Effect of chemical pollution on the fertility of male rodents from natural populations: сomparing the response of sperm morphology, motility, and concentration
- Authors: Smirnov G.Y.1, Davydova Y.A.1
-
Affiliations:
- Institute of Plant and Animal Ecology, Ural Branch, Russian Academy of Sciences
- Issue: No 3 (2024)
- Pages: 198-216
- Section: Articles
- URL: https://journal-vniispk.ru/0367-0597/article/view/264533
- DOI: https://doi.org/10.31857/S0367059724030043
- EDN: https://elibrary.ru/BJZQHD
- ID: 264533
Cite item
Full Text
Abstract
The results of studies of epididymal spermatozoa of three species of rodents (bank vole Clethrionomys glareolus, northern red-backed vole Cl. rutilus, and herb field mouse Sylvaemus uralensis) living under long-term exposure to atmospheric emissions from two large copper smelters in the Middle Urals are summarized (Middle Ural and Kirovgrad copper smelters). The impact of pollution (including at the individual level on the accumulation of Cu, Zn, Pb, and Cd in the liver) was assessed for indicators characterizing the quality of sperm from different aspects: morphology (proportion of cells with head and tail defects), motility (proportion of motile cells, velocity, and straightness of movement) and concentration. Sperm motility responds to pollution: in impact zones, the proportion of motile cells and their velocity were lower than in background zones. The occurrence of abnormal cells and sperm concentration were not statistically significantly different between impact and background zones. The reaction of sperm to chemical pollution is species-specific: voles react more strongly than the herb field mouse. The consistency of changes in sperm parameters (in the direction of their deterioration) in response to increased pollution was found only in the bank vole. Effect sizes for sperm parameters are much smaller compared to those for liver Cd accumulation and animal abundance. In general, the reaction of sperm to pollution turned out to be weak, none of the studied indicators can be a reliable marker of industrial pollution.
Keywords
Full Text
Влияние химического загрязнения на фертильность самцов грызунов из природных популяций: сравнение реакции морфологии, подвижности и концентрации сперматозоидов1
Устойчивость популяций млекопитающих к токсической нагрузке во многом определяется эффективностью воспроизводства, которая зависит от репродуктивных характеристик отдельных особей. Именно поэтому реакция различных репродуктивных параметров на загрязнение всегда привлекала внимание экотоксикологов [1–9]. В качестве модельных ситуаций часто выбирают воздействие точечных источников интенсивной эмиссии поллютантов (например, металлургические заводы с первичной плавкой цветных металлов).
При изучении вклада самцов в воспроизводство популяции рассматривают все звенья мужской репродукции – от морфологии и физиологии тканей и органов до поведенческих паттернов [5, 10, 11]. К наиболее важному звену относят качество сперматозоидов, которое можно рассматривать как прокси-оценку потенциальной фертильности. Для человека необходимость такой оценки регламентируется руководствами Всемирной организации здравоохранения [12] и Международной организации стандартизации [13].
Диагностика фертильности базируется на оценке сперматозоидов – морфологии, подвижности и концентрации клеток, которые в комплексе характеризуют их оплодотворяющую способность. На практике все три параметра чаще всего исследуют у человека, лабораторных или хозяйственно значимых животных [14, 15]. Другие виды вовлечены в эти исследования в меньшей степени. Тем не менее с той или иной полнотой сперматозоиды изучены и у млекопитающих из природных популяций – сумчатых [16], парнокопытных [17, 18], хищных [19], крупных грызунов (Castor fiber) [20], мышевидных грызунов [21, 22]. Большинство исследований на грызунах из природных популяций выполнено с использованием эпидидимальных сперматозоидов, которые по оплодотворяющей способности эквивалентны эякулированным [23–25].
Экотоксикологические аспекты функционирования репродуктивной системы самцов грызунов изучены фрагментарно, а ее устойчивость к действию токсикантов (в том числе потенциально токсичных металлов) до сих пор остается предметом дискуссий. Большинство исследователей считают половые клетки самцов чувствительными к загрязнению окружающей среды [26, 27]. С другой стороны, токсические эффекты металлов не всегда обнаруживают в организме: например, у животных, обитающих на загрязненных территориях, не было зарегистрировано уменьшения подвижности и концентрации сперматозоидов или увеличения доли аномальных клеток [1, 28, 29]. Немногочисленны и работы, в которых на одних и тех же особях оценивали и репродуктивные параметры (как правило, только структуру семенника), и концентрации металлов в организме [5, 6]. Насколько нам известно, ранее не исследовали влияние индивидуальной токсической нагрузки на качество сперматозоидов. Также очень мало работ, в которых бы одновременно оценивали влияние загрязнения на все три группы параметров – морфологию, подвижность и концентрацию сперматозоидов. Это не позволяет дать сравнительную характеристику информативности разных параметров. Отметим, что в работах вне проблематики загрязнения комплексный анализ параметров сперматозоидов традиционен [22, 30].
Цель нашей работы – сравнить реакцию параметров эпидидимальных сперматозоидов разных видов грызунов на загрязнение территории выбросами медеплавильных заводов. Для этого мы сопоставили морфологию (встречаемость аномальных клеток), подвижность (показатели скорости и долю подвижных клеток) и концентрацию сперматозоидов у животных, населяющих фоновые и импактные участки, с контрастными уровнями химического загрязнения. Определили также концентрации приоритетных загрязнителей (Cu, Zn, Cd, Pb) в организме, что позволило охарактеризовать связь качества сперматозоидов с индивидуальной токсической нагрузкой. При этом мы предположили, что 1) чувствительность разных показателей сперматозоидов к химическому загрязнению неодинакова и 2) реакция сперматозоидов на загрязнение видоспецифична.
Эти предположения частично основываются на наших предыдущих исследованиях. Так, из двух видов лесных полевок (рыжей и красной), обитающих в районах медеплавильных заводов, только у одного вида (рыжей полевки) скорость и доля подвижных клеток были ниже на импактных участках по сравнению с фоновыми [31]. Неожиданными были результаты анализа встречаемости аномальных сперматозоидов у рыжей полевки из другой выборки: их было меньше на загрязненных участках, чем на фоновых [32].
В отличие от наших предыдущих исследований, в которых отдельные показатели сперматозоидов характеризовали для разных выборок, в настоящей работе весь их комплекс рассматривали у одних и тех же особей. Основой для такого анализа стали выборки рыжей и красной полевок, у которых были определены показатели подвижности [31], но не были изучены морфология и концентрация половых клеток. Кроме того, помимо близкородственных рыжей и красной полевок (сем. Cricetidae), в данную работу также включили малую лесную мышь (сем. Muridae) – вид, отличающийся от полевок по морфологии и образу жизни (тип питания, предпочитаемые местообитания, подвижность). Все вместе это позволило оценить видоспецифичность и согласованность изменений рассматриваемых параметров.
Влияние загрязнения на сперматозоиды анализировали с учетом варианта онтогенеза грызунов, поскольку считается, что он может детерминировать различия репродуктивных характеристик между сеголетками и перезимовавшими особями [33, 34].
МАТЕРИАЛ И МЕТОДЫ
Район исследования
Для исследования были выбраны территории возле двух крупнейших медеплавильных предприятий Среднего Урала – СУМЗа (Среднеуральский медеплавильный завод, г. Ревда) и КМК (Кировградский медеплавильный комбинат, г. Кировград). Предприятия имеют ряд сходных черт, что позволяет корректно сравнивать эффекты загрязнения. Оба завода расположены в подзоне южной тайги (с преобладанием темнохвойных лесов) западного макросклона Урала и на момент исследования имели сопоставимый объем и состав выбросов (сернистый ангидрид, металлы и металлоиды).
В окрестностях предприятий сформированы техногенные геохимические аномалии с повышенным (в 10–100 раз по сравнению с фоновым) содержанием тяжелых металлов и других элементов в почве [35–38]. Несмотря на реорганизацию производства, в результате которой произошло многократное снижение выбросов (Приложение 1, рис. S1), степень воздействия на экосистемы остается высокой [39, 40]. В непосредственной близости от источников загрязнения продолжается гибель древостоя, отсутствуют восстановительные процессы в травяно-кустарничковом ярусе [41, 42]. Угнетенное состояние лесных экосистем связано с сохранением мощного слоя слаборазложившейся лесной подстилки из-за низких темпов деструкции растительного опада [38] и крайне медленным очищением верхних горизонтов почвы от металлов. Последнее связано с повышением pH, из-за чего в свою очередь снижается транзит металлов в нижележащие почвенные горизонты [37].
Участки отловов животных располагали к западу от заводов (противоположно господствующему направлению ветров) в двух контрастных по уровню загрязнения зонах – фоновой (Bg) и импактной (Im). Фоновые участки (30–40 км от заводов) характеризуются относительно ненарушенным состоянием экосистем, которое обусловлено действием только региональных выпадений поллютантов. На импактных участках (2–6 км от заводов) отмечаются структурные перестройки экосистем, вызванные действием локального загрязнения вплоть до крайних вариантов техногенной дигрессии сообществ – техногенных пустошей [36, 38, 41, 42].
Отлов, содержание и обследование животных
Исследовали три вида грызунов (Rodentia) из двух семейств: рыжую (Clethrionomys glareolus (Schreber, 1780)) и красную (Clethrionomys rutilus (Pallas, 1779)) полевок подсемейства Arvicolinae семейства Cricetidae [43] и малую лесную мышь (Sylvaemus uralensis (Pallas, 1811)) подсемейства Murinae семейства Muridae [44]. Эти виды обычны для территории Среднего Урала и часто доминируют в локальных таксоценах.
Отловы в районах СУМЗа и КМК проводили в 2018–2020 гг. с мая по август. На каждом участке размещали по две–три линии деревянных трапиковых живоловок (по 20–30 шт. каждая) на расстоянии 5–10 м друг от друга [45]. Ловушки экспонировали 3–5 суток и проверяли ежедневно утром и вечером. Для увеличения объема выборок использовали “максимальный вылов” животных: после срабатывания (поимки животного) ловушку снова устанавливали в рабочее состояние в отличие от классической схемы, при которой ловушка в течение суток может сработать только один раз. Таким образом, оценки численности оказались несколько смещенными (в сторону увеличения).
После поимки животных привозили в лабораторию для измерения, взвешивания, определения массы внутренних органов и отбора биологических образцов. Грызунов содержали 1–3 дня в условиях лаборатории при естественном освещении и комнатной температуре, стараясь максимально быстро рассадить животных (по 1–3 особи в пластиковые клетки-садки с сетчатой крышкой). Передержка животных помогала снизить влияние стресса от перевозки и новой обстановки. Животных кормили (ad libitum) овсом, морковью, огурцами и яблоками, для подстилки использовали древесные опилки и сено. Умерщвляли животных дислокацией шейных позвонков.
