Wild animals and vehicles – analysis of development of a conflict: case of sverdlovsk region
- Authors: Korytin N.S.1, Markov N.I.1, Kuznetsov A.K.2, Bergman I.Y.1
- 
							Affiliations: 
							- Institute of Plant and Animal Ecology, Ural Branch, Russian Academy of Sciences
- Department for the Protection, Control and Regulation of the Use of Wildlife of the Sverdlovsk Region
 
- Issue: No 6 (2024)
- Pages: 446-456
- Section: Articles
- URL: https://journal-vniispk.ru/0367-0597/article/view/272926
- DOI: https://doi.org/10.31857/S0367059724060058
- EDN: https://elibrary.ru/VYNXIV
- ID: 272926
Cite item
Abstract
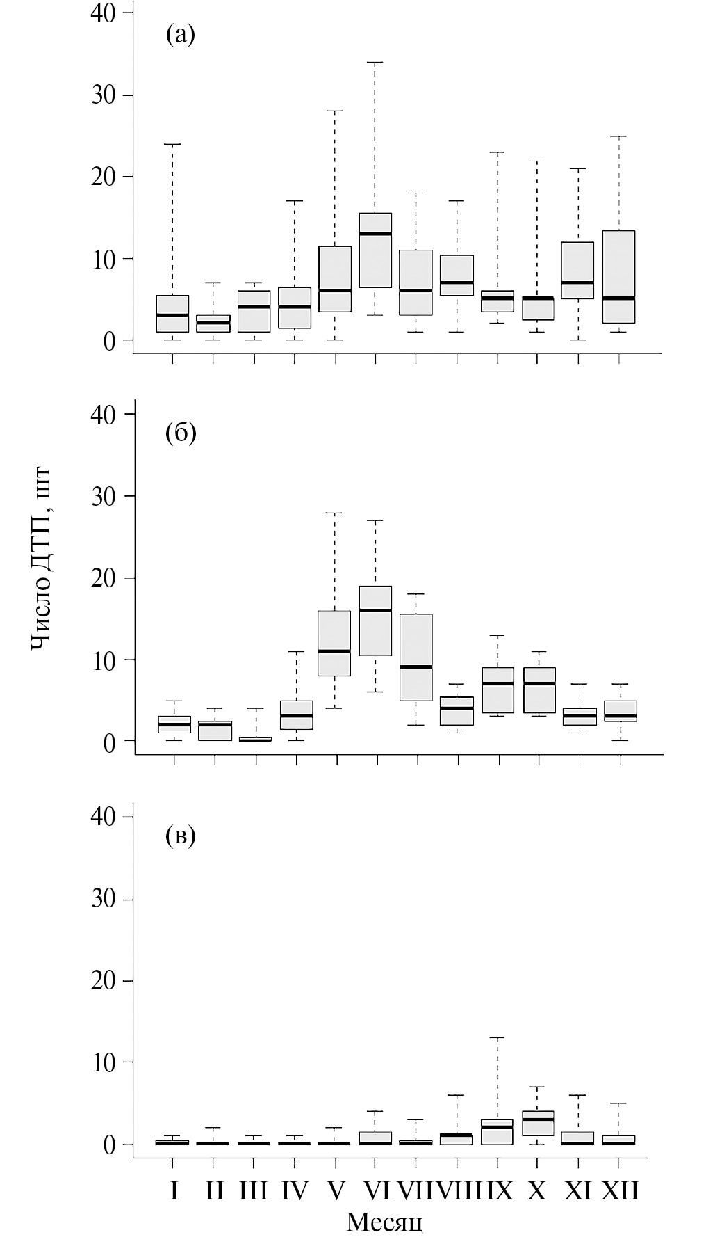
Abstract –The dynamics of the number of road accidents with wild animals in the Sverdlovsk region for the period from 2012 to 2022 was analyzed. The species composition of the animals is sharply shifted towards pair-horned ungulates. The increase in the number of collisions with roe deer and moose is faster than the increase in the number of species by an average of 3.1 times. The seasonal peak of incidents occurs in May-July for moose and Siberian roe deer and in October for wild boar. A strong correlation was found between the number of road incidents, roe deer and moose numbers and vehicle density on roads. The rate of increase in animal populations is 31 and 33% (for roe deer and moose, respectively) of the rate of increase in the number of accidents, while the rate of increase in vehicle density on roads is 7.5–9.9%. It is suggested that the impact of animal population growth on the change in the number of accidents is higher than the impact of the change in traffic intensity.
