ГЭС, Вятские поляны, Куйбышевский гидроузел. Поскольку гидропост на р. Усы (с. Байдеряково) в настоящее время не работает, для анализа были использованы среднемноголетние данные стока в сентябре–октябре [19]. Вариабельность стока на этом гидропосту была незначительной, поэтому авторы статьи посчитали возможным использовать эти данные для расчетов.
Органический углерод сестона и его компонентов (планктона и детрита), приносимый реками, с учетом притока воды по данным гидропостов рассчитывали по формуле:
Сорг = BQ,
где Сорг – общий органический углерод, г С/с; B – содержание углерода в планктоне (или его компонентах), детрите или сестоне в целом, г С/м3; Q – расход воды по данным гидрологических постов, м3/с.
Исходя из этого, на участке водохранилища ниже впадения притока можно оценить вклад органического углерода, приносимого с водами притока, в планктон, детрит или сестон в целом. Расчеты проводили, принимая, что Сорг1 относится к притоку (р. Вятка или р. Уса), а Сорг2 – к водохранилищу (реки Кама и Волга) выше впадения притока соответственно. Тогда в состав сестона в целом (планктона или детрита по отдельности) ниже впадения притока входят органический углерод водохранилища выше впадения Сорг2 и углерод притока Сорг1, вклад последнего ХСорг (%) можно рассчитать так:
XCорг = (100 × Сорг1 + Сорг2).
Результаты и обсуждения
Абиотические условия
Большая протяженность Куйбышевского водохранилища в меридиональном направлении и его морфометрическая неоднородность приводят к неравномерному распределению многих гидрофизических и гидрохимических показателей. Например, мутность воды имеет наибольшие значения (>300 г/м3) в области наименьших глубин в верхней части водохранилища, а наименьшие (100–200 г/м3) – в Приплотинном плесе [23]. Кроме того, в нижнем и верхнем бьефах разных плотин складываются разные гидрологические условия для планктонных гидробионтов. В нижнем бьефе, как правило, небольшие глубины, но более высокая скорость, высокие турбулентность и кавитация, повышенные мутность и взвесь и т. д. Также здесь отмечается более сильное колебание расхода и уровня воды [45]. В верхнем бьефе плотин вода более прозрачная [14], уровень воды меняется меньше, более значительно влияние ветровых и сгонно-нагонных явлений, часто менее благоприятный кислородный режим и более выраженная температурная стратификация и т. д. Тем не менее воздействие плотин на участках водохранилищ выше по течению, как правило, меньше, чем на участках ниже по течению [37, 38].
В период исследования нижний участок Куйбышевского водохранилища, как и следовало ожидать, отличался бόльшими как средними (табл. 1), так и максимальными глубинами станций отбора проб по сравнению с верхним участком (до 32 м и до 11 м соответственно). В осенний период наблюдений в условиях постепенного охлаждения воды и постоянного ветрового перемешивания в Приплотинном плесе, несмотря на обширную акваторию, коэффициенты вариации Cv (%) многих гидрофизических и гидрохимических характеристик ≤35%, за исключением мутности (68%) и цветности воды (53%) [22]. Еще более высокие коэффициенты вариации характерны для Хл а и детрита (табл. 1). Все это указывает на мозаичный характер распределения исследованных параметров. Исследования на верхнем участке проводили почти на месяц позже, чем на нижнем (в Приплотинном плесе), чем объясняются значительные различия температуры (табл. 1). Кроме того, вод ные массы верхнего участка отличались меньшей прозрачностью и большей электропроводностью (табл. 1).
Таблица 1. Характеристика абиотических условий (среднее ± стандартное отклонение) на разных участках Куйбышевского водохранилища в сентябре–октябре 2020 г. (собственные данные авторов статьи и данные [21, 28, 43] с дополнениями и изменениями; в скобках – коэффициент вариации, %)
Параметр | Выше притока | Устье притока | Ниже притока | В среднем на участке |
Верхний участок (Камский плес, нижний бьеф Нижнекамской ГЭС, приток – р. Вятка) | ||||
Глубина, м | 7.8±2.6 | 3.6 | 8.4±3.6 | 7.5±2.4 (32%) |
Прозрачность, м | 1.72±0.31 | 1.1 | 1.33±0.15 | 1.5±0.4 (28) |
Tводы, ˚С | 10.52±0.50 | 9.8 | 10.77±1.63 | 10.5±0.9 (8.5) |
pH | 7.82±0.49 | 8.8 | 8.23±0.25 | 8.1±0.6 (6.9) |
O2, мг/л | 11.28±1.14 | 10.1 | 9.00±0.46 | 10.4±1.6 (16) |
УЭП, мкСм/см | 447.2±23.1 | 406 | 444.7±10.2 | 441.8±14.9 (3.4) |
Nдетрита, 106 част/мл | 0.27±0.36 | 0.04 | 0.21±0.06 | 0.25±0.27 (136) |
Bдетрита, мкг С/л | 207.8±162.6 | 9.5 | 244.3±128.5 | 221.5±142.1 (73%) |
Нижний участок (Приплотинный плес, верхний бьеф Жигулевской ГЭС, приток – р. Уса) | ||||
Глубина, м | 11.2±5.1 | 22.0 | 15.0±9.3 | 12.6±6.9 (54) |
Прозрачность, м | 3.0±0.4 | 3.0 | 3.5±0.4 | 3.2±0.5 (15) |
Tводы, ˚С | 15.5±0.5 | 16.5 | 15.3±0.4 | 15.4±0.5 (3) |
pH | 8.39±0.10 | 8.49 | 8.43±0.08 | 8.4±0.09 (12) |
Eh | 179±12 | 171 | 181±10 | 179.8±10.7 (6.0) |
O2, мг/л* | 7.91±0.25 | 7.71 | 8.09±0.19 | 7.97±0.24 (3.1) |
УЭП, мкСм/см* | 318.6±7.7 | 308 | 317.1±8.5 | 318.1±7.8 (2.4) |
Хл a, мкг/л | 2.91±2.48 | 2.99 | 2.89±1.49 | 2.91±2.08 (78) |
Nдетрита, 106 част/мл | 0.03±0.02 | 0.02 | 0.03±0.04 | 0.03±0.03 (99) |
Bдетрита, мкг С/л | 86.9±100.3 | 260.0 | 161.5±248.9 | 113.0±165.1 (146) |
* Данные А.В. Рахубы и Л.Г. Тихоновой.