Самцов по комплексу признаков (масса и размер тела, наличие тимуса, состояние половых желез) дифференцировали на три популяционные группы: неполовозрелые сеголетки (immature, im), половозрелые сеголетки (mature, m) и перезимовавшие особи (overwintered, ow). В анализ показателей сперматозоидов включали только половозрелых самцов без видимых признаков инволюции семенников и придаточных желез, разделяя их на две группы – половозрелых сеголеток (I вариант онтогенеза, размножаются в год своего рождения) и перезимовавших особей (II вариант онтогенеза, размножаются после зимовки). Половозрелость самцов определяли по степени развитости (массе и размерам) семенников и придаточных желез и наличию сперматозоидов в эпидидимисе. Для верификации определения группы у всех отловленных грызунов по возрастным изменениям зубов был определен абсолютный возраст: для полевок – с точностью до 10–45 дней [34], для малой лесной мыши – до 10–142 дней [46].
Объем и структура выборки
Выборки частично отражали состояние населения мелких млекопитающих в окрестностях СУМЗа и КМК в период исследования. Численность грызунов на фоновых участках была в 1.5–2.0 раза выше по сравнению с импактными (табл. 1). Межгодовые различия численности грызунов позволили выделить годы с низкой (2018 г., 4.6 (1–8) ос/100 лов.-сут), средней (2019 г., 14.3 (6–22) ос/100 лов.-сут) и высокой (2020 г., 17.5 (9–35) ос/100 лов.-сут) численностью и отнести их к фазам “депрессии”, “роста” и “пика” популяционного цикла [47, 48]. Небольшое число лет наблюдений и отсутствие повторностей в пределах фазы цикла не позволило оценить межгодовую изменчивость репродуктивных параметров, поэтому они рассмотрены суммарно за все три года.
Таблица 1. Объем и структура выборки
Район | Зона загрязнения | Средняя численность грызунов (ос/100 лов.-сут) в 2018–2020 гг. | Cl. glareolus, n = 71 | Cl. rutilus, n = 52 | S. uralensis, n = 18 | |||
m | ow | m | ow | m | ow | |||
СУМЗ | Фоновая | 12.8 | 0 | 24 | 1 | 1 | 2 | 2 |
Импактная | 8.5 | 8 | 11 | 16 | 9 | 4 | 2 | |
КМК | Фоновая | 19.3 | 7 | 12 | 6 | 6 | 1 | 3 |
Импактная | 9.7 | 5 | 4 | 6 | 7 | 2 | 2 | |
Примечание. Популяционные группы: m – половозрелые сеголетки (mature), ow – перезимовавшие особи (overwintered).
Анализ морфологии сперматозоидов
Мазковые препараты готовили из содержимого хвостовой части правого эпидидимиса в 2–3 повторностях. Суспензию неокрашенных клеток наносили на предметное стекло и делали мазок, который затем фиксировали в 95%-ном спирте. Клетки фотографировали с помощью микроскопа Leica DM1000 LED и цифровой камеры Leica DFC295 (Leica Microsystems, Германия) при ×400 (для полевок) или ×200 (для малой лесной мыши).
Различали три группы сперматозоидов: нормальные (без деформаций структурных элементов клеток), с дефектом головки (включая деформацию акросомы), с дефектом хвоста (различные варианты петель и шпилек) [32]. У каждого животного исследовали по 200 сперматозоидов: в 15–30 случайных полях зрения определяли долю нормальных и аномальных клеток.
Анализ подвижности и концентрации сперматозоидов
После вскрытия у самцов извлекали эпидидимисы, делали тонкий прокол в их хвостовой части, затем с помощью микропипетки-дозатора (Proline, Sartorius AG, Финляндия, 0.1–2.5 мкл) отбирали 0.5 мкл эпидидимальной жидкости и помещали в питательную среду объемом 2 мл на 10–15 мин. Манипуляции с эпидидимисами выполняли под стереомикроскопом МС-2 (Биомед, Россия). В качестве питательной среды использовали смесь растворов DMEM (Dulbecco’s Modified Eagle’s Medium, с L-глутамином и глюкозой 4.5 г/л) и BSA (bovine serum albumin, 2% в итоговом растворе). Оба раствора – производства “БиолоТ” (Россия). Смесь DMEM и BSA представляет собой модификацию питательных сред, применяемых для анализа подвижности сперматозоидов лабораторных мышей (Crlj: CD1 (ICR) mice) [49] и рыжих полевок из лабораторной колонии [50]. Готовую смесь разливали в стерильные микропробирки и помещали на термостолик (Микростат, Техном, Россия) при температуре 37оC.
Готовой суспензией заполняли обе камеры (по 10 мкл суспензии на камеру) предметных стекол (2X-CEL chamber, Hamilton Thorne, США; глубина камеры 80 мкм) и закрепляли на нагревателе предметных стекол (MiniTherm, Hamilton Thorne, США) под объективом микроскопа. Для анализа подвижности сперматозоидов использовали правый эпидидимис, кроме двух случаев выраженной асимметрии эпидидимисов (правый орган был в 2 раза и более меньше левого) и двух случаев технической ошибки при отборе проб.
Подвижность сперматозоидов измеряли с помощью системы CEROS CASA (Computer-assisted sperm analysis): специализированной программы MouseTraxx v. 12.3 (Hamilton Thorne, США), микроскопа (Olympus CX41, Япония) и видеокамеры (Sony XC-ST50, Япония). Движение сперматозоидов снимали при увеличении объектива ×4 на 30 последовательных кадрах при скорости 60 кадр/с в 3 и более полях зрения. Клетки, попавшие только в часть отснятых кадров, в анализ не включали. Анализировали в среднем 450 (240–1782) треков движения сперматозоидов на особь. Оценивали следующие показатели: Motile – доля подвижных клеток; VCL (мкм/с) – скорость движения клетки по кривой отснятого трека; VSL (мкм/с) – скорость движения клетки по прямой от начала до конца трека; VAP (мкм/с) – скорость движения клетки по усредненной траектории; ALH (мкм) – амплитуда отклонения головки сперматозоида от усредненной траектории; BCF (Гц) – частота колебаний головки сперматозоида в секунду; STR (%) – прямолинейность усредненной траектории; LIN (%) – прямолинейность кривой отснятого трека (Приложение, табл. S1, рис. S2).
Значения концентрации сперматозоидов в образцах получали с помощью CASA одновременно с показателями их подвижности. Для контроля аппаратного определения и проверки воспроизводимости результатов использовали счетную камеру MMC-SR (MMCSoft, Россия). Для этого дополнительно отбирали пробу эпидидимальной жидкости и разбавляли ее в физиологическом растворе (NaCl, 0.9%). Каплю готовой суспензии с помощью пипетки помещали в счетную камеру. Клетки фотографировали и подсчитывали с помощью микроскопа Leica DM1000 LED и цифровой камеры Leica DFC295 (Leica Microsystems, Германия) при общем увеличении ×200 в 10 ячейках сетки камеры.
Для пересчета концентрации сперматозоидов из разведенной суспензии в значения для эпидидимальной жидкости (эпидидимата) при ручном и автоматическом определениях использовали формулу: С = L × (Vl / Ve), где С – концентрация клеток в эпидидимальной жидкости (кл/мл); L – измеренная концентрация клеток в растворе (DMEM или физиологическом) (кл/мл); Vl – объем питательного раствора (DMEM или физиологического) (мл); Ve – объем отобранной эпидидимальной жидкости (мл).
Измерение концентраций металлов в организме
Концентрации приоритетных (по содержанию в выбросах) металлов (Cu, Zn, Cd, Pb) определяли в печени. Выбор органа обусловлен известным фактом преимущественного депонирования в нем токсикантов [51, 52].
Образцы печени каждого животного сушили при 75оC до воздушно-сухой массы. Затем пробы измельчали и взвешивали на аналитических весах KERN-770 (Германия) с точностью 0.01 мг. Навеску ~ 100 мг помещали в тефлоновый сосуд, добавляли 7 мл 65%-ной HNO3 (ОСЧ) и 1 мл деионизированной H2O, выдерживали 30 мин и разлагали в микроволновой печи MWS-2 (MWS-2 Berghof, Германия) в соответствии с инструкцией производителя. Затем объем доводили до 10 мл деионизированной H2O. Концентрации металлов (мкг/г сухой массы) измеряли на атомно-абсорбционном спектрометре ContrAA 700 vario (Analytik Jena, Германия) с использованием пламенного (для Cu и Zn) и электротермического (для Cd и Pb) вариантов атомизации.
Качество измерений контролировали по международному стандартному образцу BCR-185R (бычья печень). Извлечение составило 81.5% – для Cu, 83.6% – для Zn, 94.0% – для Cd и 95.0% – для Pb. Предел обнаружения в пламенном варианте атомизации составлял 0.03 мкг/мл для Cu и 0.015 мкг/мл для Zn, в электротермическом – 0.0008 мкг/мл для Cd и 0.0025 мкг/мл для Pb. Если концентрация элемента была ниже предела обнаружения, для дальнейшего анализа использовали значение, равное его половине. Анализ (включая пробоподготовку) проводили в лаборатории экотоксикологии популяций и сообществ Института экологии растений и животных УрО РАН.
Статистический анализ
Статистический анализ проводили с использованием программного обеспечения STATISTICA 8 [53] и среды программирования R (R-project, v. 4.3.2, IDE RStudio v. 2023.09.1+494) [54, 55], а также пакета ggplot2 для визуализации [56]. Во всех случаях статистической единицей была особь.
Встречаемость аномальных сперматозоидов. Связь между частотами различных аномалий оценивали с помощью коэффициента ранговой корреляции Спирмена (R). Поиск возможных предикторов развития аномалий сперматозоидов (район, зона загрязнения, вид, популяционная группа) проводили с помощью обобщенных линейных моделей (GLM) для дихотомических признаков (множественная аддитивная логит-регрессия). Отношения шансов (OR) и их 95%-ные доверительные интервалы (ДИ) приведены после потенцирования коэффициентов логит-регрессии – логарифмов отношения шансов (exp(lnOR) или 1/exp(lnOR)). В качестве референтной группы выбраны половозрелые сеголетки из фоновой зоны в районе КМК.
