Накопление низкомолекулярных соединений как ответная реакция растений на техногенное засоление
- Авторы: Четина О.А.1, Еремченко О.З.1, Пахоруков И.В.1
- 
							Учреждения: 
							- Пермский государственный национальный исследовательский университет
 
- Выпуск: № 2 (2023)
- Страницы: 94-102
- Раздел: Статьи
- URL: https://journal-vniispk.ru/0367-0597/article/view/139168
- DOI: https://doi.org/10.31857/S036705972302004X
- EDN: https://elibrary.ru/MXMNJI
- ID: 139168
Цитировать
Полный текст
Аннотация
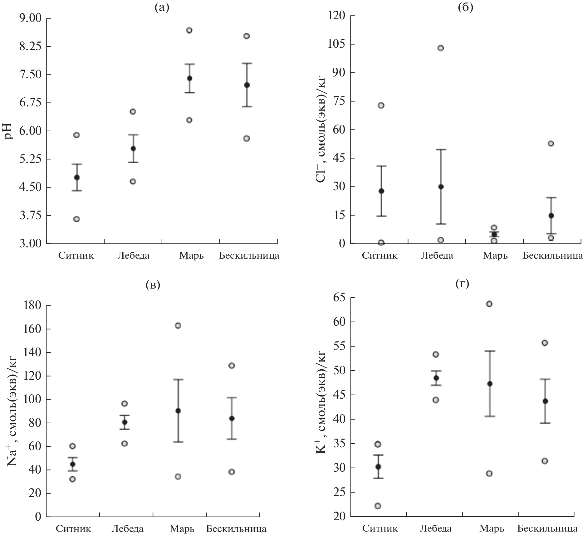
В условиях южной тайги растительное сообщество на техногенно засоленной аллювиальной почве представлено рудеральными видами из состава местной флоры. Показано, что при прогрессирующем засолении почвы у растений проявились видоспецифичные реакции, выраженные в аккумуляции низкомолекулярных соединений: марь сизая Chenopodium glaucum L. накапливала пролин и глицинбетаин, лебеда раскидистая Atriplex patula L. – пролин, бескильница расставленная Puccinellia distans (Jacq.) Parl. – флавоноиды, ситник жабий Juncus bufonius L. – глицинбетаин. На кислой засоленной почве в листьях лебеды отмечено повышенное содержание пролина, а в бескильнице – накопление флавоноидов.
Об авторах
О. А. Четина
Пермский государственный национальный исследовательский университет
														Email: lymar11@rambler.ru
				                					                																			                												                								Россия, 614990, Пермь, ул. Букирева, 15						
О. З. Еремченко
Пермский государственный национальный исследовательский университет
														Email: lymar11@rambler.ru
				                					                																			                												                								Россия, 614990, Пермь, ул. Букирева, 15						
И. В. Пахоруков
Пермский государственный национальный исследовательский университет
							Автор, ответственный за переписку.
							Email: lymar11@rambler.ru
				                					                																			                												                								Россия, 614990, Пермь, ул. Букирева, 15						
Список литературы
- Piernik A., Hulisz P., Rokicka A. Micropattern of halophytic vegetation on technogenic soils affected by the soda industry // Soil Science and Plant Nutrition. 2015. V. 61. P. 98–112. https://doi.org/10.1080/00380768.2015.1028874
- Шишконакова Е.А. Антропогенная растительность территорий предприятий ОАО “Уралкалий” (Пермская область) // Социально-экологические технологии. 2017. № 3. С. 65–79.
- Розенцвет О.А., Нестеров В.Н., Богданова Е.С. Структурные и физиолого-биохимические аспекты солеустойчивости галофитов // Физиология растений. 2017. Т. 64. № 4. С. 251–265.
- Веселов Д.С., Маркова И.В., Кудоярова Г.Р. Реакция растений на засоление и формирование солеустойчивости // Успехи современной биологии. 2007. Т. 127. № 5. С. 482–493.
- Карташов А.В., Радюкина Н.Л., Иванов Ю.В. и др. Роль систем антиоксидантной защиты при адаптации дикорастущих видов растений к солевому стрессу // Физиология растений. 2008. Т. 55. № 4. С. 516–522.
- Chen S., Xing J., Lan H. Comparative effects of neutral salt and alkaline salt stress on seed germination, early seedling growth and physiological response of a halophyte species Chenopodium glaucum // African J. of Biotechnology. 2012. V. 11. № 40. P. 9572–9581. https://doi.org/10.5897/AJB12.320
- Колупаев Ю.Е., Карпец Ю.В. Активные формы кислорода, антиоксиданты и устойчивость растений к действию стрессоров. Киев: Логос, 2019. 277 с.
