За 50 лет зарастания отвала золы содержание азота и фосфора изменилось в эмбриоземе, но не изменилось в растениях
- Авторы: Бетехтина А.А.1, Некрасова О.А.1, Учаев А.П.1, Некрашевич П.С.1, Малахеева А.В.1, Радченко Т.А.1, Дубровин Д.И.1, Петрова Т.А.1, Веселкин Д.В.2
- 
							Учреждения: 
							- Уральский федеральный университет им. первого Президента России Б.Н. Ельцина
- Институт экологии растений и животных УрО РАН
 
- Выпуск: № 4 (2023)
- Страницы: 281-290
- Раздел: Статьи
- URL: https://journal-vniispk.ru/0367-0597/article/view/139194
- DOI: https://doi.org/10.31857/S0367059723040042
- EDN: https://elibrary.ru/RQCRXX
- ID: 139194
Цитировать
Полный текст
Аннотация
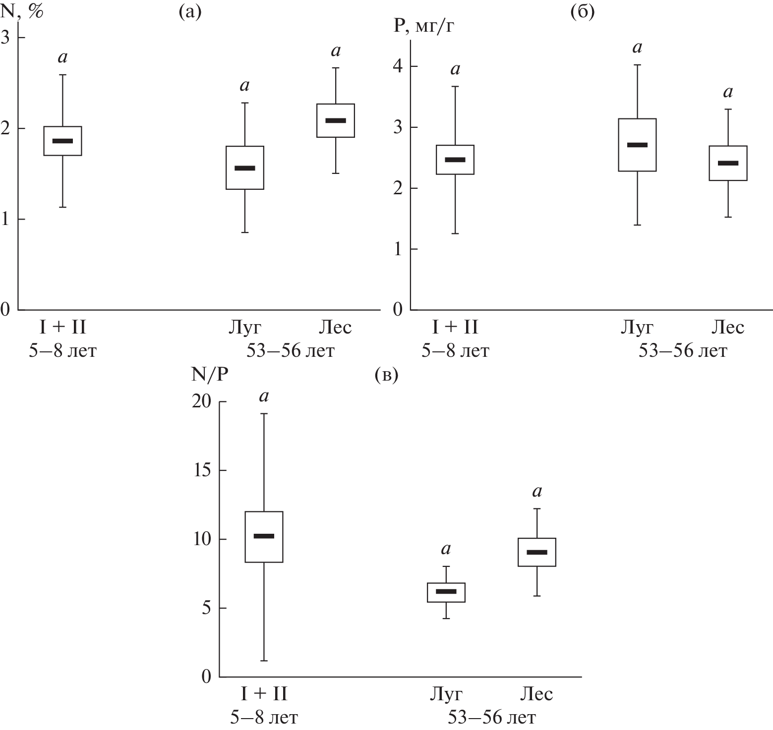
Исследовали изменение содержания азота (N) и фосфора (P) в зольном субстрате и листьях растений в ходе первичной сукцессии зарастания разновозрастных отвалов золы. Работы проведены на молодом (длительность зарастания 5–8 лет) и старом (длительность зарастания 53–56 лет; два участка – с луговой и лесной растительностью) золоотвалах одной тепловой электростанции на Среднем Урале. В формирующейся почве и листьях модельных растений на каждом отвале определили содержание N и P. В молодых почвах установлена предсказуемая и объяснимая сукцессионная динамика N и P: за 53–56 лет содержание N возросло в 2.4–7.1 раза, а содержание P снизилось в 1.1–2.1 раза. В листьях растений содержание N и P на разных этапах зарастания было фактически константным: N – 1.6–2.1%, P – 2.2–2.9 мг/г. В целом установлено, что и в сукцессионно молодых местообитаниях, и в более продвинутых, с формирующейся лесной растительностью на фоне кратного увеличения содержания N в почве содержание N в растениях остается низким. С большой вероятностью на обоих отвалах доступность азота является ограничивающим развитие растений фактором. Об этом свидетельствуют результаты анализа соотношения N/P в листьях и сравнения нашего массива значений N в листьях с глобальными содержаниями N у этих же видов. Таким образом, результаты, полученные в отношении сукцессионной динамики содержания азота и фосфора в почвах и растениях разновозрастных отвалов, оказались неожиданно мало согласованными между собой.