Подвижность и концентрация сперматозоидов. Использовали среднее арифметическое для особи, поскольку большинство показателей подвижности сперматозоидов были распределены нормально (по результатам теста Шапиро-Уилка). Структуру корреляций между показателями подвижности анализировали методом главных компонент (использовали вращение varimax raw). Поскольку исходные данные представляли собой несбалансированный комплекс, влияние факторов (район, зона загрязнения, популяционная группа) на подвижность и концентрацию сперматозоидов анализировали с помощью t-критерия Стьюдента и F-критерия Фишера для проверки равенства дисперсий. Для анализа доли объясненной дисперсии (R²) использовали общие линейные модели (LM), для оценки межвидовых различий – однофакторный дисперсионный анализ. Множественные сравнения выполнили с помощью критерия Тьюки. Связь между концентрациями, полученными при приборном и ручном измерении, оценивали с помощью коэффициента линейной корреляции Пирсона (r) (значения предварительно логарифмировали).
Связь показателей сперматозоидов с индивидуальной токсической нагрузкой. Поскольку распределение концентраций металлов имело выраженную асимметрию (тест Шапиро-Уилка), данные предварительно логарифмировали (натуральный логарифм). Для оценки влияния факторов (район, зона загрязнения, вид, популяционная группа) использовали многофакторный дисперсионный анализ. Множественные сравнения выполнили с помощью критерия Тьюки. Связь между показателями сперматозоидов и индивидуальным уровнем накопления тяжелых металлов оценивали с помощью коэффициента линейной корреляции Пирсона (r). Для контроля частоты ложных отклонений (false discovery rate control, FDR) при множественных проверках статистических гипотез использовали поправку Беньямини-Йекутили.
Видоспецифичность изменения показателей. Вклад разных групп показателей сперматозоидов в различия между видами оценивали с помощью канонического дискриминантного анализа.
Структуру корреляций между разными показателями сперматозоидов оценивали методом главных компонент. Значения показателей, измеряемых в мультипликативной шкале (доля аномальных и подвижных клеток, прямолинейность (STR)), предварительно преобразовывали в аддитивную шкалу – логарифм шансов (LO – Log Odds или логит – logit).
Величину эффекта (effect size), т. е. оценку силы влияния загрязнения на параметр, рассчитывали с помощью отношения откликов (log Response Ratio) как натуральный логарифм отношения значения в импактной зоне к значению в фоновой зоне. Доверительный интервал оценивали с помощью функции LRR пакета SingleCaseES v. 0.7.2 [57].
РЕЗУЛЬТАТЫ
Встречаемость аномальных сперматозоидов
Частоты встречаемости дефектов головки и хвоста сперматозоидов не были связаны между собой (для рыжей полевки – R = 0.02, p = 0.88; красной полевки – R = –0.27, p = 0.06; малой лесной мыши – R = 0.07, p = 0.80), поэтому далее их анализировали независимо друг от друга.
Фактор “вид” существенно влиял на встречаемость аномальных клеток: для дефектов головки – χ2(1) Вальда = 21.6, для дефектов хвоста – χ2(1) Вальда = = 56.2 (p < 0.001). Шансы обнаружить дефекты головки у рыжей полевки были выше по сравнению с красной полевкой в 1.3 (95%-ный ДИ: 1.2–1.4) раза, по сравнению с малой лесной мышью – в 1.7 (1.3–2.0) раза. Шансы обнаружить дефекты хвоста наоборот были ниже у рыжей полевки по сравнению с красной в 1.2 (1.1–1.2) раза, а по сравнению с малой лесной мышью – в 1.4 (1.3–1.6) раза. Поскольку частота встречаемости аномальных сперматозоидов у разных видов существенно различалась, влияние факторов рассматривали отдельно для каждого вида.
Все факторы (район, зона загрязнения, группа) по-разному влияли на частоту аномальных клеток. В районе СУМЗа чаще встречались дефекты головки и хвоста у красной полевки, а в районе КМК – дефекты хвоста сперматозоидов у рыжей полевки (Приложение, табл. S2). На импактных участках доля всех дефектов у Cl. glareolus и доля дефектов хвоста у S. uralensis были выше, чем на фоновых участках. У Cl. rutilus частота дефектов головки была выше на фоновых участках (рис. 1, Приложение, табл. S2).
Рис. 1. Встречаемость аномальных сперматозоидов (среднее, 95%-ный ДИ) у грызунов с фоновых (белый маркер) и импактных (черный маркер) участков. Популяционные группы: m – половозрелые сеголетки, ow – перезимовавшие особи
Частота аномальных клеток в некоторых случаях различалась у грызунов разных популяционных групп. У половозрелых сеголеток рыжей полевки встречаемость дефектов хвоста была ниже, чем у перезимовавших животных. У Cl. rutilus дефекты головки чаще встречались у половозрелых сеголеток, а дефекты хвоста – у перезимовавших особей. У S. uralensis все виды патологий сперматозоидов чаще встречались у половозрелых сеголеток. У Cl. glareolus большинство обнаруженных эффектов оказались слабыми, поскольку отношение шансов близко к единице (см. Приложение, табл. S2). Другими словами, вероятность обнаружения аномальных сперматозоидов в связи с тем или иным фактором невысока.
У красной полевки и малой лесной мыши некоторые эффекты, связанные с дефектами головки, были выражены сильнее. Например, шансы обнаружить аномалии головки были в 2–3 раза выше в зависимости от “района” или “группы”. Однако даже при максимальном значении шансов (у S. uralensis вероятность обнаружения дефектов головок была в 3.3 раза больше у сеголеток, чем у перезимовавших особей) частота встречаемости дефектов головки у этого вида не превышала 3.5% (см. рис. 1).
Подвижность сперматозоидов
Из-за обнаруженной видоспецифичности показателей подвижности сперматозоидов (Приложение, табл. S3) их анализировали отдельно для каждого вида. У Cl. glareolus на первые две главные компоненты (PC1 и PC2) изменчивости показателей подвижности сперматозоидов приходилось 84.2% общей дисперсии, у Cl. rutilus – 84.4%, у S. uralensis – 92.1% (Приложение, табл. S4). В первую главную компоненту у всех трех видов основной вклад вносили показатели, характеризующие скорость сперматозоидов, во вторую – направленность движения. Для дальнейшего анализа выбрали два хорошо интерпретируемых показателя с высокими факторными нагрузками, не коррелирующие между собой: VCL (вносит достоверный вклад в PC1) и STR (вносит достоверный вклад в PC2). Также анализировали долю подвижных клеток (Motile).
Принадлежность к той или иной популяционной группе не влияла на показатели подвижности сперматозоидов: для Cl. glareolus – | t | = 0.82–1.65, p = 0.103–0.417; для Cl. rutilus – | t | = 0.47–1.30, p = =0.200–0.637; для S. uralensis – | t | = 0.13–1.70, p = =0.108–0.900. Фактор “район” также не влиял на показатели подвижности сперматозоидов грызунов: для Cl. glareolus – | t | = 0.31–1.27, p = 0.209–0.756; для Cl. rutilus – | t | = 0.32–0.56, p = 0.575–0.752; для S. uralensis – | t | = 0.61–1.58, p = 0.133–0.548. Поскольку влияние этих факторов оказалось несущественным, для дальнейшего анализа животные разных групп и из разных районов были объединены.
Влияние зоны загрязнения на Motile и VCL у рыжей полевки оказалось значимым: на импактных участках доля подвижных клеток и их скорость оказались ниже, чем на фоновых (| t |Motile = 2.60, p = 0.011; | t |VCL = 2.43, p = 0.018) (рис. 2). Однако фактор “зона загрязнения” объяснял только 9% общей дисперсии для Motile и 8% – для VCL. У красной полевки и малой лесной мыши оба показателя не различались между зонами: для Cl. rutilus – | t |Motile = = 0.21, p = 0.837; | t |VCL = 1,87, p = 0.067); для S. uralensis – | t |Motile = 0.29, p = 0.772; | t |VCL = 0.92, p = 0.373.
Рис. 2. Доля подвижных сперматозоидов (Motile) и скорость движения сперматозоидов по кривой (VCL) у грызунов с фоновых (без заливки) и импактных (серая заливка) участков: горизонтальная черта – медиана, границы ящика – межквартильный размах, усы – минимальное и максимальное значения, не превышающие 1.5 межквартильных размаха, точка – выброс; * – различия статистически значимы (p < 0.05)
Показатель направленности движения (STR) сперматозоидов у всех видов не различался между зонами: для Cl. glareolus – | t | = 0.60, p = 0.548; для Cl. rutilus – | t | = 0.76, p = 0.451; для S. uralensis – | t | = =1.21, p = 0.242. Также у рыжей полевки на импактных участках была выше изменчивость показателя Motile (CVBg = 14.85; CVIm = 25.18; FMotile (27, 42) = =2.26, p = 0.017) – только здесь встречались особи с крайне низкими показателями подвижности сперматозоидов (см. рис. 2). У малой лесной мыши, наоборот, изменчивость показателя Motile оказалась выше у животных на фоновых участках: CVBg = 63.81; CVIm = 32.81; FMotile (9, 7) = 4.34, p = 0.045.
Концентрация сперматозоидов
Значения концентраций при ручном и автоматическом измерении коррелировали между собой (r = 0.63, p < 0.05). Концентрации сперматозоидов в DMEM и эпидидимальной жидкости у Cl. glareolus и Cl. rutilus не различались, при этом у обоих видов полевок концентрация клеток была почти в 5 раз выше, чем у S. uralensis. Общее количество сперматозоидов в эпидидимисе различалось у разных видов (Приложение, табл. S5).
Показатели концентрации эпидидимальных сперматозоидов грызунов (как и показатели подвижности) не зависели от принадлежности к той или иной группе и района: для Cl. glareolus – | t |группа = 0.56, p = 0.579, | t |район = 0.25, p = 0.803; для Cl. rutilus – | t |группа = 0.40, p = 0.694, | t |район = 1.17, p = 0.246; для S. uralensis – | t |группа = 0.55, p = 0.592, | t |район = =1.24, p = 0.232.
Поскольку различия между районами и группами оказались незначимыми, далее выборки объединили. У всех трех видов влияние зоны загрязнения также оказалось незначимым: для Cl. glareolus – | t | = 0.37, p = 0.711; для Cl. rutilus – | t | = 0.68, p = 0.497; для S. uralensis – | t | = 0.48, p = 0.638. Несмотря на то, что статистически значимых эффектов, связанных с зоной загрязнения, не обнаружено, у обоих видов полевок самые низкие значения концентрации сперматозоидов встречались на импактных участках. Кроме того, у красной полевки изменчивость показателей концентрации на импактных участках была выше, чем на фоновых: CVBg = 30.03, CVIm = 49.83; F (37, 13) = 3.37, p = 0.022 (рис. 3).
