Параметры устойчивости водной толщи небольшого полимиктического озера в разные по погодным условиям годы
- Авторы: Смирнов С.И.1, Здоровеннов Р.Э.1, Ефремова Т.В.1, Пальшин Н.И.1, Смирновский А.А.2, Богданов С.Р.1, Тержевик А.Ю.1, Здоровеннова Г.Э.1
-
Учреждения:
- Институт водных проблем Севера КарНЦ РАН
- Санкт-Петербургский политехнический университет Петра Великого
- Выпуск: Том 51, № 3 (2024)
- Страницы: 345-360
- Раздел: ГИДРОХИМИЯ, ГИДРОБИОЛОГИЯ, ЭКОЛОГИЧЕСКИЕ АСПЕКТЫ
- URL: https://journal-vniispk.ru/0321-0596/article/view/268820
- DOI: https://doi.org/10.31857/S0321059624030115
- EDN: https://elibrary.ru/ATNAHT
- ID: 268820
Цитировать
Полный текст
Аннотация
Режим перемешивания озер оказывает большое влияние на многие аспекты функционирования водных экосистем, что обусловливает актуальность выявления изменений устойчивости водной толщи под влиянием климатических факторов. В данной работе изучена устойчивость водной толщи небольшого оз. Вендюрское (юг Карелии) в период открытой воды в разные по погодным условиям годы. По данным измерений температуры воды в 2008–2013 и 2015–2022 гг. на автономной станции (термокосе) на центральной вертикали озера оценена продолжительность стратификации и устойчивость водной толщи по таким критериям, как разница температуры по водному столбу в 1 и 2°С, и по пороговым значениям устойчивости Шмидта, числа Веддерберна и озерного числа (Lake Number). Для исследования роли радиационного перемешивания в ослаблении устойчивости водной толщи озера проанализирована сезонная и межгодовая изменчивость разности температуры верхнего слоя озера и воздуха по данным ре-анализа ERA-5. Для детального анализа этого параметра для каждого года была построена соответствующая функция плотности распределения и рассчитаны ее основные характеристики. Показано, что, несмотря на продолжающееся региональное потепление и рост температуры воздуха и верхнего слоя воды оз. Вендюрского, усиления устойчивости в период 2008–2022 гг. не произошло. Сдерживающими факторами могут быть усиление конвективного перемешивания за счет радиационного выхолаживания, а также рост ветровой нагрузки на водоем.
Полный текст
ВВЕДЕНИЕ
В последние десятилетия на фоне повышения температуры воздуха наблюдается увеличение температуры поверхностного слоя воды озер умеренной зоны в летний период относительно среднемноголетних значений [14, 24, 26]. Вследствие этого стратификация водной толщи озер усиливается [25, 27, 36], что оказывает негативное влияние на многие аспекты функционирования водных экосистем [14, 20, 23]. В частности, усиление устойчивости водной толщи озер ограничивает перенос веществ по водному столбу, способствует ухудшению кислородных условий [4, 10, 11, 29]. В связи с этим актуальным становится изучение меняющихся условий перемешивания под влиянием климатических факторов.
Для определения дат начала или окончания периода стратификации в озерах широко используется такой критерий, как достижение определенной разницы температуры воды поверхностных и придонных слоев, обычно 1–2°C [14, 15, 30, 34]. Альтернативный метод определения периодов стратификации основан на оценке пороговых значений индексов устойчивости. Например, используются пороговые значения устойчивости Шмидта от 5 [17] до 30 Дж/м2 [15].
Для изучения того, как меняется устойчивость водной толщи озера, необходимы измерения температуры по столбу воды в глубоководных районах. При изучении межгодовой изменчивости периодов стратификации требуются наблюдения за температурой воды с высокой частотой снятия отсчетов по времени. Так, например, декадные или месячные измерения на рейдовых вертикалях не позволят выявить межгодовую разницу в продолжительности стратификации в несколько суток. Высокие требования к временной дискретности данных особенно важны при изучении многолетних изменений режима перемешивания полимиктических озер, в которых периоды существования стратификации очень непродолжительны [34]. Изучение изменений устойчивости водной толщи озер в ответ на климатическое воздействие осложняется тем, что измерения температуры воды в озерах, отвечающие требованиям по продолжительности и временной дискретности, крайне ограничены.
На расположенном в южной Карелии оз. Вендюрском проводятся многолетние измерения температуры воды в годовом цикле с июля 2007 г. до настоящего времени (с перерывом в измерениях с октября 2013 г. до октября 2014 г., связанным с заменой приборов). Измерения проводятся в центральной глубоководной части озера, где находится автономная станция – заякоренная коса, оснащенная высокочувствительными температурными датчиками. По продолжительности (15 лет), дискретности измерений по водному столбу (10–15 горизонтов измерений при глубине 11.3 м) и временному интервалу измерений (1 мин) этот массив данных уникален и не имеет аналогов для озер России. В данной работе впервые проанализирован накопленный массив данных в аспекте сезонной и межгодовой изменчивости устойчивости водной толщи озера. Цель данной работы – выявление закономерностей сезонной и межгодовой изменчивости устойчивости водной толщи полимиктического озера в период открытой воды в разные по погодным условиям годы по многолетним измерениям на автономной станции.
ОБЪЕКТ ИССЛЕДОВАНИЯ И МЕТОДЫ РАСЧЕТА
Объект исследования – небольшое оз. Вендюрское (62°13´ с.ш., 33°16´ в.д.), расположенное в южной Карелии. Котловина озера ледникового происхождения, длиной ~7 км и шириной 1.5–2.0 км. Средняя и максимальная глубины в озере составляют 5.3 и 13.4 м. Прозрачность воды достигает 2.5–3.0 м. Озеро слабопроточное, в него впадает два ручья и р. Риндозерка, вытекает р. Кула, однако объем их стока невелик. Сплошной ледяной покров устанавливается в период с первой декады ноября до второй декады декабря, освобождение акватории ото льда происходит в первой–второй декадах мая. Установление стратификации происходит в конце мая – начале июня. Однако летом над территорией Карелии часто проходят циклоны [7], сопровождающиеся усилением ветра и понижением температуры воздуха на 5–10°С в течение нескольких дней. Такие погодные условия способствуют понижению температуры воды верхнего слоя озера, что наряду с ветровым перемешиванием может приводить к ослаблению стратификации и полному перемешиванию водной толщи [21]. Этап весенне-летнего нагревания озера продолжается до конца июля – середины августа, затем начинается этап осеннего охлаждения. С середины–конца августа до установления льда озеро охлаждается в полностью перемешанном состоянии. Озеро можно отнести к полимиктическому типу, так как на этапе открытой воды его водная толща может полностью перемешиваться несколько раз [4].
В центральной глубоководной части озера (глубина 11.3 м) находится автономная станция – заякоренная коса, оснащенная температурными датчиками с логгерами TR-1060 RBR Ltd. (точность ±0.002°С). Измерения температуры проводятся с минутной дискретностью на 10–15 горизонтах. Верхний датчик располагается на глубине 1.5–2.5 м, нижний – в придонном слое в 10–15 см над дном, остальные датчики распределены через 0.5–1.0 м в водной толще. Коса извлекается из озера в начале лета и осенью на несколько суток для снятия данных и замены батарей, затем помещается на прежнее место. В данной работе проанализированы данные косы за период с мая по октябрь в 2008–2013 и 2015–2022 гг.