Гидрологические особенности исследованных участков в значительной степени определяются режимом работы гидроузлов [8], для которых характерны суточные и недельные циклы работы. Влияние водных масс притоков можно проследить не по всем измеренным параметрам. Притоки (реки Вятка и Уса) несколько менее минерализованы, чем прилегающие к ним участки водохранилища, поэтому после их впадения в приемном водоеме отмечалось незначительное снижение электропроводности (табл. 1). В случае Вятки после впадения ее водных масс в Камский плес водохранилища отмечалось еще и уменьшение прозрачности, содержания кислорода, повышение pH и значительное уменьшение количества детритных частиц. Влияние р. Усы выражено не однозначно, поскольку близость плотины сглаживает различия водных масс притока и водохранилища из-за высокого подпора водохранилищными водными массами и более интенсивного водообмена между ними. Возможно, эти различия обусловлены еще и разными типами устьевых областей рек Вятки и Усы – простым и эстуарным соответственно [18], а также разными величинами стока двух притоков (сток р. Вятки в 3.6 раза превосходит сток р. Усы).
Структура сестона на разных участках Куйбышевского водохранилища
Сестон – неотъемлемая часть водных экосис тем, включающий в себя мертвое органическое вещество (пико- и нанодетрит) и планктон (фито-, зоо-, протозоо- и бактериопланктон) [35]. Элементный состав сестона, соотношения планктона и детрита и их размерных фракций сильно меняются в зависимости от условий среды; например, в периоды значительного развития фитопланктона в экосистемах преобладает “живое” вещество над детритом [31, 33, 34, 39, 43].
Содержание сестона (средние и максимальные значения) на верхнем участке водохранилища вдвое превышало таковое в его нижней части (табл. 2). Абсолютный максимум содержания сестона (1318 мкг С/л) в исследованном районе зарегистрирован в устье Вятки. На нижнем участке наибольшая масса сестона составила 762 мкг С/л и была зарегистрирована на станции напротив устья р. Усы в средней части плеса. В целом, соотношение основных компонентов сестона – детрита и планктона – на верхнем участке водохранилища в среднем составляло 1:2, на нижнем было примерно равным (1:1). Тем не менее в целом на верхнем участке количество детритных частиц было выше, чем на нижнем участке (табл. 1). В составе детрита в водах Камского плеса пикодетритных частиц было ~60% общего числа всех детритных частиц, а в водах Приплотинного плеса ~40%. Основной вклад в массу детрита на обоих плесах вносили нанодетритные частицы (табл. 1, 2). Однако в самой р. Вятке детрит практически отсутствовал, а в р. Усе масса детрита превышала биомассу планктона в 2.7 раза (табл. 1, 2), что часто наблюдается в устьевой зоне других водных объектов эстуарного типа [43]. Различием соотношений детрита и планктона притоков объясняется разнонаправленное изменение структуры сестона на исследованных участках после их впадения (табл. 2). На верхнем участке выше впадения Вятки соотношение детрита и планктона было 1.3:1.0, а после ее впадения стало 1:2. На нижнем участке соотношение детрита и планктона составляло 1.0:1.4 до впадения р. Усы и 1.2:1.0 – после ее впадения. Таким образом, зафиксировано перераспределение соотношения структурных компонентов сестона в водохранилище под влиянием притоков на обоих участках, более выраженное – на верхнем участке.
Таблица 2. Состав сестона на разных участках Куйбышевского водохранилища
Параметр | Выше притока | Устье притока | Ниже притока | В среднем на участке |
Верхний участок (I) | ||||
Сестон, мкг С/л | 371.7 ± 147.1* | 1317.9 | 727.7 ± 444.1 | 595.5 ± 403.9 |
пикодетрит, % | 4.0 | 0.2 | 1.7 | 2.1 |
нанодетрит, % | 51.9 | 0.6 | 31.8 | 31.1 |
планктон, % | 44.1 | 99.3 | 66.4 | 66.8 |
Нижний участок (II) | ||||
Сестон, мкг С/л | 207.6 ± 131.4 | 354.4 | 314.3 ± 246.9 | 247.0 ± 143.3 |
пикодетрит, % | 0.6 | 0.2 | 0.7 | 0.6 |
нанодетрит, % | 41.2 | 73.1 | 54.5 | 49.6 |
планктон, % | 58.2 | 26.7 | 44.8 | 49.7 |
*Среднее ± стандартное отклонение.