Full Text
 
												
	                        About the authors
N. S. Korytin
Institute of Plant and Animal Ecology, Ural Branch, Russian Academy of Sciences
							Author for correspondence.
							Email: nsk@ipae.uran.ru
				                					                																			                												                	Russian Federation, 							Ekaterinburg						
N. I. Markov
Institute of Plant and Animal Ecology, Ural Branch, Russian Academy of Sciences
														Email: nsk@ipae.uran.ru
				                					                																			                												                	Russian Federation, 							Ekaterinburg						
A. K. Kuznetsov
Department for the Protection, Control and Regulation of the Use of Wildlife of the Sverdlovsk Region
														Email: nsk@ipae.uran.ru
				                					                																			                												                	Russian Federation, 							Ekaterinburg						
I. Ye. Bergman
Institute of Plant and Animal Ecology, Ural Branch, Russian Academy of Sciences
														Email: nsk@ipae.uran.ru
				                					                																			                												                	Russian Federation, 							Ekaterinburg						
References
- Наумов Н.П. Экология животных. М.: Высшая школа, 1963. 618 с.
- Алтухов Ю.П., Салменкова Е.А., Курбатова О.Л. и др. Динамика популяционных генофондов при антропогенных воздействиях / Под ред. Алтухова Ю.П. М.: Наука, 2004. 619 с. http://www.mce.biophys.msu.ru/eng/books/publisher32000/book38256/
- Хански И. Ускользающий мир: Экологические последствия утраты местообитаний. М.: Тов-во научн. изд. КМК, 2010. 340 с.
- Cardinale B.J., Duffy J.E., Gonzalez A. et al. Biodiversity loss and its impact // Nature. 2012. V. 486. P. 59–67. https://doi.org/10.1038/nature11148
- Gunson K.E., Mountrakis G., Quackenbush L.J. Spatial wildlife-vehicle collision models: A review of current work and its application to transportation mitigation projects // J. Environ. Manag. 2011. V. 92. № 4. P. 1074–1082. https://doi.org/10.1016/j.jenvman.2010.11.027
- Jägerbrand A.K., Antonson H. Driving behaviour responses to a moose encounter, automatic speedcamera, wildlife warning sign and radio message determinedin a factorial simulator study // Accid. Anal. Preven. 2016. V. 86. P. 229–238. https://doi.org/10.1016/j.aap.2015.11.004
- Niemi M., Rolandsen C.M, Neumann W. et al. Temporal patterns of moose-vehicle collisions with and without personal injuries // Accid. Anal. Preven. 2017. V. 98. P. 167–173. https://doi.org/10.1016/j.aap.2016.09.024
- Santos R.A., Mota-Ferreira M., Aguiar L.M. et al. Predicting wildlife road-crossing probability from roadkill data using occupancy-detection models // Sci. Total Environ. 2018. V. 642. P. 629–637. https://doi.org/10.1016/j.scitotenv.2018.06.107
- Bartonička T., Andrášik R., Dul’a M. et al. Identification of local factors causing clustering of animal-vehicle collisions // J. Wildl. Manag. 2018. V. 82. № 5. P. 940–947. https://doi.org/10.1002/jwmg.21467
- Bíl M., Andrášik R., Duľa M., Sedoník J. On reliable identification of factors influencing wildlife-vehicle collisions along roads // J. Environ. Manag. 2019. V. 237. P. 297–304. https://doi.org/10.1016/j.jenvman.2019.02.076
- Bíl M., Kubeček J., Andrášik R. Ungulate-vehicle collision risk and traffic volume on roads // Eur. J. Wildl. Res. 2020. V. 66. № 59. P. 1‒10. https://doi.org/10.1007/s10344-020-01397-8
- Pagany R. Wildlife-vehicle collisions ‒ Influencing factors, data collection and research methods // Biol. Conserv. 2020. V. 251. P. 1‒26. https://doi.org/10.1016/j.biocon.2020.108758