Об авторах
А. А. Бетехтина
Уральский федеральный университет им. первого Президента России Б.Н. Ельцина
														Email: A.A.Betekhtina@urfu.ru
				                					                																			                												                								Россия, 620083, Екатеринбург, просп. Мира, 19						
О. А. Некрасова
Уральский федеральный университет им. первого Президента России Б.Н. Ельцина
														Email: A.A.Betekhtina@urfu.ru
				                					                																			                												                								Россия, 620083, Екатеринбург, просп. Мира, 19						
А. П. Учаев
Уральский федеральный университет им. первого Президента России Б.Н. Ельцина
														Email: A.A.Betekhtina@urfu.ru
				                					                																			                												                								Россия, 620083, Екатеринбург, просп. Мира, 19						
П. С. Некрашевич
Уральский федеральный университет им. первого Президента России Б.Н. Ельцина
														Email: A.A.Betekhtina@urfu.ru
				                					                																			                												                								Россия, 620083, Екатеринбург, просп. Мира, 19						
А. В. Малахеева
Уральский федеральный университет им. первого Президента России Б.Н. Ельцина
														Email: A.A.Betekhtina@urfu.ru
				                					                																			                												                								Россия, 620083, Екатеринбург, просп. Мира, 19						
Т. А. Радченко
Уральский федеральный университет им. первого Президента России Б.Н. Ельцина
														Email: A.A.Betekhtina@urfu.ru
				                					                																			                												                								Россия, 620083, Екатеринбург, просп. Мира, 19						
Д. И. Дубровин
Уральский федеральный университет им. первого Президента России Б.Н. Ельцина
														Email: A.A.Betekhtina@urfu.ru
				                					                																			                												                								Россия, 620083, Екатеринбург, просп. Мира, 19						
Т. А. Петрова
Уральский федеральный университет им. первого Президента России Б.Н. Ельцина
														Email: A.A.Betekhtina@urfu.ru
				                					                																			                												                								Россия, 620083, Екатеринбург, просп. Мира, 19						
Д. В. Веселкин
Институт экологии растений и животных УрО РАН
							Автор, ответственный за переписку.
							Email: A.A.Betekhtina@urfu.ru
				                					                																			                												                								Россия, 620144, Екатеринбург, ул. 8 Марта, 202						
Список литературы
- Elser J.J., Bracken M.E.S., Cleland E.E. et al. Global analysis of nitrogen and phosphorus limitation of primary producers in freshwater, marine and terrestrial ecosystems // Ecol Lett. 2007. V. 10. № 12. P. 1135–1142. https://doi.org/10.1111/j.1461-0248.2007.01113.x
- Bui E.N., Henderson B.L. C : N : P stoichiometry in Australian soils with respect to vegetation and environmental factors // Plant and Soil. 2013. V. 373. P. 553–568. https://doi.org/10.1007/s11104-013-1823-9
- Chapin F.S. III, Vitousek P.M., Van Cleve K. The nature of nutrient limitation in plant communities // American Naturalist. 1986. V. 127. P. 48–58.
- Aerts R., Chapin F.S. The mineral nutrition of wild plants revisited: a re-evaluation of processes and patterns // Adv. Ecol. Res. 2000. V. 30. P. 1–67. https://doi.org/10.1016/S0065-2504(08)60016-1
- Wang G. Leaf trait co-variation, response and effect in a chronosequence // J. Vegatation Sci. 2007. V. 18. № 4. P. 563–570. https://doi.org/10.1111/j.1654-1103.2007.tb02570.x
- He M., Dijkstra F.A., Zhang K. Leaf nitrogen and phosphorus of temperate desert plants in response to climate and soil nutrient availability // Scientific Reports. 2014. V. 4. P. 1–7.