Структура планктонного сообщества на разных участках водохранилища
В период исследования суммарная биомасса планктона верхнего и нижнего участков Куйбышевского водохранилища (рис. 1) варьировала от 35.4 до 1305.7 мкг С/л. При этом на верхнем участке она менялась в пределах от 135.1–1305.7 мкг С/л с максимумом на устьевой станции р. Вятки, на нижнем участке – от 35.4 до 297.3 мкг С/л с максимальными значениями на станциях на границе между Новодевиченским и Приплотинным плесами. В среднем величина биомассы в нижнем бьефе Нижнекамской ГЭС (верхний участок) в >3 раза выше, чем в верхнем бьефе Жигулевской ГЭС (нижний участок). Возможно, это связано с разным составом планктона разных водных масс – преимущественно камских на верхнем участке и трансформированных, собственно водохранилищных, – на нижнем участке.
На обоих участках одноклеточный планктон составлял основную часть планктонного сообщества (табл. 3; рис. 2а). Вклад метазоопланктона был в среднем невелик. Для каждого участка повышенные доли метазоопланктона были отмечены на станции перед впадением Вятки (7.6% суммарной биомассы планктона) и перед плотиной Жигулевской ГЭС (29.5%). Интересно отметить, что доля коловраток в суммарной биомассе планктона была выше на нижнем участке (табл. 3; рис. 2а). В Камском плесе в составе одноклеточного планктона доминируют эукариоты, преимущественно диатомовые водоросли (61% общей биомассы планктона), а в Приплотинном плесе – прокариоты (в основном цианобактерии, 50% общей биомассы планктона). В целом, доля автотрофного компонента на нижнем участке несколько выше (табл. 3; рис. 2а): соотношение автотрофных и гетеротрофных (включая метазоопланктон) компонентов планктона было 2.2:1.0 в Приплотинном плесе и 1.8:1.0 – в Камском плесе. Таким образом, основное различие между участками – соотношение про- и эукариотических организмов планктона.
Таблица 3. Вклады в биомассу по углероду (%) компонентов суммарного планктона на разных участках Куйбышевского водохранилища
Компоненты планктона | Верхний участок | Нижний участок | ||||
водохранилище без устья р. Вятки | устьевая зона р. Вятки | целиком | водохранилище без устья р. Усы | устьевая зона р. Усы | целиком | |
Прокариоты | 48.8 | 3.4 | 32.2 | 80.4 | 43.2 | 78.9 |
Эукариоты | 51.2 | 96.6 | 67.8 | 19.6 | 56.8 | 21.1 |
Одноклеточный | 95.3 | 99.8 | 97.0 | 94.0 | 91.3 | 93.9 |
Многоклеточный | 4.7 | 0.21 | 3.0 | 6.0 | 8.7 | 6.1 |
Автотрофный | 46.4 | 96.3 | 64.7 | 69.6 | 49.5 | 68.8 |
Гетеротрофный | 53.6 | 3.7 | 35.3 | 30.4 | 50.5 | 31.2 |
Притоки нарушают относительную однородность водных масс на исследуемых участках (табл. 1), особенно в верховьях водохранилища. Как видно из табл. 3 и рис. 2б, приток оказывает более существенное влияние на структуру планктона в верховье водохранилища, где меньше подпор собственно водохранилищными массами. Коэффициент вариации суммарной биомассы планктона в Камском плесе, исключая устьевую зону Вятки, составляет 89%, а с учетом последней – 105%. Из-за большего проникновения водохранилищных вод в Усинский залив коэффициенты вариации биомассы планктона на акватории Приплотинного плеса с заливом и без него практически не различаются и составляют 72–73%.
Рис. 2. Средняя структура суммарного планктона по биомассе верхнего (Камский плес) и нижнего (Приплотинный плес) участков Куйбышевского водохранилища с устьевыми зонами притоков (а) и изменение структуры планктона под их влиянием (б): 1 – цианобактерии, 2 – диатомовые, 3 – зеленые, 4 – прочий фитопланктон, 5 – гетеротрофные бактерии, 6 – инфузории, 7 – коловратки, 8 – кладоцеры, 9 – копеподы, 10 – автотрофный пикопланктон.
Абсолютная биомасса планктона в водохранилище выше впадения притоков была ниже, чем после впадения. Так, после слияния с р. Вяткой суммарная биомасса увеличилась в 5.2 раза, а после впадения р. Усы – в 2.2 раза (если учитывать только прилегающие к устьевой зоне станции). И Вятка, и Уса, несущие значительное количество диатомовых в составе планктона, способствуют увеличению вклада последних в его биомассу после впадения притоков в водохранилище: с 10 до 62% в Камском Плесе и с 8 до 21% в Приплотинном плесе (рис. 2б). Вклад гетеротрофных бактерий, напротив, уменьшается с 83 до 29% и с 26 до 21% соответственно. Кроме того, непосредственно в зоне слияния с р. Усой (рис. 2б) и в целом по акватории после места слияния с притоком уменьшается роль цианобактерий в формировании планктона (рис. 2б). О более значимом влиянии р. Вятки по сравнению с р. Усой свидетельствуют и разные соотношения компонентов планктона с учетом притока и без него (табл. 3).
При этом отмечены различия состава доминирующего комплекса видов гидробионтов на разных участках водохранилища. В составе фитопланктона на верхнем участке, включая приток (р. Вятка), доминировала диатомовая водоросль Stephanodiscus hantzschii Ehr. На нижнем участке в притоке (р. Уса) доминировал другой вид диатомовых – Aulacoseira granulata (Ehr.) Sim. Последний играл заметную роль и на водохранилищных станциях нижнего участка, причем его вклад заметно возрастал на станциях ниже впадения притока. Однако основу доминирующего комплекса фитопланктона нижнего участка составляли цианобактерии Microcystis aeruginosa (Kütz.) Kütz., M. wesenbergii Kom. и Aphanizomenon flos-aquae (L.) Ralfs. Их распределение по акватории и вклад в общую биомассу фитопланктона не зависели от влияния притока и определялись другими факторами, в частности действием ветра и течений, что приводило к образованию пятен “цветения”.