- Fernández-López J., Blanco-Aguiar J.A., Vicente J. et al. Can we model distribution of population abundance from wildlife-vehicles collision data? // Ecography. 2022. V. 2022. № 5. P. 1‒11. https://doi.org/10.1111/ecog.06113
- Gurumurthy K.M., Bansal P., Kockelman K.M. et al. Modelling animal-vehicle collision counts across large networks using a bayesian hierarchical model with time-varying parameters // Anal. Methods Accid. Res. 2022. V. 36. P. 1–19. https://doi.org/10.1016/j.amar.2022.100231
- Krukowicz T., Firlag K., Chrobot P. Spatiotemporal analysis of road crashes with animals in Poland // Sustainability. 2022. V. 14. № 3. P. 1–31. https://doi.org/10.3390/su14031253
- Perez-Guerra J., Gonzalez-Velez J., Murillo-Escobar J. et al. Prediction of areas with high risk of roadkill wildlife applying maximum entropy approach and environmental features: East Antioquia, Colombia // Landscape and Ecological Engineering. 2024. V. 20. P. 75–88. https://doi.org/10.1007/s11355-023-00581-7
- Laube P., Ratnaweera N., Wróbel A. et al. Analysing and predicting wildlife-vehicle collision hotspots for the Swiss Road Network // Landscape Ecology. 2023. V. 38. P. 1765–1783. https://doi.org/10.1007/s10980-023-01655-5
- Ирхина Е.С. Совершенствование системы природоохранных мероприятий на путях миграции лосей (на примере Ленинградской области): Вып. квалификац. работа магистра. СПб: СПбГУ, 2017. 50 с. https://core.ac.uk/download/pdf/217180794.pdf
- Селезнева А.В., Карев С.В. Решение проблемы дорожно-транспортных происшествий с участием диких животных // Научное обозрение. Педагогические науки. 2019. № 2‒3. С. 78‒82. https://www.elibrary.ru/item.asp?id=38214494
- Бобышев М.В., Чураев А.Ю., Спасик С.Е. Анализ причин дорожно-транспортных происшествий с участием лосей на территории Рузского района Московской области в 2015‒2020 гг. // Вестник РГАЗУ. 2020. № 34 (39). С. 20–27. https://www.elibrary.ru/item.asp?id=44244158
- Просеков А.Ю. Анализ дорожно-транспортных происшествий с участием косули и лося в Кузбассе // Охрана и рациональное использование животных и растительных ресурсов: Мат-лы междун. научно-практич. конф., приуроченной к 120-летию со дня рождения проф. В.Н. Скалона, в рамках ХII междун. научно-практич. конференции “Климат, экология, сельское хозяйство Евразии”. Ч. I. Молодежный, 2023. С. 195‒200. https://www.elibrary.ru/item.asp?id=54065075
- Селезнева А.В., Григорьева Т.Ю. Оценка эффективности мероприятий по снижению количества ДТП с участием диких животных // European J. of Natural History. 2020. № 2. P. 90–95. https://www.elibrary.ru/item.asp?id=42564365
- Конева О.В., Демидов Д.В. Состояние аварийности, связанной с наездом автотранспортных средств на диких животных по территории Свердловской области // Научное творчество молодежи – лесному комплексу России: Мат-лы XIX Всероссийской (национальной) научно-технич. конф. студентов и аспирантов. Ответственный за выпуск Малютина Л. В. Екатеринбург, 2023. С. 732–736.
- Ермолова М.В., Трошина Е.И. Количество дорожно-транспортных происшествий с пострадавшими по субъектам Российской Федерации (Электронный ресурс). https://rosstat.gov.ru/storage/mediabank/postrad.xls (дата обращения 30.08.2023).
- Neumann W., Ericsson G., Dettki H. et al. Difference in spatiotemporal patterns of wildlife road-crossings and wildlife-vehicle collisions // Biol. Conserv. 2012. V. 145. № 1. P. 70‒78. https://doi.org/10.1016/j.biocon.2011.10.011
- Млекопитающие Свердловской области: Cправочник-определитель / В.Н. Большаков и др. Екатеринбург: Екатеринбург, 2000. 240 с.