Для оценки устойчивости водной массы озера с помощью программы LakeAnalyzer 2.0 [28] проведен расчет трех параметров – устойчивости Шмидта, озерного числа и числа Веддерберна. Ниже показан их расчет в данной программе.
- Устойчивость Шмидта St. Данный параметр характеризует устойчивость стратифицированного столба жидкости [18] и равен работе, необходимой для его механического перемешивания без теплообмена с окружающей средой, в расчете на единицу площади. St определяется по следующей формуле:
, (1)
где g – ускорение свободного падения, ρz – плотность воды на глубине z, As – площадь поверхности озера, Az – площадь озера под изобатой z, zD – максимальная глубина озера, zv – глубина центра объема озера, рассчитываемая по формуле:
. (2)
Для адекватной оценки устойчивости Шмидта требуется исключить вариации профилей температуры, обусловленные присутствием бароклинных сейш, внутренних волн. Необходимо проводить усреднение исходных данных по интервалу в несколько волновых периодов, как это сделано, например, в [16].
- Озерное число, или Lake Number, LN. Данный параметр используется для описания процессов перемешивания внутри столба жидкости под влиянием ветровой активности [19]. LN – количественный показатель степени турбулентного перемешивания и динамической устойчивости озера и определяется согласно формуле:
, (3)
где zh и ze – глубины нижней и верхней границ металимниона соответственно, ρh – плотность воды на нижней границе металимниона, – динамическая скорость ветра [28]. При LN < 1 в водоемах наблюдается глубокое перемешивание.
- Число Веддерберна W. Данный параметр введен в работе [33] для описания вероятности апвеллинга в стратифицированных условиях. Число Веддерберна показывает баланс между ветровым воздействием и силой плавучести. При W < 3 водоем полностью перемешан. Если 3 ≤ W ≤ 10, стратификация усиливается. В условиях, когда W ≥ 10, слабое ветровое перемешивание затрагивает только тонкий поверхностный слой, а водная масса стратифицирована. Число Веддерберна рассчитывается по следующей формуле:
, (4)
где g' = gΔρ/ρh – приведенное ускорение свободного падения, вызванное изменением плотности Δρ, между гиполимнионом ρh и эпилимнионом ρe; Ls – длина разгона ветра, в данном случае использовалось значение максимальной длины котловины.
В программе LakeAnalyzer 2.0 для воспроизведения атмосферной нагрузки на поверхность озера задавались данные ре-анализа ERA-5 (пятое поколение атмосферного ре-анализа глобального климата ECMWF, дискретность 6 ч) [13] по ближайшим к оз. Вендюрскому узлам сетки (сетка 0.25×0.25 градуса). Также в программу задавались данные по батиметрии оз. Вендюрского и данные температурных датчиков косы, усредненные по 6 ч для того, чтобы ряды температурных данных были соизмеримы по длине с рядами атмосферного форсинга. В результате обработки входных данных программа LakeAnalyzer выдавала ряды среднесуточных значений St, LN и W.
В качестве критерия стратификации использовали разницу температуры в 1 и 2°С между верхним и нижним датчиками термокосы для исключения высокочастотных флуктуаций температуры исходные ряды усредняли посуточно.
Для выявления межгодовых различий продолжительности стратификации необходимое условие – одинаковая продолжительность рядов в разные годы. Сравнение продолжительности стратификации в разные годы проведено для периода с 20 мая (наиболее поздняя дата взлома льда – 19 мая) по 30 сентября. В октябре озеро во все годы находилось в перемешанном состоянии, этот месяц при анализе не учитывался. Перерыв в измерениях (для замены батарей и снятия данных) составлял в разные годы 1–14 сут. Заполнение пропусков в измерениях выполнено с использованием одномерной параметрической модели FLake [22]. Для всех лет наблюдений оценена продолжительность периодов (сут) с разницей температуры по водному столбу 1 и 2°С и периодов с превышением характерных значений индексов: устойчивости Шмидта >5, 10, 20 и 30 Дж/м2, числа Веддерберна >3 и 10, озерного числа >1.
Перемешивание водной толщи озера может происходить под действием ветра, в штилевых условиях – это конвективное перемешивание, развивающееся при радиационном охлаждении поверхности. В летний период такой тип перемешивания обычно развивается в ночные часы, когда баланс тепла на поверхности озера становится отрицательным. В результате формируется поверхностный перемешанный слой. Также такой тип перемешивания может наблюдаться летом и в дневные часы, это происходит при резком понижении температуры воздуха при прохождении циклонов и при вторжениях арктических воздушных масс. В этом случае в течение нескольких суток температура верхнего слоя воды уменьшается, глубина конвективно-перемешанного слоя увеличивается, происходит ослабление стратификации, и при продолжительном периоде холодной погоды может произойти полное перемешивание водоема. Для исследования роли радиационного перемешивания в ослаблении устойчивости водной толщи оз. Вендюрского проанализирована сезонная и межгодовая изменчивость разности температуры ∆T верхнего датчика термокосы и температуры воздуха по данным ре-анализа. Исходные данные измерений температуры воды и данные ре-анализа усреднили посуточно так, чтобы учитывать только эпизоды перемешивания при длительных похолоданиях и не учитывать перемешивание в ночные часы. Для детального анализа параметра ∆T для каждого года была построена соответствующая функция плотности распределения f(∆T) и рассчитаны ее основные характеристики. Этот вид анализа также проведен для периода с 20 мая по 30 сентября.
Погодные условия района исследований и климатические тенденции изменения температуры воздуха и скорости ветра охарактеризованы по данным срочных наблюдений ближайшей к оз. Вендюрскому метеостанции (МС) Петрозаводск, удаленной от озера на 70 км на юго-восток. Данные получены на сайте “Расписание погоды” [9] и на сервере Мирового центра данных Всероссийского научно-исследовательского института гидрометеорологической информации [2]. Анализ данных проводился в программе STATISTICA. Статистическая значимость линейных трендов определена при 1%-м уровне значимости c использованием критерия Стьюдента (p < 0.01).
РЕЗУЛЬТАТЫ
Климатические и погодные условия района исследований в 1976–2022 гг.
Рассмотрено изменение климатических условий южной Карелии за период 1976–2022 гг. для выявления основных тенденций регионального изменения климата в годы измерений температуры. 1976 г. был выбран условно в качестве начала современного потепления в соответствии с ходом глобальной температуры [8]. Анализ данных среднесуточной приземной температуры воздуха на МС Петрозаводск за период 1976–2022 гг. показал, что статистически значимые тенденции роста температуры воздуха наблюдаются во все сезоны года с наибольшей скоростью в зимние месяцы. Коэффициент линейного тренда среднегодовой температуры воздуха в 1976–2022 гг. составил +0.55°С/10 лет, за период открытой воды (май–октябрь) +0.43°С/10 лет. Наиболее быстрый рост температуры воздуха в период открытой воды наблюдался в августе +0.56°С/10 лет.