Основу биомассы зоопланктона в притоках составляли ракообразные, однако в р. Усе доминировали Acanthocyclops americanus (Marsh, 1892) и Bosmina (Eubosmina) coregoni Baird, 1857, а в р. Вятке – копеподиты Calanoida и Cyclopoida и Pleuroxus striatus Schoedler, 1863. На верхнем участке (без учета устьевой зоны притока) преобладали Eurytemora velox (Lilljeborg, 1853), Heterocope appendiculata Sars, 1863 и копеподиты Calanoida и Cyclopoida, однако их соотношение менялось после впадения притока. Например, вклад H. appendiculata в биомассу зоопланктона после впадения р. Вятки вырос до 54% по сравнению с 13% выше ее впадения. На нижнем участке (без учета устьевой зоны притока) основу биомассы зоопланктона составляли коловратки, причем выше впадения притока доминировали Bipalpus hudsoni (Imhof, 1891), а ниже – Asplanchna priodonta Gosse 1850. Среди ракообразных по всей акватории доминировали Bosmina (Bosmina) longirostris (O.F. Müller, 1776), B. (E.) coregoni и Chydorus sphaericus (O.F. Müller, 1776). Их состав и соотношение были довольно постоянными, независимо от притока.
В составе доминирующего комплекса инфузорий в р. Вятке зарегистрированы в основном мелкий Rimostrombidium hyalinum (Mirabdulaev, 1985) Petz & Foissner, 1992 и разные виды Urotricha, что привело к существенному возрастанию доли R. hyalinum и изменению соотношения остальных видов доминирующего комплекса ниже впадения притока в водохранилище. На нижнем участке с водами р. Усы в Приплотинный плес приносились тинтинниды (сем. Tintinnidae), однако существенного влияния на сообщество инфузорий водохранилища они не оказывали – и выше впадения притока, и ниже состав доминирующего комплекса почти не менялся (Tintinnopsis cylindrata Kofoid & Campbell, 1892, R. hyalinum, Rimostrombidium lacustris (Foissner, Skogstad & Pratt, 1988)).
Влияние объемов стока рек Вятки и Усы и режима работы ГЭС на сестон водохранилища
Объем стока притоков водохранилища постоянен и определяется только их гидрологическими характеристиками. В водохранилище объемы стока сильно зависят от режима работы ГЭС и меняются в соответствии с днем недели и требованиями энергетической системы. В октябре 2020 г. сток р. Вятки составлял ~490 м3/c, независимо от дня недели. Напротив, на сток р. Камы сильно влиял режим работы Нижнекамской ГЭС: в рабочие дни он в 2.8 раза превышал таковой в выходные (табл. 4). Несмотря на меньший объем стока в р. Вятке, количество органического углерода, приносимого ее водами, сопоставимо с таковым в р. Каме. Расчеты показали, что на участке Камы ниже впадения р. Вятки 81% общего органического углерода планктона в выходные и 61% в рабочие дни формировались за счет выноса с р. Вяткой. Напротив, детрит в основном (>97%) поступал непосредственно с камскими водами. Таким образом, значение планктона р. Вятки очень существенно для формирования запасов органического вещества в нижнем течении р. Камы, а его количественный вклад определяется недельным режимом работы ГЭС (табл. 4).
Таблица 4. Изменения количества органического углерода на разных участках в зависимости от недельного регулирования расхода воды (расход воды – по данным [9, 18])
Приток, приемный водоем | Расход воды, м3/c | Органический углерод, г С/с | ||
всего | детрит | планктон | ||
Верхний участок | ||||
р. Вятка | 490 | 646 | 4.6 | 641.1 |
р. Кама (рабочие дни) | 2500 | 944.5 | 539.1 | 405.4 |
р. Кама (выходные дни) | 900 | 340 | 194.1 | 146.0 |
Нижний участок | ||||
р. Уса | 136 | 48.2 | 35.4 | 12.9 |
р. Волга (рабочие дни) | 5490 | 1394.0 | 553.9 | 840.1 |
р. Волга (выходные дни) | 3610 | 484.8 | 202.2 | 282.6 |
Объем стока р. Усы почти в 4 раза меньше объема стока р. Вятки, тогда как объемы стока р. Волги превышали таковые в р. Каме (табл. 4). Кроме того, на нижнем участке объем стока в водохранилище в рабочие дни в 40 раз, а в выходные в 26 раз превышал таковой в р. Усе, а на верхнем участке это соотношение было всего лишь 5 и 1.8 соответственно.
На нижнем участке водохранилища (Приплотинный плес) за счет выноса с р. Усой в выходные формировалось всего лишь 4.4% общего органического углерода планктона, а в рабочие дни еще меньше – 1.5% (табл. 4). Детрит, поступающий с водами р. Усы, составлял 14.9 и 6.0% в выходные и рабочие дни соответственно. Таким образом, вклад детрита и планктона р. Усы в органический углерод водных масс нижнего участка водохранилища (Приплотинный плес) был незначительным по сравнению с верхним участком (р. Вятка, Камский плес). Это связано с разным соотношением величин стока притоков и приемного водоема (водохранилища), с одной стороны, и разными величинами стока впадающих рек Вятки и Усы, с другой. Кроме того, притоки различаются и характером устьевой зоны: в случае р. Усы она организована по эстуарному типу; в случае р. Вятки – по типу простого впадения в приемный водоем [18]. Для р. Усы характерен сниженный водоток и постоянный подпор водохранилищными массами из-за близости плотины, а для р. Вятки, напротив, – переменный подпор и более высокие скорости течения. В целом выявленное в позднеосенний период влияние притока более выражено в верховьях водохранилища (в нижнем бьефе Нижнекамской ГЭС). Тем не менее и в верховьях, и в низовьях оно трансформируется под влиянием режима работы ГЭС.