Рис. 3. Концентрация эпидидимальных сперматозоидов грызунов с фоновых (без заливки) и импактных (серая заливка) участков. Остальные обозначения см. на рис. 2
Связь показателей сперматозоидов с индивидуальной токсической нагрузкой
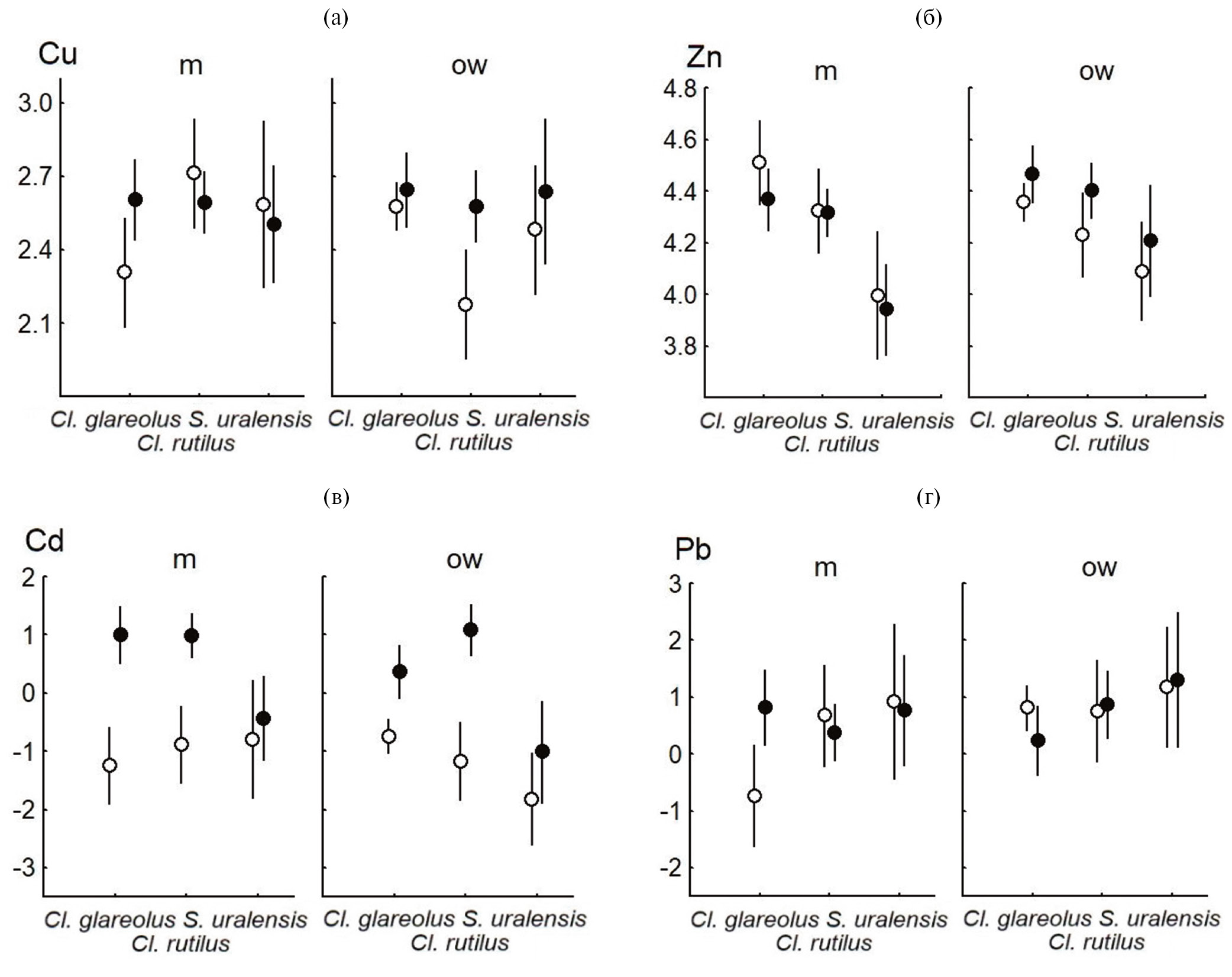
Исследуемые факторы по-разному влияли на накопление металлов грызунами (рис. 4, Приложение, табл. S6). Влияние популяционной группы на накопление металлов оказалось незначимым (Приложение, табл. S7), поэтому для анализа других источников изменчивости сеголеток и перезимовавших особей объединили. Фактор “район” влиял на накопление всех элементов, кроме Cu: возле СУМЗа грызуны накапливали больше Cd, возле КМК – Zn и Pb (табл. 2). Зона загрязнения влияла только на накопление Cd: у животных на импактных участках концентрации этого элемента были выше, чем на фоновых. Обнаружены видовые различия и в накоплении Cd (Cl. rutilus > Cl. glareolus > S. uralensis) и Zn (Cl. rutilus > S. uralensis): полевки накапливали металлов больше, чем малая лесная мышь.
Рис. 4. Концентрации (мкг/г) Cu, Zn, Cd и Pb в печени (среднее, 95%-ный ДИ, значения логарифмированы) грызунов с фоновых (белый маркер) и импактных (черный маркер) участков; популяционные группы: m – половозрелые сеголетки, ow – перезимовавшие особи
Таблица 2. Результаты ANOVA накопления металлов в печени грызунов
Элемент | Источник изменчивости | MS | df | F | p ≤ |
Cu | Район | 0.04 | 1 | 0.51 | 0.4752 |
Зона загрязнения | 0.12 | 1 | 1.40 | 0.2388 | |
Вид | 0.02 | 2 | 0.29 | 0.7478 | |
Zn | Район | 0.34 | 1 | 7.83 | 0.0059 |
Зона загрязнения | 0.04 | 1 | 0.96 | 0.3299 | |
Вид | 0.81 | 2 | 18.72 | 0.0001b, c | |
Cd | Район | 9.18 | 1 | 12.18 | 0.0007 |
Зона загрязнения | 28.91 | 1 | 38.36 | 0.0001 | |
Вид | 8.85 | 2 | 11.74 | 0.0001a, b, c | |
Pb | Район | 9.20 | 1 | 6.49 | 0.0120 |
Зона загрязнения | 0.30 | 1 | 0.21 | 0.6441 | |
Вид | 1.63 | 2 | 1.15 | 0.3192 |
Примечание. Заглавными буквами обозначены различия (тест Тьюки, p < 0.05; df = 109) между: a – Cl. glareolus и Cl. rutilus, b – Cl. glareolus и S. uralensis, c – Cl. rutilus и S. uralensis; полужирным шрифтом выделены значения p < 0.05.
Ни у одного из видов показатели сперматозоидов не были связаны с индивидуальной токсической нагрузкой (Приложение, табл. S8). Обнаруженные слабые отрицательные связи между некоторыми параметрами и концентрациями металлов были нивелированы поправкой для множественного тестирования статистических гипотез.
Видоспецифичность показателей сперматозоидов
Виды существенно различались по показателям подвижности (скорость и прямолинейность движения, доля подвижных клеток) и концентрации сперматозоидов, но доля клеток с дефектами головки и хвоста оказалась незначима для их дифференциации (Приложение, табл. S9).
В первую каноническую функцию (КДФ 1, объясняет 91.6% дисперсии) наибольший вклад вносила концентрация, прямолинейность движения (STR) и доля подвижных клеток (Motile), во вторую (КДФ 2, объясняет 8.6% дисперсии) – скорость движения сперматозоидов (VCL). Различия сперматозоидов ожидаемо были максимальными между полевками и малой лесной мышью, минимальными – между видами полевок (рис. 5, Приложение, табл. S10).
Рис. 5. Распределение особей трех видов грызунов по показателям сперматозоидов (доля клеток с дефектами головки и хвоста, STR, Motile, VCL, концентрация клеток) в пространстве двух канонических дискриминантных функций (КДФ 1, КДФ 2); эллипсы – 95%-ный ДИ
Структура корреляций между параметрами сперматозоидов
В деталях структура корреляций между параметрами сперматозоидов у каждого из видов различалась, однако у всех грызунов наиболее связанными между собой оказались показатели подвижности и концентрации клеток (табл. 3): так, у Cl. glareolus основной вклад в изменчивость вносили концентрация и прямолинейность движения клеток (ГК 1); у Cl. rutilus, кроме этих показателей (которые также входили в ГК 1), максимальный вклад вносила доля подвижных клеток (ГК 2); у S. uralensis основной вклад в изменчивость вносили показатели движения клеток (VCL, STR; ГК 1) и доля клеток с дефектами хвоста (ГК 2).
Таблица 3. Структура корреляций между показателями сперматозоидов грызунов (результаты анализа главных компонент)
Показатель | Cl. glareolus, n = 71 | Cl. rutilus, n = 52 | S. uralensis, n = 18 | |||
ГК 1 | ГК 2 | ГК 1 | ГК 2 | ГК 1 | ГК 2 | |
Доля клеток с дефектами головки | – 0.19 | – 0.40 | 0.04 | – 0.65 | –0.62 | 0.37 |
Доля клеток с дефектами хвоста | – 0.46 | – 0.25 | – 0.24 | 0.16 | –0.15 | 0.83 |
Скорость движения клеток (VCL) | 0.57 | 0.55 | 0.42 | – 0.49 | – 0.78 | 0.30 |
Прямолинейность движения клеток (STR) | – 0.88 | 0.35 | – 0.89 | – 0.23 | – 0.72 | – 0.42 |
Доля подвижных клеток (Motile) | 0.57 | 0.30 | 0.16 | – 0.72 | – 0.61 | – 0.25 |
Концентрация клеток | 0.72 | – 0.62 | 0.90 | 0.20 | 0.31 | 0.41 |
Примечание. Максимальные (> 70%) факторные нагрузки на главные компоненты (ГК 1, ГК 2) выделены полужирным шрифтом.
Некоторые показатели сперматозоидов были одинаково связаны у разных видов, другие – нет. У обоих видов полевок доля подвижных сперматозоидов (Motile) положительно коррелировала со скоростью движения (VCL, r = 0.3–0.4), а их концентрация – отрицательно с прямолинейностью движения (STR, r = – 0.8 … –0.4) (рис. 6).
Рис. 6. Связь прямолинейности движения (STR) сперматозоидов и их концентрации; эллипсы – 95%-ный ДИ
Хотя сильной связи между долей подвижных (Motile) и долей клеток с дефектами хвоста не обнаружено, эти два показателя оказались разнонаправлены: у всех видов грызунов при увеличении доли аномальных клеток доля подвижных клеток уменьшалась. Только у одного вида, Cl. glareolus, была обнаружена согласованность реакции на загрязнение между всеми показателями сперматозоидов: одновременное увеличение доли аномальных клеток, уменьшение доли подвижных клеток и их скорости на импактных участках (см. Приложение, рис. S3). Однако, несмотря на статистическую значимость, все обнаруженные эффекты были слабыми и объясняли только 2.9–9.0% от общей дисперсии.