В 2008–2022 гг. (в годы измерений температуры в оз. Вендюрском) среднемесячная температура воздуха в мае–октябре в большинстве случаев была выше климатической нормы 1961–1990 гг. (табл. 1).
Таблица 1. Среднемесячная температура воздуха в мае–октябре в 1961–1990 гг. (климатическая норма) и отклонения этого параметра от нормы в 2008–2022 гг. по данным МС Петрозаводск. Средняя температура воздуха (Тср) с мая по октябрь и количество наблюдений штиля в этот же период в 2008–2022 гг.
Годы | Т, °С | Тср, °С | Штиль, количество наблюдений | |||||
май | июнь | июль | август | сентябрь | октябрь | май–октябрь | май–октябрь | |
1961–1990 | 8.4 | 13.5 | 16.1 | 14 | 8.8 | 3.3 | 10.7 | 66* |
2008 | –1.2 | –1.1 | –0.1 | –0.8 | –0.7 | 3.2 | 10.5 | 53 |
2009 | 2.2 | –0.6 | 0.3 | 0.6 | 3.1 | –1.4 | 11.4 | 69 |
2010 | 2.9 | –0.3 | 6.2 | 3.0 | 1.4 | 0.3 | 12.9 | 47 |
2011 | 0.8 | 2.0 | 4.0 | 0.9 | 1.9 | 2.1 | 12.6 | 37 |
2012 | 1.6 | 0.1 | 1.3 | 0.3 | 1.9 | 0.5 | 11.6 | 40 |
2013 | 2.7 | 3.6 | 0.8 | 2.4 | 0.4 | 1.5 | 12.6 | 35 |
2014 | 1.7 | –0.9 | 2.3 | 2.8 | 2.5 | –1.3 | 11.9 | 38 |
2015 | 2.0 | 0.7 | –1.8 | 1.5 | 3.0 | 0.2 | 11.6 | 28 |
2016 | 4.3 | 0.7 | 2.4 | 1.3 | 1.2 | –0.5 | 12.2 | 24 |
2017 | –3.4 | –1.8 | –0.6 | 1.9 | 1.0 | –0.1 | 10.2 | 29 |
2018 | 4.1 | 0.0 | 2.5 | 2.9 | 2.6 | 1.5 | 13.0 | 37 |
2019 | 0.7 | 3.0 | –2.6 | –0.6 | 0.8 | –0.5 | 10.8 | 21 |
2020 | –1.1 | 2.6 | 0.1 | 0.6 | 2.5 | 2.6 | 11.9 | 34 |
2021 | 1.1 | 5.7 | 3.9 | 0.7 | –1.1 | 2.6 | 12.8 | 87 |
2022 | –1.1 | 1.8 | 2.7 | 4.3 | –0.6 | 2.0 | 12.2 | 30 |
* Количество штилей в период с мая по октябрь в 1966–1990 гг., по данным [2].
Наиболее холодным был 2008 г., когда среднемесячная температура воздуха всех месяцев с мая по сентябрь была ниже климатической нормы. В 2017 и 2019 гг. среднемесячная температура воздуха была ниже нормы с мая по июль и с июля по август соответственно. Наиболее теплым был период открытой воды в 2010, 2018 и 2021 гг. с превышением нормы на 2.2, 2.3 и 2.1°С соответственно. Среднемесячная температура была выше нормы в месяцы с мая по октябрь в 2011, 2012, 2013 и 2018 гг. Для региона южной Карелии характерны резкие похолодания в весенние и летние месяцы, которые могут продолжаться 1–2 недели, иногда более длительно. Часто падению температуры воздуха сопутствуют выпадение ливневых осадков, усиление ветра. Эти резкие изменения погоды обусловлены прохождением атлантических циклонов, вторжением арктических воздушных масс. Вследствие этого в некоторые годы весной и летом аномально жаркие месяцы чередовались с аномально холодными. Например, в 2009, 2010, 2016 и 2018 гг. после жаркого мая с превышением температурной нормы на 2.2–4.3°С наблюдался холодный июнь с температурой, близкой к норме, или меньше. В 2013, 2019 и 2020 гг. после жаркого июня с превышением температурной нормы на 2.6–3.6°С следовал июль с отклонением от температурной нормы от +0.8 до –2.6°С. Жаркий июль 2011 и 2021 гг. с превышением температурной нормы на 3.9–4.0°С сменился прохладным, близким к норме августом. Наиболее длительные периоды теплой погоды с превышением нормы по температуре воздуха на >1°С наблюдались с июля по сентябрь в 2010, 2014, 2016 и 2018 гг. и с июня по август в 2022 г.
Согласно результатам оценок, приведенным в [3, 5], в течение последних десятилетий средняя скорость ветра уменьшалась на большей части территории России во все сезоны года. На севере Европейской части России скорость ветра за период 1976–2022 гг. весной и летом уменьшалась со скоростью –0.16 м/с за 10 лет, зимой и осенью – соответственно –0.22 и –0.21 м/с за 10 лет (p < 0.05) [5]. За этот временной период уменьшилось количество дней с большими скоростями ветра (> 15 м/с). Коэффициент линейного тренда этого показателя соответствовал уменьшению количества дней с сильным ветром весной и летом на 0.14 дня за 10 лет, а зимой и осенью на 0.52 и 0.61 дня за 10 лет соответственно (p < 0.05).
По данным МС Петрозаводск в 1976–2022 гг. в течение года преобладал ветер западных и юго-западных румбов. Скорость ветра за период 1976–2022 гг. уменьшалась на 0.09 м/с за 10 лет, за период открытой воды (май–октябрь) – на 0.07, зимой (декабрь–февраль) – на 0.13, осенью – 0.12 м/с за 10 лет (p < 0.05); весной и летом тренд был незначим.
Однако при рассмотрении периода 2008–2022 гг. было установлено, что скорость ветра увеличивалась; скорость этого увеличения составила +0.2 м/с за 10 лет (p < 0.05) для августа, в среднем для летних месяцев (июнь, июль, август) и в среднем за год. За период открытой воды (май–октябрь) эта скорость составила в среднем +0.18 м/с за 10 лет. Также установлено, что заметно уменьшилась повторяемость штилей за период с мая по октябрь: в 2011–2020 и 2022 гг. штиль наблюдался от 21 до 40 раз, что было заметно меньше, чем в 2008–2010 и 2021 гг., как и в период 1961–1990 гг. (табл. 1).
Температура воды оз. Вендюрского в мае–октябре в 2008–2013 и 2015–2022 гг.
В годы измерений освобождение озера ото льда происходило в период с 29 апреля по 19 мая. Обычно после разрушения льда наблюдалось полное перемешивание озера, и водная толща находилась в перемешанном состоянии от нескольких дней до нескольких недель в зависимости от погодных условий (рис. 1).
Рис. 1. Температура воды в центральной глубоководной части оз. Вендюрского в разные по погодным условиям годы. Подписана изотерма 18°С. На левых панелях показаны годы с продолжительной стратификацией, на правых – с повторяющимися эпизодами перемешивания водной толщи
Под действием солнечной радиации температура поверхностного слоя озера постепенно повышалась, и разница температуры по водному столбу >1–2°С достигалась обычно во вторую декаду мая; наиболее поздние даты установления стратификации (25–26 мая) наблюдались в годы с аномально холодным маем – 2008, 2017 и 2022 гг.