Влияние режима работы ГЭС на отдельные компоненты и структуру планктона в целом на нижнем участке водохранилища (Приплотинный плес)
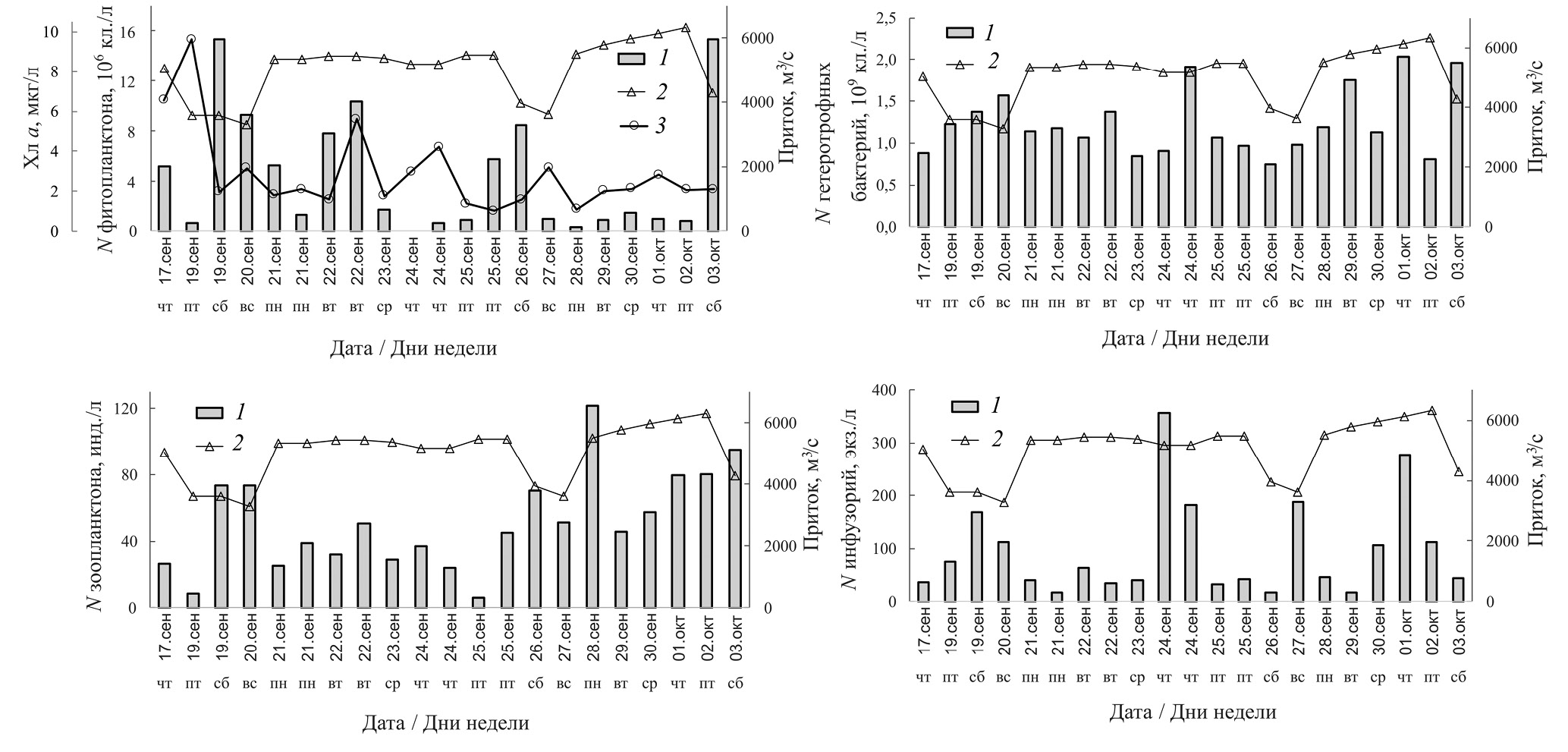
В осенний период погодно-климатические условия способствуют интенсивному перемешиванию толщи воды на всей акватории Приплотинного плеса Куйбышевского водохранилища и, следовательно, выравниванию физико-химических условий не только по вертикали, но и по горизонтали [22]. Поэтому ежедневные отборы проб на разных станциях в относительно однородной среде дают хорошую возможность проанализировать связь колебаний численности, биомассы и структуры планктона с режимом работы ГЭС на примере величин суточного притока (или сброса) воды (рис. 3, 4).
Рис. 3. Динамика численности N отдельных компонентов планктона 1, величины притока воды 2 и содержания хлорофилла 3. Данные по величинам притока воды на Куйбышевском гидроузле по [9]. Здесь и на рис. 4 данные приведены в хронологическом порядке, в некоторые даты отбор проводили на двух станциях.
Рис. 4. Влияние гидрологических характеристик (недельное регулирование водного стока) водохранилища на количественные показатели и структуру планктона Приплотинного плеса. По оси абсцисс – дата и день недели. Данные по притоку и сбросу воды по [9]; Δ – разность между сбросом и притоком.