- Soudzilovskaia N.A., Onipchenko V.G., Cornelissen J.H.C. et al. Biomass production, N : P ratio and nutrient limitation in a Caucasian alpine tundra plant community // J. Vegetation Sci. 2005. V. 16. P. 399–406.https://doi.org/10.1111/j.1654-1103.2005.tb02379.x
- von Oheimb G., Power S.A., Falk K. et al. N : P Ratio and the nature of nutrient limitation in Calluna-dominated heathlands // Ecosystems. 2010. V. 13. P. 317–327. https://doi.org/10.1007/s10021-010-9320-y
- Liu B., Han F., Ning P. et al. Root traits and soil nutrient and carbon availability drive soil microbial diversity and composition in a northern temperate forest // Plant and Soil. 2022. V. 479. P. 281–299. https://doi.org/10.1007/s11104-022-05516-z
- Ning Z., Zhao X., Yulin L. et al. Plant community C : N : P stoichiometry is mediated by soil nutrients and plant functional groups during grassland desertification // Ecol Eng. 2021. V. 162. № 1. P. 106–179. https://doi.org/10.1016/j.ecoleng.2021.106179
- Yan T., Lu X.-T., Zhu J.-J. et al. Changes in nitrogen and phosphorus cycling suggest a transition to phosphorus limitation with the stand development of larch plantations // Plant and Soil. 2018. V. 422. P. 385–396. https://doi.org/10.1007/s11104-017-3473-9
- Peltzer D.A., Wardle D.A., Allison V.J. et al. Understanding ecosystem retrogression // Ecol. Monogr. 2010. V. 80. № 4. P. 509–529. https://doi.org/10.1890/09-1552.1
- Махонина Г.И. Экологические аспекты почвообразования в техногенных экосистемах Урала. Екатеринбург: Изд-во Урал. ун-та, 2003. 355 с.
- Vitousek P.M. Nutrient cycling and limitation: Hawaii as a model system. Princeton, N. J.: Princeton University Press, 2004. 232 p.
- Laliberte E., Turner B. L., Costes T. et al. Experimental assessment of nutrient limitation along a 2-million year dune chronosequence in the south-western Australia biodiversity hotspot // J. Ecol. 2012. V. 100. P. 631–642. https://doi.org/10.1111/j.1365-2745.2012.01962.x
- Coomes D.A., Bentley W.A., Tanentzap A.J. et al. Soil drainage and phosphorus depletion contribute to retrogressive succession along a New Zealand chronosequence // Plant Soil. 2013. V. 367. P. 77–91. https://doi.org/10.1007/s11104-013-1649-5
- Olde Venterink H., Gusewell S. Competitive interactions between two meadow grasses under nitrogen and phosphorus limitation // Funct Ecol. 2010. V. 24. P. 877–886. https://doi.org/10.1111/j.1365-2435.2010.01692.x
- Darcy J.L., Schmidt S.K., Knelman J.E. Phosphorus, not nitrogen, limits plants and microbial primary producers following glacial retreat // Science Advances. 2018. V. 4. № 5. P. 1–7. https://doi.org/10.1126/sciadv.aaq0942
- Satti P., Mazzarino M.J., Roselli L. Factors affecting soil P dynamics in temperate volcanic soils of southern Argentina // Geoderma. 2007. V. 139. P. 229–240.
- Hayes P.E., Turner B.L., Lambers H. et al. Foliar nutrient concentrations and resorption efficiency in plants of contrasting nutrient-acquisition strategies along a 2-million-year dune chronosequence // J. Ecol. 2014. V. 102. P. 396–410. https://doi.org/10.13140/2.1.5050.4968
- Zhong H., Zhou J., Wong W-S. et al. Exceptional nitrogen-resorption efficiency enables Maireana species (Chenopodiaceae) to function as pioneers at a mine-restoration site // Sci. Tot. Environ. 2021. V. 779. https://doi.org/10.1016/j.scitotenv.2021.146420
- Read D.J., Perez-Moreno J. Mycorrhizas and nutrient cycling in ecosystems-a journey towards relevance? // New Phytol. 2003. V. 157. P. 475–492. https://doi.org/10.1046/j.1469-8137.2003.00704.x
- Dickie I.A., Martinez-Garcia Laura B., Koele N. et al. Mycorrhizal and mycorrhizal fungal communities throughout ecosystem development // Plant Soil. 2013. V. 367. P. 11–39. https://doi.org/10.1007/s11104-013-1609-0
- Koerselman W., Meuleman A.F.M. The vegetation N : P ratio: a new tool to detect the nature of nutrient limitation // J. Appl Ecol. 1996. V. 33. № 6. P. 1441–1450. http://www.jstor.org/stable/2404783
- Güsewell S. N : P ratios in terrestrial plants: variation and functional significance // New Phytol. 2004. V. 164. P. 243–266. https://doi.org/10.1111/j.1469-8137.2004.01192.x
- Пасынкова М.В. Зола как субстрат для выращивания растений // Растения и промышленная среда. Свердловск: УрГУ, 1974. С. 29–44.