- Sakamoto A., Murata N. The role of glycine betaine in the protection of plants from stress: clues from line content in salt stressed spinach leaves // Plant Growth Regul. 2003. V. 40. P. 89–95.
- Mansour M.M.F., Salama K.H.A., Ali F.Z.M. et al. Cell and plant responses to NaCl in Zea mays L. cultivars differing in salt tolerance // Gen. Appl. Plant Physiol. 2005. V. 31. № 1–2. P. 29–41.
- Yan H., Zhao W., Sheng Y. et al. Effects of alkali-stress on Aneurolepidium chinense and Helianthus annuus // The J. of Applied Ecology. 2005. V. 16 (8). P. 1497–1501.
- Тараховский Ю.С., Музафаров Е.Н., Ким Ю.А. Взаимодействие флавоноидов с мембранами // Фенольные соединения: фундаментальные и прикладные аспекты. 2010. С. 108–116.
- Liu J., Guo Q., Shi D.C. Seed germination, seedling survival, and physiological response of sunflowers under saline and alkaline conditions // Photosynthetica. 2010. V. 48 (2). P. 278–286. https://doi.org/10.1007/s11099-010-0034-3
- Brunetti C., di Ferdinando M., Fini A. et al. Flavonoids as antioxidants and developmental regulators: relative significance in plants and humans // Int. J. Mol. Sci. 2013. V. 14 (2). P. 3540–3555. https://doi.org/10.3390/ijms14023540
- Carvalho K., Campos M.K., Domingues D.S. et al. The accumulation of endoge-nous proline induces changes in gene expression of several antioxidant enzymes in leaves of transgenic Swingle citrumelo // Molecular Biology Reports. 2013. V. 40 (4). P. 3269–3279. https://doi.org/10.1007/s11033-012-2402-5
- Назарова В.Д., Бакумова Е.В., Бектемисова А.У. Антиоксидантная активность флавоноидов // Актуальные проблемы науки и образования в области естественных и сельскохозяйственных наук: Мат-лы ІIІ междун научно-практич. конф., посвященной 90-летию академика Е.А. Букетова. Петропавловск, 2015. С. 111–114.
- Рахманкулова З.Ф., Шуйская Е.В., Щербаков А.В. и др. Содержание пролина и флавоноидов в побегах галофитов, произрастающих на территории Южного Урала // Физиология растений. 2015. Т. 62. № 1. С. 79–88.
- Guo R, Yang Z., Li F., Yan C. et al. Comparative metabolic responses and adaptive strategies of wheat (Triticum aestivum) to salt and alkali stress // BMC Plant Biol. 2015. P. 170. https://doi.org/10.1186/s12870-015-0546-x
- Annunziata M.G., Ciarmiello L.F., Woodrow P. et al. Spatial and temporal profile of glycine betaine accumulation in plants under abiotic stresses //Frontiers in Plant Science. 2019. V. 10. P. 230. https://doi.org/10.3389/fpls.2019.00230
- Еремченко О.З., Лымарь О.А. Почвенно-экологические условия зоны солеотвалов и адаптация к ним растений // Экология. 2007. № 1. С. 18–23.
- Еремченко О.З., Четина О.А., Кусакина М.Г. и др. Техногенные поверхностные образования зоны солеотвалов и адаптация к ним растений. Пермь: Перм. гос. нац. исслед. ун-т, 2013. 148 с.
- Eremchenko O.Z., Pakhorukov I.V., Shestakov I.E. Development of the solonchak process in soils of small river valleys in the taiga-forest zone in relation to the production of potassium salts // Eurasian Soil Science. 2020. V. 53. № 4. P. 512–522. https://doi.org/10.1134/S1064229320040055
- Пахоруков И.В., Еремченко О.З. Свойства вторично засоленных аллювиальных почв в таежно-лесной зоне Прикамья // Сибирский лесной журн. 2021. № 3. С. 76–86. https://doi:10.15372|SJFS20210307
- Latef A.A.A., Tran L.S. Impacts of priming with silicon on the growth and tolerance of maize plants to alkaline stress // Frontiers in Plant Science. 2016. V. 7. P. 243–256. https://doi.org/10.3389/fpls.2016.00243