Величины эффекта
Только для одного вида – рыжей полевки – доверительные интервалы величин эффекта (разницы между логарифмами значений с импактных и фоновых участков) не включают ноль, т. е. их можно считать статистически значимыми. Из показателей сперматозоидов величины эффекта статистически значимы только для скорости движения (VCL) и доли подвижных клеток (Motile), но они намного меньше по сравнению с величиной эффекта для накопления Cd и обилия (рис. 7). Доверительные интервалы для остальных параметров сперматозоидов включают ноль, хотя сами по себе величины эффектов принимают ненулевые значения. Все рассмотренные параметры у рыжей полевки меняются согласованно: с увеличением токсической нагрузки (концентрация Cd в печени животных) уменьшаются численность животных, доля подвижных сперматозоидов и их скорость, но аномальных клеток становится больше.
Рис. 7. Величина эффекта (95%-ный ДИ) для показателей сперматозоидов, концентрации Cd в печени и численности грызунов
ОБСУЖДЕНИЕ РЕЗУЛЬТАТОВ
Влияние химического загрязнения на встречаемость аномальных сперматозоидов
Исследование морфологии сперматозоидов, выполненное на новых выборках, подтвердило ранее сделанные выводы о различии частот встречаемости клеток с дефектами головки и хвоста [32]. Если дефекты хвоста всегда можно обнаружить среди эпидидимальных сперматозоидов грызунов, то дефекты головки встречаются реже или могут отсутствовать. При этом они не связаны между собой, а различающиеся частоты встречаемости и разная реакция на исследуемые факторы поддерживают мнение о различных причинах их возникновения [58].
Нарушения структуры сперматозоидов свидетельствуют о снижении их оплодотворяющей способности, поэтому неслучайно влияние экологических факторов чаще исследуют применительно к крайним и поэтому хорошо различимым вариантам морфологической изменчивости сперматозоидов – аномалиям [29, 59, 60]. Существует несколько классификаций аномальных форм сперматозоидов, в том числе и для грызунов [50, 61–63]. Мы использовали огрубленный вариант классификации (без детализации дефектов) и рассматривали только две группы аномалий (дефекты головки и хвоста), что при необходимости позволяет сравнивать наши результаты с материалами других авторов.
Ранее мы подробно рассмотрели дискуссионные вопросы о значении морфологических показателей для оценки потенциальной фертильности, а также о влиянии химического загрязнения на структурные показатели [32]. Несмотря на скепсис относительно прогностической ценности морфологических признаков сперматозоидов (в репродуктологии он нашел отражение в снижении референтного значения доли нормальных сперматозоидов [64]), исследование структуры половых клеток остается важной частью оценки их качества. Кроме того, противоречивость и немногочисленность данных о влиянии химического загрязнения на морфологию сперматозоидов “диких” грызунов [6, 26, 27] обусловливают необходимость продолжения натурных и экспериментальных исследований этой группы животных.
Полученные в нашей работе результаты по изменчивости частот аномальных клеток согласуются с данными для других выборок грызунов с фоновых и импактных участков обоих районов [32, 65–67]. Хотя направленность эффектов не всегда совпадала (для зоны загрязнения и популяционной группы), сила эффектов всегда была на очень низком уровне: оценки отношения шансов во всех случаях были близки к единице. Таким образом, слабые различия и неполное совпадение частот аномальных сперматозоидов в разных выборках (т. е. у разных видов и популяционных групп) могут свидетельствовать о естественном уровне изменчивости этого показателя, а не о влиянии на него химического загрязнения.
Влияние химического загрязнения на подвижность сперматозоидов
Подвижность считают наиболее информативным параметром сперматозоидов [68], поскольку именно она определяет их функциональные свойства. Подробно методы измерения подвижности сперматозоидов (в том числе с помощью автоматических систем анализа), определение референтных показателей у полевок и сравнение полученных значений с данными других авторов были рассмотрены нами ранее [31].
Анализ подвижности, выполненный для трех видов, также показал видоспецифичность показателей сперматозоидов: большинство из них у малой лесной мыши существенно ниже, чем у полевок. Различия могут быть обусловлены особенностями сперматозоидов у представителей группы/секции Apodemus (включая Sylvaemus). Кроме очевидных различий, связанных с размерами клеток (размер акросомы, площадь головки и длина хвоста у S. uralensis больше, чем у полевок), к таким особенностям можно отнести способность клеток образовывать скопления (так называемые sperm-train). Эта способность может обеспечивать более надежный по сравнению с отдельными клетками путь к яйцеклетке. Однако связь между размерами клеток, образованием sperm-train и подвижностью остается дискуссионной [22, 69, 70].
Показатели подвижности сперматозоидов не зависели от района и популяционной группы. У двух видов (Cl. rutilus и S. uralensis) подвижность (Motile, VCL, STR) не различалась между популяциями, обитающими на фоновых и загрязненных участках. Однако у Cl. glareolus на сильно загрязненных участках доля подвижных клеток (Motile) и скорость сперматозоидов (VCL) были меньше по сравнению с фоновыми, но загрязнение объясняло лишь 9 и 8% их дисперсии соответственно. Другими словами, загрязнение влияло на подвижность сперматозоидов, но очень слабо.
Влияние химического загрязнения на концентрацию сперматозоидов
Определение концентрации сперматозоидов у человека и хозяйственно значимых животных – рутинная процедура, регламентируемая ВОЗ и различными национальными и международными руководствами [13, 71, 72]. Для лабораторных животных, в том числе грызунов, также разработаны регламенты, предполагающие иссечение и гомогенизацию придатков семенника [49, 73]. Однако поиск новых – оптимальных – методов определения концентрации клеток и связанных с ними методов отбора эякулированных или эпидидимальных сперматозоидов ведется до сих пор.
Используются разнообразные способы измерения концентрации (или абсолютного количества) сперматозоидов грызунов, из-за чего результаты разных исследований трудно или невозможно сравнить между собой [21, 26–28, 50, 74–76]. Предложенный нами метод позволяет исследовать одновременно показатели подвижности и концентрации сперматозоидов в нескольких повторностях, причем пробы из каудальной части эпидидимиса могут быть отобраны многократно.
Мы не выявили значимого влияния зоны загрязнения на концентрацию сперматозоидов. Это противоречит результатам некоторых токсикологических экспериментов, в которых была продемонстрирована классическая дозовая зависимость между уровнями токсикантов и концентрацией сперматозоидов. Так, у опытной группы Cl. glareolus из лабораторной колонии затравка сульфатом меди и хлоридом алюминия снижала концентрацию эпидидимальных сперматозоидов из-за уменьшения активности сперматогенного эпителия семенника (соответственно представленности разных типов клеток) [26, 27]. Цитируемые авторы предположили, что эффект связан с увеличением количества тестостерона (так называемой тестостероновой перегрузкой), поскольку этот гормон в больших количествах подавляет выработку сперматозоидов, а также тормозит секрецию участвующих в стероидогенезе гормонов гипоталамуса [77].
В противоположность этому L.V. Tannenbaum с соавт. [28, 29, 74, 78] не обнаружили различий в концентрации сперматозоидов грызунов, обитающих на фоновых и загрязненных территориях: значения ни разу не достигали “пороговых” уровней (снижения концентрации на 60–80%). В нашем исследовании этот показатель также оказался нечувствительным к регистрируемым уровням загрязнения.
Связь индивидуальной токсической нагрузки и показателей сперматозоидов
Данные об индивидуальных уровнях накопления тяжелых металлов в органах и тканях животных служат индикатором токсической нагрузки на организм [5, 79–81]. Для этих целей, как правило, исследуют органы преимущественного депонирования тяжелых металлов – печень, почки, кости посткраниального скелета. Мы исследовали концентрации биофильных (Cu и Zn) и токсичных (Cd и Pb) элементов в печени, поскольку ее относят к основным органам-мишеням для металлов [51, 52].
Многие исследователи [80–89] считают, что животные на загрязненных территориях накапливают больше токсикантов, чем на фоновых, а концентрации токсикантов выше у взрослых животных, чем у молодых. Кроме того, разные виды (надвидовые таксоны) накапливают токсиканты неодинаково: более низкие концентрации элементов у мышей по сравнению с полевками объясняют особенностями их биологии – преимущественным питанием семенами, максимально защищенными от поступления избыточного количества металлов, большей подвижностью и др. [90].
Полученные нами данные не во всем подтвердили известные закономерности накопления металлов мелкими млекопитающими. За исключением единственного элемента (Cd) не были обнаружены связи концентрации элементов в организме с зоной загрязнения и возрастом животных. В противоположность ожидаемому отсутствовала зависимость показателей сперматозоидов от концентраций металлов в организме.
Причины отсутствия или слабости индивидуальных токсических эффектов неоднократно обсуждались. К ним относят различное поведение эссенциальных и токсичных элементов в организме (включая их синергетические или антагонистические взаимодействия), высокую индивидуальную изменчивость и специфичность аккумуляции элементов разными популяционными группами, недостаточно высокие уровни регистрируемого загрязнения и/или его мозаичность [5, 28, 29, 91–95].
Обнаруженные различия между районами (в районе СУМЗа грызуны больше накапливают Cd, в районе КМК – Zn и Pb) хорошо иллюстрируют полиэтиологический характер накопления тяжелых металлов в организме. Эти различия могут быть объяснены особенностями географического положения источников загрязнения, технологических циклов производства, систем очистки выбросов, составом руды и т. д. Например, район КМК отличает от СУМЗа более сложная орография (определяет высокую мозаичность распределения загрязнителей) и менее резкое снижение валовых выбросов после реконструкции предприятия (см. Приложение, рис. S1).
Видоспецифичность реакции сперматозоидов на загрязнение
Большинство показателей сперматозоидов оказались видоспецифичны, даже при рассмотрении близкородственных Cl. glareolus и Cl. rutilus. По-видимому, это отражает различные репродуктивные стратегии видов. Результаты анализа структуры связей между предикторами и зависимыми переменными (см. Приложение, табл. S7) подтверждают существенные межвидовые различия сперматозоидов грызунов, обнаруженные при тестировании отдельных групп показателей (морфологии, подвижности, концентрации).
Реакция сперматозоидов на загрязнение также оказалась видоспецифичной: сильнее реагировали полевки по сравнению с малой лесной мышью. Выраженность обнаруженных эффектов (для подвижности сперматозоидов) уменьшалась в ряду Cl. glareolus > Cl. rutilus > S. uralensis. К сожалению, нельзя исключить, что менее выраженные эффекты (или их отсутствие) у Cl. rutilus и S. uralensis могут быть обусловлены небольшими размерами выборок для этих видов. Тем не менее крайне низкие концентрации металлов в печени у S. uralensis на импактных участках корреспондируются с отсутствием влияния интоксикации организма тяжелыми металлами на показатели сперматозоидов.