- Gajic G., Djurdjevic L., Kostic O. et al. Ecological potential of plants for phytoremediation and ecorestoration of Fly Ash Deposits and Mine Wastes // Fron. Environ. 2018. V. 6. 124 p. https://doi.org/10.3389/fenvs.2018.00124
- The Plant List [Электронный ресурс]. URL: http://www.theplantlist.org/ (дата обращения: 21.11.2022).
- Аринушкина Е.В. Руководство по химическому анализу почв. М.: МГУ, 1970. 478 с.
- Теория и практика химического анализа почв. Под ред. Воробьева Л.А.Новосибирск: Изд-во “ГЕОС”, 2006. 400 с.
- Kattge J., Boenisch G., Diaz S. et al. TRY plant trait database – enhanced coverage and open access // Global Change Biology. 2020. № 26. P. 119–188. https://doi.org/10.1111/gcb.14904
- Wang B., Qiu Y.L. Phylogenetic distribution and evolution of mycorrhizas in land plants // Mycorrhiza. 2006. V. 16. № 5. P. 299–363.
- Akhmetzhanova, A.A., Soudzilovskaia N.A., Onipchenko V.G. et al. A rediscovered treasure: mycorrhizal intensity database for 3000 vascular plant species across the former Soviet Union // Ecology. 2012. V. 93. № 3. P. 689–690. https://doi.org/10.1890/11-1749.1
- Бетехтина А.А., Веселкин Д.В. Распространенность и интенсивность микоризообразования у травянистых растений Среднего Урала с разными типами экологических стратегий // Экология. 2011. № 3. С. 176–183. [Betekhtina A.A., Veselkin D.V. Prevalence and intensity of mycorrhiza formation in herbaceous plants with different types of ecological strategies in the Middle Urals // Russ. J. Ecol. 2011. V. 42. № 3. P. 192–198.] https://doi.org/10.1134/S1067413611030040
- Betekhtina A.A., Veselkin D.V. Mycorrhizal and non-mycorrhizal dicotyledonous herba-ceous plants differ in root anatomy: evidence from the Middle Urals, Russia. // Symbiosis. 2019. V. 77. № 2. P. 133–140. https://doi.org/10.1007/s13199-018-0571-2
- Гаджиев И.М., Курачев В.М. Генетические и экологические аспекты исследования и классификация почв техногенных ландшафтов // Экология и рекультивация техногенных ландшафтов. Новосибирск: Наука, 1992. С. 6–15.
- IUSS Working Group WRB. World Reference Base for Soil Resources. International soil classification system for naming soils and creating legends for soil maps. 4th edition. // International Union of Soil Sciences (IUSS), Vienna, Austria, 2022. 234 p.
- Cornelissen J.H.C., Aerts R., Cerabolini B. et al. Carbon cycling traits of plant species are linked with mycorrhizal strategy // Oecologia. 2001. V. 129. № 4. P. 611–619.
- Walker T.W., Syers J.K. The fate of phosphorus during pedogenesis // Geoderma. 1976. V. 15. P. 1–19.
- Назарюк В.М., Калимуллина Ф.Р. Роль природных экосистем в восстановлении плодородия выпаханных почв Западной Сибири // Проблемы агрохимии и экологии. 2017. № 1. С. 43–50.