- Волкова И.Н. Проблемы и перспективы территориальной организации и территориального планирования региональной транспортной системы (на примере Свердловской области) // Вестник Удмуртского ун-та. Сер.: Биология и науки о Земле. 2022. Т. 32. Вып. 2. С. 192‒203.
- Трошина Е.И. Протяженность и характеристики автомобильных дорог общего пользования по субъектам Российской Федерации. https://rosstat.gov.ru›storage/mediabank/prot_avto_dor (дата обращения 30.08.2023).
- Ермолова М.В., Жукова А.В. Наличие транспортных средств по Российской Федерации. https://rosstat.gov.ru/statistics/transport (дата обращения 30.08.2023).
- Витрина статистических данных: численность постоянного населения в среднем за год (Электронный ресурс). https://showdata.gks.ru/report/278930/
- Коли Г. Анализ популяций позвоночных. М.: Мир, 1979. 362 с.
- R Core Team. R: a language and environment for statistical computing. https://www.R-project.org/. (дата обращения 01.09.2023).
- Signorell A., Aho K., Alfons A. et al. DescTools: Tools for descriptive statistics. R package version 0.99.23. https://andrisignorell.github.io/DescTools/ (дата обращения 01.09.2023).
- Bruinderink Groot G.W.T.A., Hazebroek E. Ungulate traffic collisions in Europe // Conservation Biology. 1996. V. 10. № 4. P. 1059–1067. https://doi.org/10.1046/j.1523-1739.1996.10041059.x
- Seiler A. Trends and spatial patterns in ungulate-vehicle collisions in Sweden // Wildl. Biol. 2004. V. 10. № 4. P. 301‒313. https://doi.org/10.2981/wlb.2004.036
- Cserkecz T., Farkas J. Annual trends in the number of wildlife-vehicle collisions on the main linear transport corridors (highway and railway) of Hungary // North-West. J. Zool. 2015. V.11. № 1. P. 41–50. https://biozoojournals.ro/nwjz/content/v11n1/nwjz_141707_Cserkesz.pdf
- Raymond S., Spencer M., Chadwick E.A. et al. The impact of the COVID-19 lockdowns on wildlife-vehicle collisions in the UK // J. Anim. Ecol. 2023. V. 92. P. 1244–1255. https://doi.org/10.1111/1365-2656.13913
- Grilo C., Koroleva E., Andrášik R. et al. Roadkill risk and population vulnerability in European birds and mammals // Front. Ecol. Environ. 2020. V. 18. № 6. P. 323–328. https://doi.org/10.1002/fee.2216
- Raymond S., Schwartz A.L.W., Thomas R.J. et al. Temporal patterns of wildlife roadkill in the UK // PLoS ONE. 2021. V. 16. № 10. Art. e0258083. https://doi.org/10.1371/journal.pone.0258083
- Vance J.A., Smith W.H., Smith G.L. Species composition and temporal patterns of wildlife-vehicle collisions in southwest Virginia, USA // Human-Wildlife Interactions. 2018. V. 12. № 3. https://doi.org/10.26077/6a2c-cj16
- Lavsund S., Sandegren F. Moose-vehicle relations in Sweden: a review // Alces: A Journal Devoted to the Biology and Management of Moose. 1991. V. 27. P. 118‒126. https://www.alcesjournal.org/index.php/alces/article/view/1109
- Madsen A.B., Strandgaard H., Prang A. Factors causing traffic killings of roe deer Capreolus capreolus in Denmark // Wildl. Biol. 2002. V. 8. № 1. P. 55–61.https://doi.org/10.2981/wlb.2002.008
- Putzu N., Bonetto D., Civallero V. et al. Temporal patterns of ungulate-vehicle collisions in a subalpine Italian region // Ital. J. Zool. 2014. V. 81. № 3. P. 463–470.https://doi.org/10.1080/11250003.2014.945974
- Grilo C., Bissonette J.A., Santos-Reis M. Spatial-temporal patterns in Mediterranean carnivore road casualties: Consequences for mitigation // Biol. Conser. 2009. V. 142. № 2. P. 301‒313. https://doi.org/10.1016/j.biocon.2008.10.026