При кажущейся хаотичности колебаний численности отдельных компонентов планктона в периоды снижения суточного притока воды (выходные дни), как правило, регистрируется некоторое ее увеличение для большинства компонентов планктона. Наименее выражено это влияние для бактерий, а наиболее – для фитопланктона (рис. 3). Аналогичная закономерность отмечалась для планктонных инфузорий в августе 2012 г. [4]. Дополнительные пики численности отдельных компонентов обусловлены локальными условиями и приурочены, например, к местам повышенной антропогенной нагрузки или впадения притоков (рис. 3). Интересно отметить, что с уровнем суточного притока воды концентрация Хл а связана в значительно меньшей степени (r = –0.32), чем численность фитопланктона (r = –0.48), поскольку концентрация Хл а зависит не только от численности фитопланктона, но и от его структуры. Ранее аналогичная и даже более выраженная зависимость между концентрацией Хл а и динамикой суточной приточности (r = –0.62) отмечалась ниже Жигулевской ГЭС в Саратовском водохранилище в летний период в условиях массового цветения цианобактериями [21].
Анализ данных показал, что с особенностями гидрологического режима водохранилища более тесно связаны не столько численность и биомасса отдельных компонентов, сколько суммарная биомасса всего планктонного сообщества, ее амплитуда, частота колебаний и соотношение основных компонентов (т. е. структура биомассы) (рис. 4). В выходные дни приток воды в Приплотинном плесе был минимальным. В это время зарегистрированы максимальные величины биомассы планктона (преимущественно за счет фитопланктона) и возрастал вклад в ней цианобактерий (рис. 4). Подобный характер изменений планктонного сообщества может быть связан с малым суточным притоком воды, который может приводить к понижению скорости течения воды, что, как показано в работе [6], способствует более интенсивному развитию цианобактерий. В момент, когда сброс через Жигулевскую ГЭС увеличивается, а приток еще минимальный (максимальная разность между сбросом и притоком (рис. 4)), абсолютная величина суммарной биомассы планктона резко снижается. Меньшие пики суммарной биомассы планктона с более разнообразной структурой, вероятно, связаны с локальными биотопическими условиями, например с устьевой зоной р. Усы (рис. 4). Кроме того, отбор проб в устьевой зоне р. Усы совпал с кратковременным увеличением (вне недельного графика) сработки через плотину. Это, вероятно, уменьшило подпор водохранилищными водами в Усинском заливе, что в свою очередь усилило влияние р. Усы (рис. 4).
Заключение
Исследовано развитие и функционирование планктона и его компонентов на разных участках Куйбышевского водохранилища под влиянием изменения объема стока, обусловленного режимами работы ГЭС с недельным типом регулирования и влиянием притоков. Особенности состава и структуры сестона в целом на разных участках водохранилища обусловлены различиями состава водных масс, типами устьевых зон исследованных притоков, а также гидрологическими особенностями нижних и верхних бьефов гидроузлов, отличающихся морфометрией, уклоном, глубиной, соотношением объемов стока впадающей реки и приемного водоема и т. д. Биомасса сестона на верхнем участке (нижний бьеф Нижнекамской ГЭС) была выше, чем на нижнем (верхний бьеф Жигулевской ГЭС). При этом биомасса планктона верхнего участка превышала массу детрита почти в два раза, тогда как на нижнем участке они были практически равны. На верхнем участке в структуре планктона преобладали одноклеточные эукариоты (преимущественно диатомовые водоросли), а на нижнем – прокариоты (преимущественно цианобактерии). Вклад метазоопланктона был невелик на обоих участках. На примере нижнего участка водохранилища показано, что режим работы ГЭС влияет не столько на количественные показатели отдельных компонентов планктона, сколько на биомассу и структуру планктона в целом. Так, в условиях повышенного сброса воды в рабочие дни биомасса планктонного сообщества снижается. При этом происходит перераспределение автотрофной и гетеротрофной составляющих планктона в пользу последней за счет уменьшения доли цианобактерий и возрастания доли гетеротрофных бактерий и метазоопланктона.
В водохранилище в местах впадения притоков и ниже отмечается увеличение общей биомассы планктонного сообщества, одновременно с которым происходит изменение его структуры, ярче выраженное на верхнем участке. На обоих участках ниже впадения притоков наблюдаются снижение вклада гетеротрофных бактерий (а на нижнем – еще и цианобактерий) и увеличение вклада диатомовых водорослей. Степень влияния притоков на сестон водохранилища во многом определяется режимом работы гидроузлов и, опосредованно, впадением их в водохранилище на разных участках. На верхнем участке (Камский плес) в районе впадения р. Вятки за счет притока формировалось 81% общего органического углерода планктона в выходные дни и 61% – в рабочие; а на нижнем участке водохранилища (Приплотинный плес) за счет выноса с р. Усой – соответственно 4.4 и 1.5%. В дальнейшей работе для более корректного и точного сравнения сообществ планктона на разных участках водохранилища необходимы исследования и в нижнем бьефе Чебоксарской ГЭС.
Благодарности
Авторы признательны Р. А. Михайлову, А. В. Рахубе и Л. Г. Тихоновой (ИЭВБ РАН), принимавшим участие в комплексной экспедиции, за помощь при отборе проб и предоставленные некоторые физико-химические данные; А. И. Цветкову (ИБВВ РАН, г. Борок) за участие в обсуждении рукописи и анонимных рецензентов за ценные советы и замечания, которые позволили существенно улучшить рукопись.