- Bhuyan M.H.M., Hasanuzzaman M., Mahmud J.A. et al. Unraveling morphophysiological and biochemical responses of Triticum aestivum L. to extreme pH: Coordinated actions of antioxidant defense and glyoxalase systems // Plants. 2019. V. 8. № 1. P. 24. https://doi.org/10.3390/ plants8010024
- Chetina O.A., Botalova K.I., Kaigorodov R.V. Effects of alkalinity and acidity of the root medium on defense systems in Triticum aestivum and Secale cereale // Russ. J. of Plant Physiology. 2020. V. 67 (2). P. 334–343. https://doi.org/10.1134/S1021443720010033
- Tomar P. Estimation of some biochemical parameters in Lycopersicon lycopersicum (L.) cv. damyanti in response to acid rain // Voyager. 2018. V. 9. P. 34–41.
- Чернавина И.А., Потапов Н.Г., Косулина Л.Г. и др. Большой практикум по физиологии растений. Минеральное питание. Физиология клетки. Рост и развитие: Учеб. пособие для студентов биол. спец. вузов / Под ред. Рубина Б.А. М.: Высшая школа, 1978. 408 с.
- Bates L., Waldren P.P., Teare J.D. Rapid determination of proline of water stress studies // Plant Soil. 1973. V. 39 (1). P. 205–207.
- Grieve C.M., Grattan S.R. Rapid assay for determination of water soluble quaternary ammonium compounds // Plant Soil. 1983. V. 70. P. 303–307.https://doi.org/10.1007/BF02374789
- Ungar I. Effect of salinity on seed germination, growth, and ion accumulation of Atriplex patula (Chenopodiaceae) // American J. of Botany. 1996. V. 83. № 5. P. 604–607.
- Tarasoff C.S., Mallory-Smith C.A., Ball D.A. Comparative plant responses of Puccinellia distans and Puccinellia nuttalliana to sodic versus normal soil types //Journal of Arid Environments. 2007. V. 70. № 3. P. 403–417. https://doi.org/10.1016/j.jaridenv.2007.01.008
- Erfanzadeh R., Hendrickx F., Maelfait J. P. et al. The effect of successional stage and salinity on the vertical distribution of seeds in salt marsh soils //Flora-Morphology, Distribution, Functional Ecology of Plants. 2010. V. 205. № 7. P. 442–448. https://doi.org/10.1016/j.flora.2009.12.010
- Genc Y., Taylor J., Lyons G. et al. Bread wheat with high salinity and sodicity tolerance // Frontiers in Plant Science. 2019. V. 10. P. 1280. https://doi.org/10.3389/fpls.2019.01280
- Aslam R., Bostan N., Nabgha-e-Amen M. et al. A critical review on halophytes: salt tolerant plants // J. of Medicinal Plants Research. 2011. V. 5. P. 7108–7118. https://doi.org/10.5897/JMPRx11.009
- Захарин А.А., Паничкин Л.А. Модель протонного барьера. Полная односторонняя непроницаемость клеток корня для воды под влиянием избытка протонов в апопласте // Вестник ТСХА. 2005. Вып. 3. С. 69–82.
- Zhu J.K. Plant salt tolerance // Trends Plant Science. 2001. V. 6. P. 66–71. https://doi.org/10.1016/S1360-1385(00)01838-0
- Krishnan N., Dickman M.B., Becker D.F. Proline modulates the intracellular redox environment and protects mammalian cells against oxidative stress // Free Radical Biology and Medicine. 2008. V. 44. P. 671−681. https://doi.org/10.1016/j.freeradbiomed.2007.10.054
- Edreva A., Velikova V., Tsonev T. et al. Stress-protective role of secondary metabolites: diversity of functions and mechanisms // General and Applied Plant Physiology. 2008. V. 34. P. 67–78.
- Shavrukov Y., Hirai Y. Good and bad protons: genetic aspects of acidity stress responses in plants / J. of Experimental Botany. 2016. V. 67. № 1. P. 15–30. https://doi.org/10.1093/jxb/erv437
Дополнительные файлы
 
				
			 
						 
						 
						 
					 
						 
									
 
  
  
  Отправить статью по E-mail
			Отправить статью по E-mail 