Во все годы измерений, кроме 2022 г., на этапе весенне-летнего нагревания водная толща оз. Вендюрского перемешивалась как минимум один раз через несколько дней/недель после установления стратификации. В годы с холодными летними месяцами озеро перемешивалось несколько раз. Например, в 2012, 2015, 2017 и 2019 гг. водная толща полностью перемешалась 3–5 раз в период с мая по август. В такие годы непродолжительные периоды стратифицированного состояния озера чередовались с периодами гомотермии. Такой тип перемешивания позволяет рассматривать оз. Вендюрское как полимиктический водоем. Стоит особо отметить 2008 г., когда, несмотря на низкую температуру воздуха, на фоне пониженной ветровой нагрузки и частой повторяемости штилей (табл. 1), стратификация в оз. Вендюрском продолжалась >2 мес. подряд – со второй декады июня до второй декады августа. В годы с жаркими летними месяцами (2010, 2013, 2016 гг.) период стратификации продолжался непрерывно >2 мес.
В период открытой воды 2022 г. промежуточного разрушения стратификации в оз. Вендюрском не наблюдалось, несмотря на продолжительное похолодание во второй половине июня. На фоне жаркой погоды первой половины июня происходило быстрое повышение температуры воды верхнего слоя озера, разница температуры по водному столбу в центральной котловине достигла 8°С. Две последние недели июня температура воды верхнего слоя озера понижалась на фоне похолодания, однако перемешивание не достигло дна и стратификация не была разрушена. Полное перемешивание водной толщи произошло лишь в первых числах сентября; таким образом, в 2022 г. стратификация продолжалась непрерывно >3 мес. и режим перемешивания оз. Вендюрского соответствовал димиктическому типу – с двумя периодами полного перемешивания весной и осенью.
Максимум температуры верхнего слоя озера в годы измерений достигался обычно в июле, а максимум теплосодержания столба воды в центральной котловине – во второй–третьей декадах августа. Аномальным в этом смысле было лето 2019 г., когда годовой максимум теплосодержания столба воды был достигнут 24 июня, после чего на фоне аномально холодной погоды июля и августа происходило уменьшение теплосодержания с периодическими краткосрочными эпизодами его повышения.
Максимальная разница температуры верхнего и придонного слоев озера в июле–августе в разные годы достигала 4–12°С. Во все годы измерений температура придонного слоя озера повышалась при ослаблении или разрушении стратификации, поэтому в годы с повторяющимися эпизодами перемешивания она была заметно выше, чем в годы с выраженной стратификацией (рис. 1). Полное разрушение сезонной стратификации происходило обычно в августе, далее озеро охлаждалось в состоянии гомотермии до установления льда.
Устойчивость водной толщи озера в разные годы
Устойчивость водной толщи оз. Вендюрского в годы измерений существенно различалась. Максимальные за период открытой воды значения индекса устойчивости Шмидта St достигали 100–120 Дж/м2 в жаркие летние месяцы 2010, 2021 и 2022 гг. и не были ≤20 Дж/м2 большую часть холодных летних месяцев 2008, 2009, 2012, 2015, 2017 и 2019 гг. с редкими увеличениями до 30–40 Дж/м2 (рис. 2а). В остальные годы St редко был >60–80 Дж/м2. Уменьшение St до близких к нулю значений соответствует периодам полного перемешивания водной толщи озера.
Рис. 2. Устойчивость водной толщи оз. Вендюрского в разные по погодным условиям годы: (а) – устойчивость Шмидта St, (б) – озерное число LN, (в) – число Веддерберна W
Характерные значения озерного числа LN в годы измерений менялись в пределах 3–6 (рис. 2б). В период открытой воды в 2019 г. значения LN были минимальными за все годы измерений и были >1 на протяжении лишь 11 сут за весь период открытой воды с максимальным значением 2.1. В жаркие дни 2009, 2010, 2018 и 2022 гг. LN = 8, в отдельные дни LN > 10.
Число Веддерберна W в некоторые дни в годы исследований достигало 20–40 (рис. 2в). Максимальные значения W в отдельные дни жарких летних месяцев были >50.
Помимо автономных расчетов всех указанных параметров, используемых для описания устойчивости, было проведено их количественное сопоставление. В частности, для всех лет измерений с мая по октябрь были найдены значения St, W и LN, соответствующие разнице температуры по столбу воды в 1 и 2°С, а также разницы температуры по столбу воды, соответствующие значениям St – 5, 10, 20 и 30 Дж/м2, W = 3 и 10 (рис. 3) и LN = 1.
Рис. 3. Соответствие между значениями St (а) и W (б) и разницей температуры воды между верхним (ТВС) и придонным (ТПС) слоями водной толщи за все годы измерений с мая по октябрь. 1 и 7 – значения St и W, соответствующие разнице температуры по водному столбу ~1°С; 2 и 8 – значения St и W, соответствующие разнице температуры по водному столбу ~2°С; 3–6 – разница температуры, соответствующая характерным значениям St ~5, ~10, ~20 и ~30 Дж/м2 соответственно; 9 и 10 – разница температуры, соответствующая характерным значениям W ~3 и W ~10 соответственно
Оказалось, что разнице температуры по водному столбу в ~1°С соответствуют значения St от 0.5 до 5.9 Дж/м2 при среднем значении 2.9 Дж/м2, разнице в ~2°С – от 1.6 до 26.5 Дж/м2 при среднем значении 8.5 Дж/м2. Характерным значениям St = 5, 10, 20 и 30 Дж/м2 соответствовала разница температуры по столбу воды 0.6–3.5°С (среднее 1.4°С), 1.2–5.8°С (среднее 2.8°С), 2.4–5.8°С (среднее 3.9°С) и 3.5–7.0°С (среднее 4.8°С) соответственно. Разнице температуры по столбу ~1°С соответствовали значения W от близких к нулю до 8.8 со средним ~2.0, а разнице в ~2°С соответствовал диапазон W также от близких к нулю значений до 15.9 со средним 4.8. Характерному значению W~3 соответствовал диапазон разницы температуры по водному столбу 0.3–10.1 (среднее 3.9), а значению W~10 – 0.7–6.6 (среднее 3.6). Что касается озерного числа, то при разнице температуры по водному столбу в 1 и 2°С значения LN менялись в диапазонах от 0 до 0.4 и от 0 до 2.2 соответственно. А значению LN~1 соответствовал диапазон температуры от 0.9 до 7.5°С.
Межгодовая изменчивость величин параметров устойчивости и продолжительности стратификации в 2008–2013 и 2015–2022 гг. характеризовалась большим разбросом (рис. 4). Годы с длительными периодами стратификации и высокими значениями индексов устойчивости (2009–2011, 2013, 2016, 2018, 2021, 2022) чередовались с годами, когда стратификация продолжалась меньше, и значения индексов устойчивости были заметно ниже (2008, 2012, 2015, 2017, 2019). Отдельно стоит упомянуть 2019 г., когда значения всех индексов были минимальными. Период открытой воды в этот год характеризовался минимальным количеством сроков наблюдений со штилем и одним из наиболее низких средних значений температуры воздуха за период с мая по октябрь (табл. 1), что и обусловило небольшую устойчивость водной толщи.