Структура корреляций между разными показателями сперматозоидов и величины эффекта
Один из ключевых вопросов нашей работы – анализ согласованности изменений между группами показателей сперматозоидов. Многие авторы исследовали одновременно несколько показателей сперматозоидов [26–29, 60, 96], однако общих закономерностей относительно направленности изменений показателей под действием разных факторов пока не выявлено. Выполненный нами анализ структуры корреляций между параметрами сперматозоидов показал, что наиболее связанными между собой оказались подвижность и концентрация клеток. Хотя изменчивость морфологических показателей была статистически незначима, доля аномальных клеток и показатели подвижности изменялись на импактных участках однонаправленно – в сторону ухудшения качества сперматозоидов. Такая согласованность реакции на химическое загрязнение может приводить к суммации многих слабых эффектов, что делает итоговый популяционный эффект существенным.
Важно подчеркнуть, что изучение качества сперматозоидов необходимо для оценки потенциальной фертильности самцов, но недостаточно для определения их реальной оплодотворяющей способности [97, 98]. Невозможно точно определить оптимальное качество сперматозоидов для наступления беременности, числа плодов или уровня выживаемости потомства, поскольку после образования зиготы действует комплекс факторов, связанный не только с качеством сперматозоидов.
Использование величин эффекта позволило наглядно сравнить разноразмерные сущности, выразив их в единой шкале. Величины эффекта для показателей сперматозоидов оказались существенно меньше по сравнению с численностью грызунов – результирующей оценкой популяционного воспроизводства (см. рис. 7). С другой стороны, однонаправленность этих эффектов (на импактных участках ниже численность и подвижность сперматозоидов) можно рассматривать как косвенное свидетельство существования связи между качеством сперматозоидов и итоговой популяционной численностью. В определенной степени это позволяет приблизиться к оценке реализованной плодовитости самцов.
В дискуссии о чувствительности показателей сперматозоидов к токсической нагрузке наши результаты могут быть расценены как противоречивые: с одной стороны, половые клетки реагируют на химическое загрязнение, но с другой – реакция на него слабая (см. рис. 7). Слабость эффектов загрязнения можно объяснить наличием эволюционно сложившихся гомеостатических барьеров, в первую очередь гематотестикулярного, надежно защищающих репродуктивную функцию животных [99, 100]. К причинам слабости эффектов можно также отнести пространственную мозаичность токсической нагрузки и подвижность грызунов, которая позволяет избегать неблагоприятных местообитаний. Кроме того, нельзя исключить, что исследованный уровень загрязнения был недостаточен для существенного сдвига репродуктивных показателей. Это обусловливает необходимость верификации наших выводов для воздействия других источников промышленного загрязнения. В любом случае наши результаты добавляют аргументов тем исследователям, кто считает сперматозоиды “неуязвимыми” для токсического воздействия [1, 28, 29], а не декларирующим высокую чувствительность половых клеток [26, 27].
ЗАКЛЮЧЕНИЕ
В настоящей работе мы впервые сравнили для нескольких видов грызунов (Cl. glareolus, Cl. rutilus, S. uralensis), обитающих на участках с контрастными уровнями химического загрязнения от промышленных выбросов, информативность различных показателей эпидидимальных сперматозоидов. Оказалось, что загрязнение ухудшает качество сперматозоидов грызунов из природных популяций, однако реакция на загрязнение слабая. Поэтому ни один из исследованных показателей сперматозоидов не может быть надежным маркером промышленного загрязнения, по крайней мере для исследуемых уровней загрязнения металлами.
Несущественные различия между районами СУМЗа и КМК в большинстве тестов могут свидетельствовать о сходстве воздействия двух источников загрязнения и выявлении закономерностей, которые не связаны со спецификой выбросов конкретного предприятия. Показатели морфологии, подвижности и концентрации эпидидимальных сперматозоидов у изученных грызунов также не зависят от варианта онтогенеза и достигают дефинитивных значений у половозрелых сеголеток и перезимовавших особей; следовательно, потенциальный вклад самцов этих групп в воспроизводство популяции можно считать равноценным.
Наши предположения о разной чувствительности показателей сперматозоидов и видоспецифичности их реакции на загрязнение подтвердились. Подвижность сперматозоидов оказалась более чувствительной к загрязнению по сравнению с морфологией, что согласуется с представлениями о консервативности клеточных структур. В то же время обнаруженная реакция, хотя и слабая, подвижности сперматозоидов на загрязнение позволяет в перспективе исследовать и другие важные функциональные характеристики (например, уровень апоптоза, содержание экстра- и интраклеточных нуклеиновых кислот).
Реакция сперматозоидов на загрязнение оказалась видоспецифичной: сильнее реагировали полевки по сравнению с малой лесной мышью. Этот результат свидетельствует о рискованности экстраполяции результатов с одного вида на другой и важности включения в экотоксикологические исследования разных видов.
1 Дополнительная информация для этой статьи доступна по doi 10.31857/S0367059724030043 для авторизованных пользователей.
ФИНАНСИРОВАНИЕ
В 2019–2021 гг. работа была поддержана Российским фондом фундаментальных исследований (проект № 19-34-90004). Подготовка рукописи завершена при поддержке государственного контракта (№ 122021000076-9) Института экологии растений и животных Уральского отделения РАН.
БЛАГОДАРНОСТИ
Авторы выражают благодарность Е.Л. Воробейчику за обсуждение результатов работы, И.А. Кшнясеву и А.Н. Созонтову – за консультации по статистической обработке данных, ведущему инженеру Э.Х. Ахуновой – за измерение концентраций металлов. Авторы признательны анонимным рецензентам за ценные замечания, С.В. Мухачевой, А.Н. Созонтову, Т.Н. Орехову за помощь в сборе материала.
СОБЛЮДЕНИЕ ЭТИЧЕСКИХ СТАНДАРТОВ
Все процедуры, выполняемые при работе с животными, соответствовали этическим нормам Института экологии растений и животных РАН (Протокол № 4 от 26.01.2021).
КОНФЛИКТ ИНТЕРЕСОВ
Авторы данной работы заявляют, что у них нет конфликта интересов.
About the authors
G. Yu. Smirnov
Institute of Plant and Animal Ecology, Ural Branch, Russian Academy of Sciences
Author for correspondence.
Email: smirnov_gy@ipae.uran.ru
Russian Federation, Ekaterinburg
Yu. A. Davydova
Institute of Plant and Animal Ecology, Ural Branch, Russian Academy of Sciences
Email: smirnov_gy@ipae.uran.ru
Russian Federation, Ekaterinburg
References
- Llobet J.M., Colomina M.T., Sirvent J.J. et al. Reproductive toxicology of aluminum in male mice // Fundamental and Applied Toxicology. 1995. V. 25. № 1. P. 45–51.
- Мухачева С.В. Воспроизводство населения рыжей полевки в градиенте техногенного загрязнения среды // Зоол. журнал. 2001. T. 80. № 12. C. 1509–1517.
- Мухачева С.В. Многолетняя динамика показателей репродукции рыжей полевки в период сокращения промышленных выбросов // Принципы экологии. 2016. № 3. C. 102–102.
- Damek-Poprawa M., Sawicka-Kapusta K. Damage to the liver, kidney, and testis with reference to burden of heavy metals in yellow-necked mice from areas around steelworks and zinc smelters in Poland // Toxicology. 2003. V. 186. № 1–2. P. 1–10.
- Damek-Poprawa M., Sawicka-Kapusta K. Histopathological changes in the liver, kidneys, and testes of bank voles environmentally exposed to heavy metal emissions from the steelworks and zinc smelter in Poland // Environmental Research. 2004. V. 96. № 1. P. 72–78.
- Ieradi L.A., Zima J., Allegra F. et al. Evaluation of genotoxic damage in wild rodens from a polluted area in the Czech Republic // Folia Zoologica. 2003. V. 52. № 1. P. 57–66.
- Безель В.С. Экологическая токсикология: популяционный и биоценотический аспекты. Екатеринбург: Гощицкий, 2006. 280 с.
- Ивантер Э.В., Медведев Н.В. Экологическая токсикология природных популяций птиц и млекопитающих Севера. М.: Наука, 2007. 229 с.
- Amuno S., Niyogi S., Amuno M., Attitaq J. Heavy metal bioaccumulation and histopathological alterations in wild Arctic hares (Lepus arcticus) inhabiting a former lead-zinc mine in the Canadian high Arctic: a preliminary study // Science of the Total Environment. 2016. V. 556. P. 252–263.
- Амбарян А.В., Мальцев А.Н., Котенкова Е.В. Взаимосвязь характеристик полового поведения и показателей конкурентоспособности спермы самцов у таксонов надвидового комплекса Mus musculus sensu lato // Журнал общ. биол. 2015. T. 76. № 3. C. 212–224.
- Потапова О.Ф., Потапов М.А., Кондратюк Е.Ю., Евсиков В.И. Динамика тестостерона у самцов степной пеструшки Lagurus lagurus в ходе размножения отражает видовую систему брачных отношений // Доклады РАН. 2016. T. 468. № 6. C. 716–718.
- WHO laboratory manual for the examination and processing of human semen. 6th ed. Geneva: World Health Organization, 2021. 276 p.
- International Organization for Standardization ISO 23162: 2021 Basic semen examination – Specification and test methods. URL: https://www.iso.org/ru/standard/74800.html (дата обращения: 01.12.2023).
- Wadi S.A., Ahmad G. Effects of lead on the male reproductive system in mice // J. of Toxicology and Environmental Health. Part A. 1999. V. 56. № 7. P. 513–521.
- Pichardo-Matamoros D., Sevilla F., Elizondo-Salazar J. et al. Exploration of semen quality analyzed by casa-mot systems of brahman bulls infected with BLV and BHV-1 // Scientific Reports. 2023. V. 13. № 1. P. 18659.
- Hughes R.L. Comparative morphology of spermatozoa from five marsupial families // Australian J. of Zoology. 1965. V. 13. № 4. P. 533–544.
- Malo A.F., Gomendio M., Garde J. et al. Sperm design and sperm function // Biology Letters. 2006. V. 2. № 2. P. 246–249.
- Gizejewski Z., Szafranska B., Steplewski Z. et al. Cottonseed feeding delivers sufficient quantities of gossypol as a male deer contraceptive // European J. of Wildlife Research. 2008. V. 54. № 3. P. 469–477.