- Комаров А.С., Чертов О.Г., Быховец С.С. и др. Воздействие осиновых плантаций с коротким оборотом рубки на биологический круговорот углерода и азота в лесах бореальной зоны: модельный эксперимент // Математическая биология и биоинформатика. 2015. Т. 10. № 2. С. 398–415. [Komarov A., Chertov O., Bykhovets S.S. et al. Effects of the Aspen Short-Rotation Plantation on the C and N biological cycles in Boreal Forests: The Model Experiment // Math. Biol. Bioinform. 2015. V. 10. № 2. P. 398–415.] https://doi.org/10.17537/2015.10.398
- Бетехтина А.А., Некрасова О.А., Дергачева М.И. и др. Разложение корней луговых и лесных растений в зольном субстрате отвалов электростанций: лабораторный эксперимент // Известия РАН. Серия биологическая. 2020. № 3. С. 318–324. [Betekhtina A.A., Nekrasova O.A., Dergacheva M.I. et al. Decomposition of meadow and forest plant roots in the Ash substrate of power plant dumps: a laboratory experiment // Biology Bulletin. 2020. V. 47. № 3. P. 299–305.] https://doi.org/10.1134/S1062359020010033
- Бетехтина А.А., Ганем А., Некрасова О.А. и др. Факторы содержания углерода и азота в тонких корнях растений Среднего Урала // Экология. 2021. № 2. С. 83–92. [Betekhtina A.A., Ganem A., Nekrasova O.A. et al. Factors of carbon and nitrogen contents in the fine roots of plants in the Middle Urals // Rus. J. Ecol. 2021. V. 52. № 2. P. 99–108.] https://doi.org/10.1134/S106741362102003X
- Ghafoor A., Poeplau C., Kätterer T. Fate of straw–and root– derived carbon in a Swedish agricultural soil // Biol.Fertility Soils. 2017. V. 53. № 2. P. 257–267. https://doi.org/10.1007/s00374-016-1168-7
- Poirier V., Roumet C., Munson A.D. The root of the matter: Linking root traits and soil organic matter stabilization processes // Soil Biol. Biochem. 2018. V. 120. P. 246–259. https://doi.org/10.1016/j.soilbio.2018.02.016
- Макаров М.И. Роль микоризообразования в трансформации соединений азота в почве и азотном питании растений (обзор) // Почвоведение. 2019. № 2. С. 220–233. [Makarov M.I. The role of mycorrhiza in transformation of nitrogen compounds in soil and nitrogen nutrition of plants: a review // Eurasian Soil Science. 2019. V. 52. № 2. P. 193–205.] https://doi.org/10.1134/S1064229319100077
- Макаров М.И., Лавренов Н.Г., Онипченко В.Г. Азотное питание растений альпийской лишайниковой пустоши в условиях обогащения почвы элементами минерального питания // Экология. 2020. № 2. С. 83–89. [Makarov M.I., Lavrenov N.G., Onipchenko V.G. Nitrogen nutrition of plants in an Alpine lichen heath under the conditions of soil enrichment with biogenic elements // Russ. J. Ecol. 2020. V. 51. № 2. P. 99–106.] https://doi.org/10.1134/S1067413620020083
- Cross A.T., Lambers H. Young calcareous soil chronosequences as a model for ecological restoration on alkaline mine tailings // Sci. Tot. Environ. 2017. V. 607–608. P. 168–175. https://doi.org/10.1016/j.scitotenv.2017.07.005
- Crews T.E., Kitayama K., Fownes J.H. et al. Changes in soil phosphorus fractions and ecosystem dynamics across a long chronosequence in Hawaii // Ecology. 1995. V. 76. P. 1407–1424. https://doi.org/10.2307/1938144
- Satti P., Mazzarino M. J., Roselli L. et al. Factors affecting soil P dynamics in temperate volcanic soils of southern Argentina // Geoderma. 2007. V. 139. № 1–2. P. 229–240. https://doi.org/10.1016/j.geoderma.2007.02.005
- Макаров М.И. Фосфор органического вещества почв : Автореф. дис. … докт. биол. наук. М., 2004. 49 с.
- Kraus T.E., Dahlgren R.A., Zasoski R.J. Tannins in nutrient dynamics of forest ecosystems – a review // Plant and Soil. 2003. V. 256. № 1. P. 41–66. https://doi.org/10.1023/A:1026206511084
- Mallik A.U. Conifer regeneration problems in boreal and temperate forest with ericaceous understory: role of disturbance, seedbed limitation, and keystone change // Crit. Rev. Plant Sci. 2003. V. 22. P. 341–366.
- Дергачева М.И. Система гумусовых веществ почв. Новосибирск: Наука, 1989. 110 с.
- Brady N.C., Well R.R. Elementos da natureza e propriedades dos solos. 3 ed. Porto Alegre: Bookman, 2013. 686 p.
- Vergutz L., Manzoni S., Porporato A. et al. Global resorption efficiencies and concentrations of carbon and nutrients in leaves of terrestrial plants // Ecological Monographs. 2012. V. 82. P. 205–220.
 
				
			 
						 
						 
						 
					 
						 
									
 
  
  
  Отправить статью по E-mail
			Отправить статью по E-mail 