Рис. 4. Количество суток в разные годы в период с 20 мая по 30 сентября с характерными значениями параметров стратификации и устойчивости водной толщи оз. Вендюрского: (а) – разница температуры по водному столбу в 1°С (1) и 2°С (2); (б) – St > 5 Дж/м2 (3), St > 10 Дж/м2 (4), St > 20 Дж/м2 (5) и St > 30 Дж/м2 (6); (в) – LN > 1 (7), (г) – W > 3 (8) и W > 10 (9)
Явно выраженной тенденции увеличения устойчивости водной толщи оз. Вендюрского в 2008–2022 гг., как и продолжительности стратификации, не выявлено ни по одному из использованных критериев.
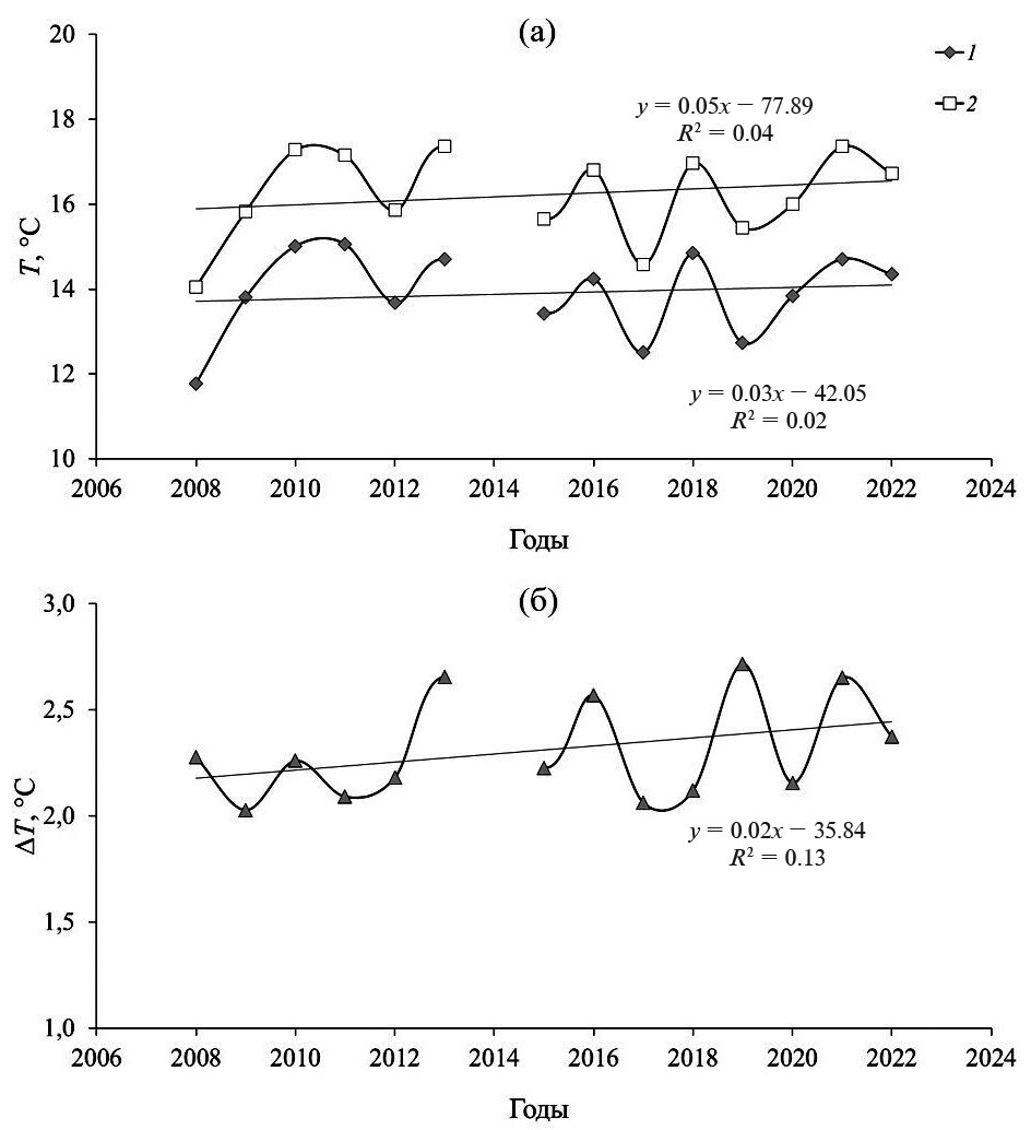
Линейные тренды осредненных за период с 20 мая по 30 сентября для каждого отдельного года значений температуры верхнего слоя воды оз. Вендюрского и температуры воздуха по данным реанализа с 2008 по 2022 г. отражали положительные изменения, но были незначимыми (рис. 5а). Линейный тренд температуры воды придонного слоя за те же годы отражал отрицательные изменения, но также был незначимым (рис. 6а). Разница температуры воды верхнего слоя озера и температуры воздуха (∆T) слабо увеличивалась (рис. 5б), разница температуры воды верхнего и придонного слоев озера (ТВС–ТПС) также увеличивалась (рис. 6б), но статистически значимых трендов не было обнаружено.
Рис. 5. а – средние за период с 20 мая по 30 сентября значения температуры воздуха (1) по данным реанализа и температуры воды (2) верхнего слоя оз. Вендюрского; б – разница температуры верхнего слоя воды и температуры воздуха (3) в разные годы. Прямые – линейные тренды
Рис. 6. а – средние за период с 20 мая по 30 сентября значения температуры воды придонного слоя (ТПС) оз. Вендюрского: б – разница температуры воды верхнего и придонного слоев (ТВС–ТПС) в разные годы. Прямые – линейные тренды
Для детального анализа параметра ∆T для каждого года построена соответствующая функция плотности распределения f(∆T) (рис. 7) и рассчитаны ее основные характеристики. Для некоторых лет распределение оказалось весьма близким к Гауссову, в остальных случаях для функций распределения характерны отрицательные значения коэффициента асимметрии
, (5)
σ − стандартное отклонение, угловые скобки означают осреднение.
Рис. 7. Функция плотности распределения разницы температуры воды верхнего слоя оз. Вендюрского и температуры воздуха по данным реанализа в разные годы. Символы – данные измерений, кривые – нормальное распределение
В целом средние значения ∆T по годам менялись незначительно. В то же время высшие моменты функции распределения, в первую очередь – дисперсия σ2 и асимметрия S, оказались весьма изменчивыми (рис. 8).
Рис. 8. Дисперсия σ2 (1) и асимметрия S (2) параметра ∆T в разные годы
ОБСУЖДЕНИЕ
Продолжительность стратификации, даты начала и окончания этого периода могут использоваться для изучения реакции озер на климатические изменения [14]. Однако, как отмечено в работе [15], для адекватного сопоставления данных разных исследований необходима выработка единых критериев определения периодов стратификации. К настоящему времени международное лимнологическое сообщество еще не имеет единого мнения по этому вопросу. Проблема заключается в том, что определяемые разными методами даты начала и окончания стратификации, следовательно, и ее продолжительность, отличаются на десятки суток [4, 15], что затрудняет сопоставление данных разных исследователей и осложняет выявление закономерностей изменений устойчивости водной толщи озер под влиянием климатических факторов.