- Wolf K.N., Wildt D.E., Vargas A. et al. Age-dependent changes in sperm production, semen quality, and testicular volume in the black-footed ferret (Mustela nigripes) // Biology of Reproduction. 2000. V. 63. № 1. P. 179–187.
- Bierla J.B., Gizejewski Z., Leigh C.M. et al. Sperm morphology of the Eurasian beaver, Castor fiber: an example of a species of rodent with highly derived and pleiomorphic sperm populations // J. of Morphology. 2007. V. 268. № 8. P. 683–689.
- Gómez Montoto L., Magaña C., Tourmente M. et al. Sperm competition, sperm numbers and sperm quality in muroid rodents // PLoS One. 2011. V. 6. № 3. Art. 18173.
- Tourmente M., Zarka‐Trigo D., Roldan E.R.S. Is the hook of muroid rodent’s sperm related to sperm train formation? // J. of Evolutionary Biology. 2016. V. 29. № 6. P. 1168–1177.
- Lakoski K.A., Carron C.P., Cabot C.L., Saling P.M. Epididymal maturation and the acrosome reaction in mouse sperm: response to zona pellucida develops coincident with modification of M42 antigen // Biology of Reproduction. 1988. V. 38. № 1. P. 221–233.
- Cooper T.G. Sperm maturation in the epididymis: a new look at an old problem // Asian J. of Andrology. 2007. V. 9. № 4. P. 533–539.
- Monteiro G.A., Papa F.O., Zahn F.S. et al. Cryopreservation and fertility of ejaculated and epididymal stallion sperm // Animal Reproduction Science. 2011. V. 127. № 3–4. P. 197–201.
- Miska-Schramm A., Kruczek M., Kapusta J. Effect of copper exposure on reproductive ability in the bank vole (Myodes glareolus) // Ecotoxicology. 2014. V. 23. № 8. P. 1546–1554.
- Miska-Schramm A., Kapusta J., Kruczek M. The effect of aluminum exposure on reproductive ability in the bank vole (Myodes glareolus) // Biological Trace Element Research. 2017. V. 177. № 1. P. 97–106.
- Tannenbaum L.V., Bazar M., Hawkins M.S. et al. Rodent sperm analysis in field-based ecological risk assessment: pilot study at Ravenna army ammunition plant, Ravenna, Ohio // Environmental Pollution. 2003. V. 123. № 1. P. 21–29.
- Tannenbaum L.V., Thran B.H., Williams K.J. Demonstrating ecological receptor health at contaminated sites with wild rodent sperm parameters // Archives of Environmental Contamination and Toxicology. 2007. V. 53. № 3. P. 459–465.
- Roldan E.R.S. Sperm competition and the evolution of sperm form and function in mammals // Reproduction in Domestic Animals. 2019. V. 54. P. 14–21.
- Смирнов Г.Ю. Подвижность сперматозоидов рыжей (Clethrionomys glareolus) и красной (Cl. rutilus) полевок в условиях промышленного загрязнения // Экология. 2022. № 1. C. 74–84. [Smirnov G.Yu. Sperm motility in bank (Clethrionomys glareolus) and northern red-backed voles (Cl. rutilus) exposed to industrial pollution// Russ. J. of Ecol. 2022. V. 53. № 1. P. 48–57.]
- Смирнов Г.Ю., Давыдова Ю.А. Влияние промышленного загрязнения среды обитания на встречаемость аномальных сперматозоидов у рыжей полевки (Myodes glareolus) // Экология. 2018. № 5. C. 403–408. [Smirnov G.Yu., Davydova Yu.A. Effect of industrial pollution of the environment on the frequency of abnormal spermatozoa in the bank vole, Myodes glareolus // Russ. J. of Ecol. 2018. V. 49. № 5. P. 459–463.]
- Оленев Г.В. Альтернативные типы онтогенеза цикломорфных грызунов и их роль в популяционной динамике (экологический анализ) // Экология. 2002. № 5. C. 341–350. [Olenev G.V. Alternative types of ontogeny in cyclomorphic rodents and their role in population dynamics: An ecological analysis // Russ. J. of Ecol. 2002. V. 33. № 5. P. 321–330.]
- Оленев Г.В. Определение возраста цикломорфных грызунов, функционально-онтогенетическая детерминированность, экологические аспекты // Экология. 2009. № 2. C. 103–115. [Olenev G.V. Determining the age of cyclomorphic rodents: Functionalontogenetic determination, ecological aspects // Russ. J. of Ecol. 2009. V. 40. № 2. P. 93–104.]
- Воробейчик Е.Л., Давыдова Ю.А., Кайгородова С.Ю., Мухачева С.В. Исследование мелких млекопитающих Висимского заповедника: вклад в популяционную экотоксикологию? // Результаты изучения природы Висимского биосферного заповедника: Науч. сб. ИЭРиЖ УрОРАН. Екатеринбург, 2006. C. 108–129.
- Воробейчик Е.Л., Пищулин П.Г. Промышленное загрязнение снижает роль деревьев в формировании структуры полей концентраций тяжелых металлов в лесной подстилке // Экология. 2016. № 5. C. 323–334. [Vorobeichik E.L., Pishchulin P.G. Industrial pollution reduces the effect of trees on forming the patterns of heavy metal concentration fields in forest litter // Russ. J. of Ecol. 2016. V. 47. № 5. P. 431–441.]
- Воробейчик Е.Л., Кайгородова С.Ю. Многолетняя динамика содержания тяжелых металлов в верхних горизонтах почв в районе воздействия медеплавильного завода в период сокращения объемов его выбросов // Почвоведение. 2017. № 8. C. 1009–1024. [Vorobeichik E.L., Kaigorodova S.Yu. Long-term dynamics of heavy metals in the upper horizons of soils in the region of a copper smelter impacts during the period of reduced emission // Eurasian Soil Science. 2017. V. 50. № 8. P. 977–990.]
- Korkina I.N., Vorobeichik E.L. Humus Index as an indicator of the topsoil response to the impacts of industrial pollution // Applied Soil Ecology. 2018. V. 123. P. 455–463.
- Kozlov M., Zvereva E., Zverev V. Impacts of point polluters on terrestrial biota: Comparative analysis of 18 contaminated areas. V. 15. Dordrecht: Springer Science & Business Media, 2009. 466 p.
- Мухачева С.В. Многолетняя динамика сообществ мелких млекопитающих в период снижения выбросов медеплавильного завода. 1. Состав, обилие и разнообразие // Экология. 2021. № 1. C. 66–76. [Mukhacheva S.V. Long-term dynamics of small mammal communities in the period of reduction of copper smelter emissions. 1. Composition, abundance, and diversity // Russ. J. of Ecol. 2021. V. 52. № 1. P. 84–93.]
- Воробейчик Е.Л., Трубина М.Р., Хантемирова Е.В., Бергман И.Е. Многолетняя динамика лесной растительности в период сокращения выбросов медеплавильного завода // Экология. 2014. № 6. C. 448–448. [Vorobeichik E.L., Trubina M.R., Khantemirova E.V., Bergman I.E. Long-term dynamic of forest vegetation after reduction of copper smelter emissions // Russ. J. of Ecol. 2014. V. 45. № 6. P. 498–507.]
- Трубина М.Р., Воробейчик Е.Л., Хантемирова Е.В. и др. Динамика лесной растительности после снижения промышленных выбросов: быстрое восстановление или продолжение деградации // Докл. РАН. 2014. T. 458. C. 721–725. [Trubina M.R., Vorobeichik E.L., Khantemirova E.V. et al. Dynamics of forest vegetation after the reduction of industrial emissions: Fast recovery or continued degradation? // Doklady Biological Sciences. 2014. V. 458. № 1. P. 302–305.]
- Kryštufek B., Tesakov A.S., Lebedev V.S. et al. Back to the future: the proper name for red-backed voles is Clethrionomys Tilesius and not Myodes Pallas // Mammalia. 2020. V. 84. № 2. P. 214–217.
- Павлинов И.Я., Хляп Л.А. Отряд Rodentia // Млекопитающие России: систематико-географический справочник / Сборник трудов Зоологического музея МГУ. М: КМК, 2012. T. 52. C. 142–312.
- Карасева Е.В., Телицина А.Ю. Методы изучения грызунов в полевых условиях. М.: Наука, 1996. 227 с.
- Колчева Н.Е. Динамика экологической структуры популяций лесной мыши на Южном Урале: Дис. … канд. биол. наук. Екатеринбург, 1992. 179 с.
- Кшнясев И.А., Давыдова Ю.А. Популяционные циклы и синдром Читти // Экология. 2021. № 1. C. 51–57. [Kshnyasev I.A., Davydova Yu.A. Population cycles and the Chitty syndrome // Russ. J. Ecol. 2021. V. 52. № 1. P. 70–75.]
- Мухачева С.В., Созонтов А.Н. Многолетняя динамика сообществ мелких млекопитающих в период снижения выбросов медеплавильного завода. II. Бета-разнообразие // Экология. 2021. № 6. C. 470–480. [Mukhacheva S.V., Sozontov A.N. Long-term dynamics of small mammal communities in the period of reduction of copper smelter emissions: 2. β-Diversity. // Russ. J. Ecol. 2021. V. 52. № 6. P. 533–542.]
- Tayama K., Fujita H., Takahashi H. et al. Measuring mouse sperm parameters using a particle counter and sperm quality analyzer: a simple and inexpensive method // Reproductive Toxicology. 2006. V. 22. № 1. P. 92–101.
- Kruczek M., Styrna J., Kapusta J. Reproductive capacity of male bank voles (Myodes glareolus Schreber, 1780)-age-dependent changes in functional activity of epididymal sperm // Belgian J. of Zoology. 2013. V. 143. № 2. P. 131–141.
- Hébert C.D., Elwell M.R., Travlos G.S. et al. Subchronic toxicity of cupric sulfate administered in drinking water and feed to rats and mice // Fundamental and Applied Toxicology. 1993. V. 21. № 4. P. 461–475.
- Aburto E.M., Cribb A., Fuentealba I.C. et al. The failure of selenium supplementation to prevent copper-induced liver damage in Fischer 344 rats // Canad. J. of Veterinary Research. 2001. V. 65. № 2. P. 104–110.
- StatSoft Inc. STATISTICA (data analysis software system), version 8.0. URL: http://statsoft.ru (дата обращения: 23.11.2023).
- Posit team. RStudio: Integrated Development Environment for R. PBC, Boston, MA: Posit Software. URL: http://www.posit.co/. 2023.
- R Core Team. R: A language and environment for statistical computing. R Foundation for Statistical Computing, Vienna, Austria. URL: https://www.R-project.org/. 2023.
- Wickham H. Ggplot2: elegant graphics for data analysis. New York: Springer-Verlag, 2016. 211 p.