About the authors
С. В. Быкова
Самарский федеральный исследовательский центр РАН
Email: svbykova514@gmail.com
Институт экологии Волжского бассейна РАН
Russian Federation, 445003, ТольяттиМ. В. Уманская
Самарский федеральный исследовательский центр РАН
Email: svbykova514@gmail.com
Институт экологии Волжского бассейна РАН
Russian Federation, 445003, ТольяттиН. Г. Тарасова
Самарский федеральный исследовательский центр РАН
Email: svbykova514@gmail.com
Институт экологии Волжского бассейна РАН
Russian Federation, 445003, ТольяттиО. В. Мухортова
Самарский федеральный исследовательский центр РАН
Email: svbykova514@gmail.com
Институт экологии Волжского бассейна РАН
Russian Federation, 445003, ТольяттиМ. Ю. Горбунов
Самарский федеральный исследовательский центр РАН
Author for correspondence.
Email: svbykova514@gmail.com
Институт экологии Волжского бассейна РАН
Russian Federation, 445003, ТольяттиЕ. С. Краснова
Самарский федеральный исследовательский центр РАН
Email: svbykova514@gmail.com
Институт экологии Волжского бассейна РАН
Russian Federation, 445003, ТольяттиReferences
- Беркович К.М. Русловые процессы на реках в сфере влияния водохранилищ. Географический факультет МГУ. М.: Изд-во МГУ, 2012. 163 с.
- Болотов С.Э., Романенко А.В., Цветков А.И., Отюкова Н.Г., Соколова Е.А., Крылов А.В. Бактерио- и зоопланктон устьевой области притока равнинного водохранилища в аномальный по климатическим условиям период // Биология внутрен. вод. 2014. № 1. С. 41–51.
- Буторин Н.В. Гидрологические процессы и динамика водных масс в водохранилищах Волжского каскада. Л.: Наука, 1969. 321 с.
- Быкова С.В., Андреева В.А. Пространственно-временное распределение инфузорий планктона Куйбышевского водохранилища в районе Климовской узкости // Поволжский экол. журн. 2021. № 2. С. 146–162.
- Гидроэкология устьевых областей притоков равнинного водохранилища / Под ред. А.В. Крылова. Ярославль: Филигрань, 2015. 446 с.
- Даценко Ю.С. Эвтрофирование водохранилищ: гидролого-гидрохимические аспекты. М.: ГЕОС, 2007. 232 с.
- Жариков В.В. Кадастр свободноживущих инфузорий водохранилищ Волги. Тольятти: ИЭВБ РАН, 1996. 76 с.
- Жариков В.В. Специфика водохранилищ Волги как среды обитания гидробионтов (на примере свободноживущих инфузорий) // Теоретические проблемы теологии и эволюции. Третьи Любищевские чтения. Тольятти: ИЭВБ РАН, 2000. С. 64–72.
- Информационная система по водным ресурсам и водному хозяйству бассейнов рек России. http://gis.vodinfo.ru/] (дата обращения: 11.01.2022)
- Капустина Л.Л., Макарцева Е.С., Трифонова И.С. Исследование состояния планктонных организмов в водах верхних и нижних бьефов ГЭС, расположенных на Вуоксе // Вод. ресурсы. 1994. Т. 21. № 1. С. 51–58.
- Копылов А.И., Косолапов Д.Б. Бактериопланктон водохранилищ Верхней и Средней Волги. М.: Изд-во СГУ, 2008. 377 с.
- Крылов А.В., Мэндсайхан Б., Аюушсурен Ч., Цветков А.И. Зоопланктон прибрежных участков разнотипных водохранилищ аридной зоны: влияние уровенного режима и метеорологических условий // Трансформация экосистем. 2018. № 1. С. 66–85.
- Кузнецов С.И., Дубинина Г.А. Методы изучения водных микроорганизмов. М.: Наука, 1989. 288 с.
- Куйбышевское водохранилище / Под ред. А.В. Монакова. Л.: Наука, 1983. 214 с.
- Логинов В.В., Гелашвили Д.Б. Вред водным биологическим ресурсам водохранилищ Волжско-Камского каскада от воздействия гидроэлектростанций // Принципы экологии. 2016. № 4 (20). С. 4–25.
- Методика изучения биогеоценозов внутренних водоемов / Под ред. Ф.Д. Мордухай-Болтовского. М.: Наука, 1975. 240 с.
- Минеева Н.М., Корнева Л.Г., Соловьева В.В. Продукционные характеристики фитопланктона верхних и нижних бьефов ГЭС водохранилищ Волги // Вод. ресурсы. 2017. Т. 44. № 6. С. 653–662.
- Михайлов В.Н., Горин С.Л. Новые определения, районирование и типизация устьевых областей рек и их частей – эстуариев // Вод. ресурсы. 2012. Т. 39. № 3. С. 243–257.
- Научно-прикладной справочник: основные гидрологические характеристики рек бассейна верхней Волги / Под ред. В.Ю. Георгиевского. СПб.: ГГИ, 2015. 467 с.
- Павлов Д. С., Лупандин А. И., Костин В. В. Покатная миграция рыб через плотины ГЭС. М.: Наука, 1999. 255 с.
- Петряхина Е.В., Селезнев В.А. Влияние недельного режима регулирования водного стока Волги на массовое развитие фитопланктона // Самарская Лука: проблемы региональной и глобальной экологии. 2016. Т. 25. № 1. С. 170–175.