В настоящем исследовании использовано несколько критериев, характеризующих устойчивость водной толщи оз. Вендюрского (разница температуры по водному столбу 1 и 2°С, LN > 1, St > 5, St > 10, St > 20 и St >30 Дж м2, W > 3 и W > 10). По данным измерений в оз. Вендюрском в разные годы установлено, что разнице температуры по водному столбу в 1 и 2°С соответствуют широкие диапазоны значений St, W и LN, что ставит под сомнение целесообразность использования пороговых значений устойчивости для определения дат начала и окончания стратификации. Например, значению St = 5 Дж/м2 соответствует диапазон разности температуры по водному столбу от 0.6 до 3.5°С. Значениям параметра 10 < St < 30 соответствуют диапазоны разницы температуры по водному столбу, верхняя граница которых достигает 6–8°С. Такая разница температуры соответствует развитой стратификации в озере и не может использоваться в качестве критерия ее наступления. Однако в глубоких димиктических водоемах критерий St > 30 Дж/м2 адекватно отражает условия наступления или окончания стратификации и с успехом используется [15]. Использование W для определения продолжительности стратификации также нецелесообразно. В оз. Вендюрском его характерным значениям 3 и 10 соответствует разница температуры по водному столбу от близкой к нулю до 6–10°С. Значениям параметра LN~1 соответствует диапазон разницы температуры по столбу воды от 0.4 до 9°С; т. е. в случае полимиктического водоема наиболее надежным критерием для определения периода стратификации будет разница температуры по столбу воды в 1–2°С.
В целом, эти результаты свидетельствуют о весьма слабой корреляции между использованными параметрами устойчивости: заданному значению одного из них соответствуют широкие интервалы значений других. Отсутствие точного соответствия – вполне ожидаемый с физической точки зрения результат. Например, при одинаковых параметрах ветровой нагрузки и разности температуры значения критериев LN и W, в соответствии с их определениями (3) и (4), будут существенно зависеть от конкретной формы температурного профиля. В этой связи можно заключить, что вопрос о взаимосвязи критериев, определяющих степень перемешивания водной массы, а также отыскание новых, более универсальных, остается весьма актуальным.
В то же время следует отметить, что для двух использованных параметров перемешивания, а именно St и разности температуры по водному столбу, обнаружена некоторая устойчивая взаимосвязь. Точнее, расчеты показывают высокую степень корреляции между разностью температуры по водному столбу и верхним пределом диапазона соответствующих значений St (рис. 9). Наличие такой корреляции непосредственно вытекает из определения St. Так, например, в случае простейшей батиметрии, когда Az = const, из формулы (1) непосредственно следует оценка
, (6)
где α – коэффициент температурного расширения. Таким образом, параметры St и (TВС–TПС) однозначно связаны; причем, если пренебречь зависимостью α от температуры, эта связь линейна. Коэффициент пропорциональности в приведенном соотношении зависит от вида температурного профиля; например, в случае стратификации, когда водная толща разделена на два однородных слоя с разной температурой, этот коэффициент равен 1/16 [1]. Соответствующая зависимость, рассчитанная с учетом характерных значений H = 5.3 м (средняя глубина оз. Вендюрского) и α ~ 2×10–4 °C–1, приведена на рис. 9.
Рис. 9. 1 – разница температуры воды верхнего (ТВС) и придонного (ТПС) слоев оз. Вендюрского и соответствующие им значения St за все годы измерений; 2 – зависимость, рассчитанная с учетом характерных значений H = 5.3 м (средняя глубина оз. Вендюрского) и α ~ 2×10–4 °C–1
В недавно опубликованных статьях [26, 35] указано на увеличение устойчивости водной толщи озер на фоне потепления климата. Например, в [32] установлено, что в 1980–2008 гг. на фоне повышения температуры воздуха продолжительность стратификации в канадском оз. Симко (“Lake Simсoe”) увеличилась более чем на месяц. В работе [10] показано, что в 1964–2017 гг. термическая устойчивость водной толщи белорусского оз. Нарочь значимо увеличивалась на фоне потепления климата. Авторы настоящей статьи проанализировали данные измерений в оз. Вендюрском в 2008–2013 и 2015–2022 гг. и не обнаружили явной тенденции увеличения периода стратификации и увеличения устойчивости водного столба ни по одному из использованных параметров, несмотря на то, что для региона южной Карелии характерно статистически значимое повышение температуры воздуха в эти периоды. Возможная причина этого – усиление ветровой нагрузки на водоем. Анализ данных МС Петрозаводск показал уменьшение количества случаев штилей в мае–октябре в 2011–2020 гг., а также статистически значимое увеличение скорости ветра на +0.2 м/с за 10 лет в 2008–2022 гг.
Еще одна причина того, что по данным измерений в оз. Вендюрском не выявлено увеличения продолжительности периода стратификации, может заключаться в усилении интенсивности радиационного перемешивания. Количественным параметром этого процесса может служить разность ∆T в случае, когда она положительна. Из общих соображений, a priori, получить точный вывод о тренде в динамике параметра ∆T в условиях глобального потепления весьма трудно – зависимость, очевидно, нелинейная. Так, если для ∆T обнаруживается даже малый тренд увеличения, в среднем конвективное перемешивание будет усиливаться и соответствующий процесс будет обеспечивать отрицательную обратную связь – за счет усиления конвекции температура верхнего слоя воды в озере будет уменьшаться, что компенсирует исходный рост ∆T. Если же ∆T имеет тренд уменьшения, то эффект будет обратным – уменьшение ∆T приводит к ингибированию конвекции и возможному росту температуры воды верхнего слоя, что компенсирует исходное уменьшение ∆T.
Выраженная межгодовая изменчивость высших моментов (дисперсии и асимметрии) функции распределения ∆T (рис. 8) соответствует известному выводу о том, что климатические изменения характеризуются не только и даже не столько положительными трендами (например, ростом температуры), но и повышенной вариативностью статистических параметров, что приводит, в частности, к учащению аномальных явлений [6, 12].
Наряду с повышенной вариативностью параметров σ и S следует также отметить, что за последнее десятилетие все более типичными становятся распределения с отрицательными и большими по модулю значениями параметра S; при этом динамика параметра S даже демонстрирует некоторый тренд уменьшения (рис. 8). Для линий подобных функций распределения характерна длинная левая ветвь, свидетельствующая о том, что эпизоды, когда перемешивание за счет выхолаживания ингибируется (отрицательные значения ∆T), весьма локализованы по времени, т. е. случаются достаточно редко, и их можно рассматривать как некоторые аномалии. В то же время интервалы времени с положительной ∆T бывают чаще. Сам же тренд уменьшения параметра S при такой интерпретации означает, что в последние годы указанная асимметрия становится более выраженной и вклад радиационного механизма в перемешивание увеличивается.