- Pustejovsky J.E., Chen M., Swan D.M. SingleCaseES: A сalculator for Single-Case Effect Sizes. R package version 0.7.2. 2023.
- Pesch S., Bergmann M. Structure of mammalian spermatozoa in respect to viability, fertility and cryopreservation // Micron. 2006. V. 37. № 7. P. 597–612.
- Мамина В.П. Морфофункциональный анализ семенников и сперматозоидов в оценке репродуктивного успеха самцов рыжей полевки (Clethrionomys glareolus) // Изв. РАН. Серия биологич. 2012. № 5. C. 554–562.
- Kotula-Balak M., Grzmil P., Chojnacka K. et al. Do photoperiod and endocrine disruptor 4-tert-octylphenol effect on spermatozoa of bank vole (Clethrionomys glareolus)? // General and Comparative Endocrinology. 2014. V. 201. P. 21–29.
- Wyrobek A.J., Gordon L.A., Burkhart J.G. et al. An evaluation of the mouse sperm morphology test and other sperm tests in nonhuman mammals: A report of the US environmental protection agency gene-tox program // Mutation Research. 1983. V. 115. № 1. P. 1–72.
- Styrna J., Kilarski W., Krzanowska H. Influence of the CBA genetic background on sperm morphology and fertilization efficiency in mice with a partial Y chromosome deletion // Reproduction. 2003. V. 126. № 5. P. 579–588.
- Осадчук Л.В., Осадчук А.В. Генетическая изменчивость продукции и морфологии сперматозоидов у лабораторных мышей // Бюлл. эксперимент. биологии и медицины. 2010. T. 149. № 6. C. 678–681.
- Menkveld R. Clinical significance of the low normal sperm morphology value as proposed in the fifth edition of the WHO Laboratory Manual for the Examination and Processing of Human Semen // Asian J. of Andrology. 2010. V. 12. № 1. P. 47–58.
- Смирнов Г.Ю. Качественная оценка морфологии сперматозоидов рыжей полевки Myodes glareolus Schreber в условиях промышленного загрязнения // Экология: факты, гипотезы, модели: Мат-лы конф. молодых ученых (27–31 марта 2017 г.). Екатеринбург: ИД “Лисица”, 2017. C. 119–123.
- Смирнов Г.Ю. Встречаемость аномальных сперматозоидов у грызунов в районах двух медеплавильных заводов // Морфология. 2020. T. 157. № 2. C. 197.
- Смирнов Г.Ю., Давыдова Ю.А. Онтогенетические изменения морфологии сперматозоидов рыжей полевки (Clethrionomys glareolus) // Экология. 2020. № 2. C. 156–159. [Smirnov G.Yu., Davydova Yu.A. Ontogenetic сhanges in bank vole (Clethrionomys glareolus) sperm morphology // Russ. J. of Ecol. 2020. V. 51. № 2. P. 195–198.]
- Amann R.P., Waberski D. Computer-assisted sperm analysis (CASA): capabilities and potential developments // Theriogenology. 2014. V. 81. № 1. P. 5–17.
- Dvorakova K., Stopka P. Sperm trains and mating behaviour in wood mice of the genus Apodemus // Reproduction Fertility and Development. 2004. V. 16. P. 260.
- Gómez Montoto L., Sánchez M.V., Tourmente M. et al. Sperm competition differentially affects swimming velocity and size of spermatozoa from closely related muroid rodents: head first // Reproduction. 2011. V. 142. № 6. P. 819–830.
- Björndahl L., Mortimer D., Barratt C.L.R. et al. A practical guide to basic laboratory andrology. Cambridge: Cambridge University Press, 2010. 336 p.
- Chenoweth P.J., Lorton S. Animal andrology: theories and applications. Wallingford: Cabi, 2014. 568 p.
- Behringer R., Gertsenstein M., Nagy K.V., Nagy A. Manipulating the mouse embryo: a laboratory manual. New York: Cold Spring Harbor Laboratory Press, 2014. 814 p.
- Tannenbaum L.V., Thran B.H., Willams K.J. Testing the limits of rodent sperm analysis: azoospermia in an otherwise healthy wild rodent population // Archives of Environmental Contamination and Toxicology. 2009. Art. 64.
- Tourmente M., Villar-Moya P., Varea-Sánchez M. et al. Performance of rodent spermatozoa over time is enhanced by increased ATP concentrations: the role of sperm competition // Biology of Reproduction. 2015. V. 93. № 3. Art. 64.
- Chen X., Hou X., Feng T. et al. Anti‐fertility effect of levonorgestrel and/or quinestrol on striped field mouse (Apodemus agrarius): evidence from both laboratory and field experiments // Integrative Zoology. 2021. V. 17. № 6. P. 1041–1052.
- Matsumoto A.M., Karpas A.E., Bremner W.J. Chronic human chorionic gonadotropin admininstration in normal men: evidence that follicle-stimulating hormone is necessary for the maintenance of quatitatively normal spermatogenesis in man // The J. of Clinical Endocrinology and Metabolism. 1986. V. 62. № 6. P. 1184–1192.
- Tannenbaum L.V., Beasley J.C. Validating mammalian resistance to stressor-mediated reproductive impact using rodent sperm analysis // Ecotoxicology. 2016. V. 25. № 3. P. 584–593.
- Sánchez-Chardi A., Peñarroja-Matutano C., Borrás M., Nadal J. Bioaccumulation of metals and effects of a landfill in small mammals. Part III: Structural alterations // Environmental research. 2009. V. 109. № 8. P. 960–967.
- Sánchez-Chardi A., Ribeiro C.A.O., Nadal J. Metals in liver and kidneys and the effects of chronic exposure to pyrite mine pollution in the shrew Crocidura russula inhabiting the protected wetland of Doñana // Chemosphere. 2009. V. 76. № 3. P. 387–394.
- Tête N., Durfort M., Rieffel D. et al. Histopathology related to cadmium and lead bioaccumulation in chronically exposed wood mice, Apodemus sylvaticus, around a former smelter // Science of the Total Environment. 2014. V. 481. P. 167–177.
- Talmage S.S., Walton B.T. Small mammals as monitors of environmental contaminants // Reviews of Environmental Contamination and Toxicology. 1991. № 119. P. 47–145.
- Pankakoski E., Koivisto I., Hyvärinen H., Terhivuo J. Shrews as indicators of heavy metal pollution // Advances in the biology of shrews. Pittsburgh, Pennsylvania: Carnegie Museum of Natural History, 1994. V. 18. P. 136–147.
- Pereira R., Pereira M.L., Ribeiro R., Gonçalves F. Tissues and hair residues and histopathology in wild rats (Rattus rattus L.) and Algerian mice (Mus spretus Lataste) from an abandoned mine area (Southeast Portugal) // Environmental Pollution. 2006. V. 139. № 3. P. 561–575.
- Beernaert J., Scheirs J., Leirs H. et al. Non-destructive pollution exposure assessment by means of wood mice hair // Environmental Pollution. 2007. V. 145. № 2. P. 443–451.
- Rogival D., Scheirs J., Blust R. Transfer and accumulation of metals in a soil–diet–wood mouse food chain along a metal pollution gradient // Environmental Pollution. 2007. V. 145. № 2. P. 516–528.
- Wijnhoven S., Leuven R.S.E.W., van der Velde G. et al. Heavy-metal concentrations in small mammals from a diffusely polluted floodplain: importance of species- and location-specific characteristics // Archives of Environmental Contamination and Toxicology. 2007. V. 52. № 4. P. 603–613.
- Levengood J.M., Heske E.J. Heavy metal exposure, reproductive activity, and demographic patterns in white-footed mice (Peromyscus leucopus) inhabiting a contaminated floodplain wetland // Science of the Total Environment. 2008. V. 389. № 2–3. P. 320–328.
- Безель В.С., Мухачева С.В. Геохимическая экология мелких млекопитающих в условиях промышленного загрязнения среды: есть ли эффект от снижения выбросов? // Геохимия. 2020. T. 65. № 8. C. 823–832.
- Concentrations of selected elements, physical condition, reproductive activity, and demographic patterns in small mammalas inhabiting DePue wildlife management area: Illinois Waste Management and Research Center / eds. Heske E.J., Levengood J.M., Caldwell K.D. Champaign: Illinois Waste Management and Research Center, 2003. 36 p.
- Hunter B.A., Johnson M.S., Thompson D.J. Ecotoxicology of copper and cadmium in a contaminated grassland ecosystem. III. Small mammals // J. of Applied Ecology. 1987. V. 24. № 2. P. 601–614.
- Au D.W.T. The application of histo-cytopathological biomarkers in marine pollution monitoring: a review // Marine Pollution BR Core Teamulletin. 2004. V. 48. № 9–10. P. 817–834.
- Schipper A.M., Loos M., Ragas A.M.J. et al. Modeling the influence of environmental heterogeneity on heavy metal exposure concentrations for terrestrial vertebrates in river floodplains // Environmental Toxicology and Chemistry: An International J. 2008. V. 27. № 4. P. 919–932.
- Brumbaugh W.G., Mora M.A., May T.W., Phalen D.N. Metal exposure and effects in voles and small birds near a mining haul road in Cape Krusenstern National Monument, Alaska // Environmental Monitoring and Assessment. 2010. V. 170. № 1. P. 73–86.
- Мухачева С.В. Многолетняя динамика концентрации тяжелых металлов в корме и организме рыжей полевки (Myodes glareolus) в период снижения выбросов медеплавильного завода // Экология. 2017. № 6. C. 461–471. [Mukhacheva S.V. Long-term dynamics of heavy metal concentrations in the food and liver of bank voles (Myodes glareolus) in the period of reduction of emissions from a copper smelter // Russ. J. of Ecol. 2017. V. 48. №6. P. 559–568.]
- Осадчук Л.В., Клещёв М.А. Межлинейные различия показателей сперматогенеза у инбредных мышей // Морфология. 2016. T. 149. № 2. C. 54–57.
- Muller C.H. Rationale, interpretation, validation, and uses of sperm function tests // J. of Andrology. 2000. V. 21. № 1. P. 10–30.
- Amann R.P., Hammerstedt R.H. Detection of differences in fertility // J. of Andrology. 2002. V. 23. № 3. P. 317–325.
- Marchlewicz M. Effectiveness of blood-testis and blood-epididymis barriers for lead // Annales Academiae Medicae Stetinensis. 1994. V. 40. P. 37–51.
- Mruk D.D., Cheng C.Y. The mammalian blood-testis barrier: its biology and regulation // Endocrine Reviews. 2015. V. 36. № 5. P. 564–591.
Supplementary files