- Neumann W., Ericsson G., Dettki H. et al. Difference in spatiotemporal patterns of wildlife road-crossings and wildlife-vehicle collisions // Biol. Conserv. 2012. V. 145. № 1. P. 70‒78. https://doi.org/10.1016/j.biocon.2011.10.011
- Mastro L.L., Conover M.R., Frey S.N. Factors influencing a motorist’s ability to detect deer at night // Landsc. Urban Plann. 2010. V. 94. № 3‒4. P. 250‒254. https://doi.org/10.1016/j.landurbplan.2009.10.010
- Rodgers A.R., Robins P.J. Moose detection distances on highways at night // Alces: A Journal Devoted to the Biology and Management of Moose. 2006. V. 42. P. 75‒87. https://alcesjournal.org/index.php/alces/article/view/389
- Vrkljan J., Hozjan D., Barić D. et al. Temporal patterns of vehicle collisions with roe deer and wild boar in the Dinaric Area // Croat. J. For. Eng. 2020. V. 41. № 2. P. 347–358. https://hrcak.srce.hr/240283
- Psiropoulos J.L., Howe E., Mayer J.J. et. al. Characterization of recent wild pig-vehicle collisions in Georgia, USA // Mamm. Res. 2024. V. 69. P. 131–144. https://doi.org/10.1007/s13364-023-00724-z
- Печатнова Е.В., Подрезова А.Ю. Выявление основных особенностей аварийности, связанной с наездами на животных // Вестник КемРИПК. 2019. № 1. С. 103–107. https://www.elibrary.ru/download/elibrary_39158302 _44134194.pdf
- Shepherd B.J., Houck J., Lyon C. On the road again: A study valuing wildlife crossings for wetland mitigation on State Road 40 in Volusia County, Florida // Ecosphere. 2023. V. 14. № 6. Art. e4566. https://doi.org/10.1002/ecs2.4566
- Clevenger A.P., Waltho N. Factors influencing the effectiveness of wildlifeunderpasses in Banff National Park, Alberta, Canada // Conserv. Biol. 2000. V. 14. № 1. P. 47‒56. https://doi.org/10.1046/j.1523-1739.2000.00099-085.x
- Foster M.L., Humphrey S.R. Use of highway underpasses by Florida panthers and other wildlife // Wildl. Soc. Bull. 1995. V. 23. № 1. P. 95‒100. https://www.jstor.org/stable/3783202
- Dodd N.L., Gagnon J.W., Manzo A.L. et. al. Video surveillance to assess highway underpass use by elk in Arizona // J. Wildl. Manag. 2007. V. 71. № 2. P. 637‒645. https://doi.org/10.2193/2006-340
- Mata C., Hervas I., Herranz J. et al. Are motorway wildlife passages worth building? Vertebrate use of road-crossing structures on a Spanish motorway // J. Environ. Manag. 2008. V. 88. № 3. P. 407‒415. https://doi.org/10.1016/j.jenvman.2007.03.014
- Dodd C.K., Barichivich W.J., Smith L.L. Effectiveness of a barrier wall and culverts in reducing wildlife mortality on a heavily traveled highway in Florida // Biol Conserv. 2004. V. 118. № 5. P. 619‒631. https://doi.org/10.1016/j.biocon.2003.10.011
- Romin L.A., Bissonette J.A. Deer-vehicle collisions: status of state monitoring activities and mitigation efforts // Wildl. Soc. Bull. 1996. V. 24. № 2. P. 276‒283. https://www.jstor.org/stable/3783118
- D’Angelo G.J., D’Angelo J.G., Gallagher G.R. et al. Evaluation of wildlife warning reflectors for altering white-tailed deerbehavior along roadways // Wildl. Soc. Bull. 2006. V. 34. № 4. P. 1175‒1183. https://doi.org/10.2193/0091-7648(2006)34[1175:EOWWRF]2.0.CO;2
- Huijser M.P., McGowen P., Fuller J. et al. Wildlife-vehicle Collision Reduction Study. Report to U.S.Congress. U.S. Department of Transportation. Federal Highway Administration. 2007. Washington, D.C. p. 232. https://wafwa.org/wp-content/uploads/2021/04/2007-Report-to-Congress.pdf
Supplementary files
 
				
			 
					 
						 
						 
						 
						 
				
 
  
  
  Email this article
			Email this article 
 Open Access
		                                Open Access Access granted
						Access granted