- Рахуба А.В., Тихонова Л.Г. Компьютерное моделирование и мониторинг качества воды Приплотинного плеса Куйбышевского водохранилища в условиях антропогенного воздействия // Экол. сб. 8. Тр. Всерос. (с международ. участием) науч. конф. Тольятти, 2021. С. 116–120.
- Рахуба А.В., Шмакова М.В. Моделирование распределения мутности воды в Куйбышевском водохранилище // Вестн. Московского ун-та. Сер. 5, География. 2020. № 4. С. 51–57.
- Сорокин Ю.И. К оценке смертности планктона в гидротурбинах высоконапорных ГЭС // Журн. общ. биологии. 1990. Т. 51. № 5. С. 682–687.
- Цветков В.И., Павлов Д.С., Нездолий В.К. Летальные перепады гидростатического давления для молоди некоторых пресноводных рыб // Вопр. ихтиологии. 1972. Т. 12. Вып. 2 (73). С. 344–356.
- Щербак В.И., Сиренко Л.А., Кузьминчук Ю.С. Особенности развития фитопланктона верхних и нижних бьефов равнинных водохранилищ (на примере р. Тетерев) // Гидробиол. журн. 2005. Т. 41. № 6. С. 44–52.
- Bell M.C. Revised compendium on the success of passage of small fish through turbines. Portland (Ore.) // U.S. Army Corps of Engineers, North Pacific Div. 1990. 83 p.
- Bykova S.V. Structure and spatial distribution of planktonic ciliates from the Middle and Lower Volga reservoirs // Inland Water Biol. 2021. V. 14. № 4. P. 377–390.
- Bykova S.V., Umanskaya M.V., Tarasova N.G., Krasno-va E.S., Mukhortova O.V., Mikhailov R.A. Plankton community of the lower course of the Kama river in the late autumn period // IOP Conf. Ser. Earth and Environmental Science 818. Bristol, 2021. P. 12006.
- Cada G.F. A review of studies relating to the effects of propeller-type turbine passage on fish early life stages // N. Amer. J. Fish. Manag. 1990. V. 10. P. 418–426.
- Chateauvert C.A., Lesack L.F.W., Bothwell M.L. Abundance and patterns of transparent exopolymer particles (TEP) in Arctic floodplain lakes of the Mackenzie River Delta // J. Geophys. Res. 2012. V. 117. G04013.
- Cramer F.K., Oligher R.C. Passing fish through hydraulic turbines // Trans. Amer. Fish. Soc. 1964. V. 93. № 5. P. 243–259.
- de Moura C.G.B., Rocha E., de Attayde J.L., Noyma N., de Oliveira Vidal L., Fonseca L.M., Amado A.M. et al. Fresh terrestrial detritus fuels both heterotrophic and autotrophic activities in the planktonic food web of a tropical reservoir: a mesocosm study // Hydrobiologia. 2021. P. 1–16.
- Hessen D.O., Van Donk E., Gulati R. Seasonal seston stoichiometry: effects on zooplankton in cyanobacteria-dominated lakes // J. Plankton Res. 2005. V. 27. № 5. P. 449–460.
- Hutchinson G.E. A Treatise on Limnology. V. 1. Geography, Phys. Chem. London: Chapman & Hall, 1957. 1015 p.
- Matsuura P., Perbiche-Neves G., Ferreira R.A., Nogueira M. G. Changes in the phytoplankton structure downstream a large reservoir: effects of tributaries on the assemblages attributes // Biologia. 2015. V. 70. № 3. P. 320–327.
- McAllister D.E., Craig J.F., Davidson N., Delany S., Sed- don M. Biodiversity impacts of large dams. Background paper № 1 // United Nations Foundation. 2001. 68 p.
- McCartney M.P., Sullivan C., Acreman M.C. Ecosystem impacts of large dams. Background paper № 2 // United Nations Foundation. 2001. 82 p.
- Mostajir B., Dolan J.R., Rassoulzadegan F. A simple method for the quantification of a class of labile marine pico- and nano-sized detritus: DAPI Yellow Particles (DYP) // Aquat. Microb. Ecol. 1995. V. 9. P. 259–266.
- Podshivalina V.N. Zooplankton Distribution in the Middle Volga River Reservoirs in Areas Under the Influence of Tributaries // Inland Water Biol. 2021. Т. 14. № 5. С. 546–554.
- Porter K.G., Feig Y.S. The use of DAPI for identifying and counting aquatic microflora // Limnol. Oceanogr. 1980. 25 (5). P. 943–948.
- Sakharova E.G., Korneva L.G. Influence of temperature and water level on the phytoplankton in the estuarine zone of the Rybinsk reservoir tributary // Inland Water Biol. 2019. V. 12. Suppl. 2. С. 25–32.
- Sobczak W.V., Cloern J.E., Jassby A.D., Cole B.E., Schraga T.S., Arnsberg A. Detritus fuels ecosystem metabolism but not metazoan food webs in San Francisco estuary’s freshwater Delta // Estuaries. 2005. V. 28. № 1. P. 124–137.
- Umanskaya M.V., Krasnova E.S., Gorbunov M.Yu. Micro-scale spatial distribution of bacterioplankton in the priplotinny (near-dam) reach of the kuibyshev reservoir in the early autumn period 2020 // IOP Conf. Series: Earth and Environmental Science 818. Bristol, 2021. P. 12055.
- Zdankus N., Vaikasas S., Sabas G. Impact of a hydropower plant on the downstream reach of a river // J. Environ. Engineering Landscape Management. 2008. V. 16. № 3. С. 128–134.
Supplementary files