ЗАКЛЮЧЕНИЕ
По данным длительных измерений температуры воды на автономной станции в центральном глубоководном районе полимиктического оз. Вендюрского изучено изменение устойчивости его водной толщи в период открытой воды в разные по погодным условиям годы. С использованием программы Lake Analyzer и данных реанализа рассчитаны значения индексов, характеризующих устойчивость водной толщи озера (устойчивость Шмидта, озерное число, число Веддерберна).
Для оценки изменений продолжительности стратификации в озере в разные годы в период с 20 мая по 30 сентября проведен расчет количества дней с превышением пороговых значений этих индексов, а также дней с превышением разницы температуры по водному столбу в 1 и 2°С. Использование разных критериев оценки устойчивости водной толщи озера показало выраженные различия продолжительности стратификации в конкретные годы. Увеличения продолжительности стратификации за изученные годы не было выявлено.
Статистически значимое повышение температуры воздуха в регионе южной Карелии в 1976–2022 гг. не привело к усилению устойчивости водной толщи озера и увеличению продолжительности стратификации в 2008–2022 гг., предположительно, за счет усиления ветровой нагрузки (уменьшения повторяемости штилей и увеличения скорости ветра на +0.2 м/с за 10 лет в 2008–2022 гг.). Также, возможно, ослабление устойчивости водного столба происходило в связи с увеличением роли конвективного перемешивания, обусловленного радиационным выхолаживанием. Также очевидно, что длина рядов наблюдений (15 последовательных лет с пропуском одного года) недостаточна для выявления статистически значимых трендов.
Об авторах
С. И. Смирнов
Институт водных проблем Севера КарНЦ РАН
Автор, ответственный за переписку.
Email: sergeysmirnov92@mail.ru
Россия, Петрозаводск
Р. Э. Здоровеннов
Институт водных проблем Севера КарНЦ РАН
Email: sergeysmirnov92@mail.ru
Россия, Петрозаводск
Т. В. Ефремова
Институт водных проблем Севера КарНЦ РАН
Email: sergeysmirnov92@mail.ru
Россия, Петрозаводск
Н. И. Пальшин
Институт водных проблем Севера КарНЦ РАН
Email: sergeysmirnov92@mail.ru
Россия, Петрозаводск
А. А. Смирновский
Санкт-Петербургский политехнический университет Петра Великого
Email: sergeysmirnov92@mail.ru
Россия, Санкт-Петербург
С. Р. Богданов
Институт водных проблем Севера КарНЦ РАН
Email: sergeysmirnov92@mail.ru
Россия, Петрозаводск
А. Ю. Тержевик
Институт водных проблем Севера КарНЦ РАН
Email: sergeysmirnov92@mail.ru
Россия, Петрозаводск
Г. Э. Здоровеннова
Институт водных проблем Севера КарНЦ РАН
Email: sergeysmirnov92@mail.ru
Россия, Петрозаводск
Список литературы
- Богданов С.Р., Пальшин Н.И., Здоровеннов Р.Э., Митрохов А.В., Кузнецов П.С., Новикова Ю.С., Здоровеннова Г.Э. Оценка эффективности перемешивания озера при поверхностном выхолаживании // Фундаментальная и прикладная гидрофизика. 2023. Т. 16. № 2. С. 73–88.
- Булыгина О.Н., Веселов В.М., Разуваев В.Н., Александрова Т.М. Описание массива срочных данных об основных метеорологических параметрах на станциях России. Свид. о гос. регистрации базы данных № 2014620549. http://meteo.ru/data/163-basic-parameters#описание-массива-данных
- Булыгина О.Н., Коршунова Н.Н., Разуваев В.Н. Изменение режима ветра на территории России в последние десятилетия // Тр. ГГО. 2013. Вып. 568. С. 156–172.
- Гавриленко Г.Г., Здоровеннова Г.Э., Волков С.Ю., Богданов С.Р., Здоровеннов Р.Э. Устойчивость водной массы и ее влияние на кислородный режим полимиктического озера // Геополитика и экогеодинамика регионов. 2018. T. 4 (14). № 1. C. 57–71.
- Доклад об особенностях климата на территории Российской Федерации за 2022 год. М.: Росгидромет, 2023. 104 с.
- Мохов И.И. Изменения климата: причины, риски, последствия, проблемы адаптации и регулирования // Вестн. РАН. 2022.Т. 92. № 1. С. 3–14.
- Назарова Л.Е. Климатические условия на территории Карелии // Современные исследования водоемов Севера: учебное пособие. Петрозаводск: КарНЦ РАН, 2021. С. 7–16.
- Оценочный доклад об изменении климата и их последствиях на территории Российской Федерации. М.: Росгидромет, 2008. Т. 1. 228 с.
- Расписание погоды. http://rp5.ru (дата обращения: 9 марта 2023 г.)
- Суховило Н.Ю. Влияние метеорологических и климатических условий на термодинамические процессы в разнотипных озерах Беларуси // Acta Geographica Silesiana. 2019. T. 13/3. № 35. С. 47–60.
- Суховило Н.Ю., Власов Б.П., Новик А.А. Динамические критерии оценки устойчивости озерных экосистем Белорусского Поозерья к внешнему воздействию // Журн. Белорусского гос. ун-та. География. Геология. 2018. T. 2. C. 13–24.
- Третий оценочный доклад об изменениях климата и их последствиях на территории Российской Федерации. Росгидромет. СПб.: Наукоемкие технологии, 2022. 676 с.
- Climate Data Store. ERA5 hourly data on single levels from 1979 to present. https://cds.climate.copernicus.eu/cdsapp#!/dataset/reanalysis-era5-single-levels?tab=overview (дата обращения: 11.11.2022 г.)
- Desgué-Itier O., Melo Vieira Soares L., Anneville O., Bouffard D., Chanudet V., Danis P. A., Domaizon I., Guillard J., Mazure T., Sharaf N., Soulignac F., Tran-Khac V., Vinçon-Leite B., Jenny J.-P. Past and future climate change effects on the thermal regime and oxygen solubility of four peri-alpine lakes // Hydrol. Earth Syst. Sci. 2023. V. 27. P. 837–859.
- Engelhardt С., Kirillin G. Criteria for the onset and breakup of summer lake stratification based on routine temperature measurements // Fundam. Appl. Limnol. 2014. V. 184. P. 183–194.
- Gloor M., Wüest A., Imboden D.M. Dynamics of mixed bottom boundary layers and its implications for diapycnal transport in a stratified, natural water basin // J. Geophys. Res. 2000. V. 105. P. 8629–8646.
- Guseva S., Casper P., Sachs T., Spank U., Lorke A. Energy Flux Paths in Lakes and Reservoirs. // Water. 2021. V. 13. P. 3270.
- Idso S.B. On the concept of lake stability// Limnol. Oceanogr. 1973. V. 18. P. 681–683.
- Imberger J., Patterson J.C. Physical limnology // Advanc. Appl. Mech. 1990. V. 27. P. 303–475.
- Jane S.F., Hansen G.J.A., Kraemer B.M., Leavitt P.R., Mincer J.L., North R.L., Pilla R.M., Stetler J.T., Williamson C.E., Woolway R.I., Arvola L., Chandra S., DeGasperi C.L., Diemer L., Dunalska J., Erina O., Flaim G., Grossart H.-P., Hambright K.D., Hein C., Hejzlar J., Janus L.L., Jenny J.-P., Jones J.R., Knoll L.B., Leoni B., Mackay E., Matsuzaki S.-I.S., McBride C., Müller-Navarra D.C., Paterson A.M., Pierson D., Rogora M., Rusak J.A., Sadro S., Saulnier-Talbot E., Schmid M., Sommaruga R., Thiery W., Verburg P., Weathers K.C., Weyhenmeyer G.A., Yokota K., Rose K.C. Widespread deoxygenation of temperate lakes // Nature. 2021. V. 594. P. 66–70.
- Mammarella I., Gavrylenko G., Zdorovennova G., Ojala A., Erkkilä K.-M., Zdorovennov R., Stepanyuk O., Palshin N., Terzhevik A., Vesala T., Heiskanen J. Effects of similar weather patterns on the thermal stratification, mixing regimes and hypolimnetic oxygen depletion in two boreal lakes with different water transparency // Boreal Env. Res. 2018. V. 23. P. 237–247.
- Mironov D., Heise E., Kourzeneva E., Ritter B., Schneider N., Terzhevik A. Implementation of the lake parameterization scheme FLake into the numerical weather prediction model COSMO // Boreal Env. Res. 2010. V. 15. P. 218–230.
- North R.P., North R.L., Livingstone D.M., Köster O., Kipfer R. Long-term changes in hypoxia and soluble reactive phosphorus in the hypolimnion of a large temperate lake: consequences of a climate regime shift // Glob. Change Biol. 2014. V. 20. P. 811–823.
- O’Reilly C.M., Sharma S., Gray D.K., Hampton S.E., Read J.S., Rowley R.J., Schneider P., Lenters J.D., McIntyre P.B., Kraemer B.M., Weyhenmeyer G.A., Straile D., Dong B., Adrian R., Allan M.G., Anneville O., Arvola L., Austin J., Bailey J.L., Baron J.S., Brookes J.D., de Eyto E., Dokulil M.T., Hamilton D.P., Havens K., Hetherington A.L., Higgins S.N., Hook S., Izmest’eva L.R., Joehnk K.D., Kangur K., Kasprzak P., Kumagai M., Kuusisto E., Leshkevich G., Livingstone D.M., MacIntyre S., May L., Melack J.M., Mueller-Navarra D.C., Naumenko M., Noges P., Noges T., North R.P., Plisnier P.-D., Rigosi A., Rimmer A., Rogora M., Rudstam L.G., Rusak J.A., Salmaso N., Samal N.R., Schindler D.E., Schladow S.G., Schmid M., Schmidt S.R., Silow E., Soylu M.E., Teubner R., Verburg P., Voutilainen A., Watkinson A., Williamson C.E., Zhang G. Rapid and highly variable warming of lake surface waters around the globe // Geophys. Res. Lett. 2015. V. 42. P. 10773–10781.
- Piccioni F., Casenave C., Lemaire B.J., Le Moigne P., Dubois P., Vinçon-Leite B. The thermal response of small and shallow lakes to climate change: new insights from 3D hindcast modelling // Earth Syst. Dynam. 2021. V. 12. P. 439–456.
- Pilla R.M., Williamson C.E., Adamovich B.V., Adrian R., Anneville O., Chandra S., Colom-Montero W., Devlin S.P., Dix M.A., Dokulil M.T., Gaiser E.E., Girdner S.F., David Hambright K., Hamilton D.P., Havens K., Hessen D.O., Higgins S.N., Huttula T.H., Huuskonen H., Isles P.D.F., Joehnk K.D., Jones I.D., Bill Keller W., Knoll L.B., Korhonen J., Kraemer B.M., Leavitt P.R., Lepori F., Luger M.S., Maberly S.C., Melack J.M., Melles S.J., Müller-Navarra D.C., Pierson D.C., Pislegina H.V., Plisnier P.-D., Richardson D.C., Rimmer A., Rogora M., Rusak J.A., Sadro S., Salmaso N., Saros J.E., Saulnier-Talbot É., Schindler D.E., Schmid M., Shimaraeva S.V., Silow E.A., Sitoki L.M., Sommaruga R., Straile D., Strock K.E., Thiery W., Timofeyev M.A., Verburg P., Vinebrooke R.D., Weyhenmeyer G.A., Zadereev E. Deeper waters are changing less consistently than surface waters in a global analysis of 102 lakes // Sci. Rep. 2020. V. 10. Р. 20514.
- Råman Vinnå L., Medhaug I., Schmid M., Bouffard D. The vulnerability of lakes to climate change along an altitudinal gradient // Commun. Earth Environ. 2021. V 2. № 35.
- Read J.S., Hamilton D.P., Jones I.D., Muraoka K., Winslow L.A., Kroiss R., Wu C.H., Gaiser E. Derivation of lake mixing and stratification indices from high-resolution lake buoy data // Environ. Model. Software. 2011. V. 26. P. 1325–1336.
- Robertson D.M., Imberger J. Lake Number, a Quantitative Indicator of Mixing Used to Estimate Changes in Dissolved Oxygen // Int. Rev. Hydrobiol. 1994. V. 79. P. 159–176.
- Robertson D., Ragotzkie R. Changes in the thermal structure of moderate to large sized lakes in response to changes in air temperature // Aquat. Sci. 1990. V. 52. P. 360–380.
- Shatwell T., Thiery W., Kirillin G. Future projections of temperature and mixing regime of European temperate lakes // Hydrol. Earth Syst. Sci. 2019. V. 23. P. 1533–1551.
- Stainsby E.A., Winter J.G., Jarjanazi H., Paterson A.M., Evans D.O., Young J.D. Changes in the thermal stability of Lake Simcoe from 1980 to 2008 // J. Great Lakes Res. 2011. V. 37. P. 55–62.
- Thompson R.O.R.Y., Imberger J. Response of a numerical model of a stratified lake to wind stress // Proc. 2nd Int. Symp. Stratified Flows. Trondheim, 1980. V. 1. P. 562–570.
- Wilhelm S., Adrian R. Impact of summer warming on the thermal characteristics of a polymictic lake and consequences for oxygen, nutrients and phytoplankton // Freshwater Biol. 2008. V. 53. P. 226–237.
- Winslow L.A., Read J.S., Hansen G.J.A., Rose K.C., Robertson D.M. Seasonality of change: Summer warming rates do not fully represent effects of climate change on lake temperatures // Limnol. Oceanogr. 2017 V. 62. P. 2168–2178.
- Woolway R.I., Sharma S., Weyhenmeyer G.A., Debolskiy A., Golub M., Mercado-Bettín D., Perroud M., Stepanenko V., Tan Z., Grant L., Ladwig R., Mesman J., Moore T.N., Shatwell T., Vanderkelen I., Austin J.A., DeGasperi C.L., Dokulil M., La Fuente S., Mackay E.B., Schladow S.G., Watanabe S., Marcé R., Pierson D.C., Thiery W., Jennings E. Phenological shifts in lake stratification under climate change // Nat. Commun. 2021. V. 12. P. 2318.
Дополнительные файлы












