Generalization of Modified SXB Method for Hydrogen to the Case of Isotope Mixture
- Autores: Kukushkin A.B.1,2, Neverov V.S.3, Khusnutdinov R.I.3,2
-
Afiliações:
- National Research Center “Kurchatov Institute"
- National Research Nuclear University MEPhI
- National Research Center “Kurchatov Institute”
- Edição: Volume 49, Nº 2 (2023)
- Páginas: 113-127
- Seção: TOKAMAKS
- URL: https://journal-vniispk.ru/0367-2921/article/view/139512
- DOI: https://doi.org/10.31857/S0367292122601230
- EDN: https://elibrary.ru/NWZOTF
- ID: 139512
Citar
Texto integral
Resumo
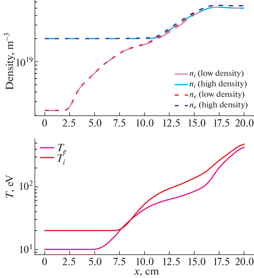
A simulator of the kinetics of hydrogen isotopes recycling in plasma for the H-alpha diagnostics of the fuel ratio in a tokamak-reactor is proposed. The simulator represents a generalization of the well-known SXB method developed for determining the density of impurity flux from the vacuum vessel first wall into plasma from intensity of the spectral line of an atom or ion integrated with respect to wavelength within the spectral line width, to the case of an isotope mixture. The simulator allows on to determine the parameters of the fuel ratio for a mixture of deuterium and tritium hydrogen isotopes in real time (e.g., within 100 ms, according to the requirements specified for controlling the parameters of hydrogen isotopes in the ITER demonstration tokamak-reactor). The developed approach allows one to determined the flux density of hydrogen isotopes from the first wall into the plasma based on the results obtained by means of the high-resolution spectroscopy of the Balmer series lines without using the molecular spectra of hydrogen that are difficult to interpret. Calculations carried out for typical conditions of the edge plasma in the tokamak-reactors revealed that the flux density and fuel ratio in a certain part of the operational space of the reactor can be reconstructed with an acceptable accuracy. The role of the simulator for more accurate but more time-consuming interpretation of the measurements using the H-alpha diagnostics is discussed.
Palavras-chave
Sobre autores
A. Kukushkin
National Research Center “Kurchatov Institute"; National Research Nuclear University MEPhI
Email: vestnik.ran@yandex.ru
Moscow, Russia; Moscow, Russia
V. Neverov
National Research Center “Kurchatov Institute”
Email: Khusnutdinov_RI@nrcki.ru
123098, Moscow, Russia
R. Khusnutdinov
National Research Center “Kurchatov Institute”; National Research Nuclear University MEPhI
Autor responsável pela correspondência
Email: Khusnutdinov_RI@nrcki.ru
123098, Moscow, Russia; 115409, Moscow, Russia
Bibliografia
- Loarte A., Lipschultz B., Kukushkin A., Matthews G., Stangeby P., Asakura N., Counsell G., Federici G., Kallenbach A., Krieger K., Mahdavi A., Philipps V., Rei-ter D., Roth J., Strachan J., Whyte D., Doerner R., Eich T., Fundamenski W., Herrmann A., Fenstermacher M., Ghendrih P., Groth M., Kirschner A., Konoshima S., LaBombard B., Lang P., Leonard A., Monier-Garbet P., Neu R., Pacher H., Pegourie B., Pitts R., Takamura S., Terry J., Tsitrone E., Group t. I. S.-o. L., Diver // N-uclear Fusion. 2007. V. 47. S203. https://doi.org/10.1088/0029-5515/47/6/S04
- Donné A.J., Costley A.E., Barnsley R., Bindslev H., Boivin R., Conway G., Fisher R., Giannella R., Hartfuss H., Von Hellermann M.G., Hodgson E., Ingesson L.C., Ita-mi K., Johnson D., Kawano Y., Kondoh T., Krasilnikov A., Kusama Y., Litnovsky A., Lotte P., Nielsen P., Nishita-ni T., Orsitto F., Peterson B.J., Razdobarin G., Sanchez J., Sasao M., Sugie T., Vayakis G., Voitsenya V., Vukolov K., Walker C., Young K. // Nuclear Fusion. 2007. V. 47. S337. https://doi.org/10.1088/0029-5515/47/6/S07
- Kukushkin A.B., Neverov V.S., Alekseev A.G., Lisgo S.W., Kukushkin A.S. // Fusion Science and Technology. 2016. V. 69. P. 628. https://doi.org/10.13182/FST15-186
- Neverov V.S., Kukushkin A.B., Stamp M.F., Alekseev A.G., Brezinsek S., Von Hellermann M. // Nuclear Fusion. 2017. V. 57. P. 016031. https://doi.org/10.1088/0029-5515/57/1/016031
- Neverov V., Khusnutdinov R., Alekseev A., Carr M., De Bock M., Kukushkin A., Lovell J., Meakins A., Pitts R., Polevoi A., Veshchev E. // Plasma Phys. Controlled Fusion. 2020. V. 62. P. 115014. https://doi.org/10.1088/1361-6587/abb53b
- Natsume H., Kajita S., Neverov V. S., Khusnutdinov R.I., Veshchev E., Bock M.D., Polevoi A.R., Tanaka H., Ohno N., Ogawa H., Kitazawa S.I. // Plasma and Fusion Research. 2021. V. 16. P. 2405019. https://doi.org/10.1585/pfr.16.2405019
- Kajita S., Veshchev E., Barnsley R., Walsh M. // Contrib. Plasma Phys. 2016. V. 56. P. 837. https://doi.org/10.1002/ctpp.201500124
- Kajita S., Aumeunier M.H., Yatsuka E., Alekseev A., Andreenko E., Kukushkin A.B., Neverov V., Kocan M., Bassan M., Veshchev E., De Bock M., Barnsley R., Kukushkin A.S., Reichle R., Walsh M. // Nuclear Fusion. 2017. V. 57. P. 116061. https://doi.org/10.1088/1741-4326/aa7ef7
- Reiter D., Baelmans M., Börner P. // Fusion Science and Technology. 2005. V. 47. P. 172. https://doi.org/10.13182/FST47-172
- Kukushkin A., Pacher H., Kotov V., Pacher G., Reiter D. // Fusion Engineering and Design. 2011. V. 86. P. 2865. https://doi.org/10.1016/j.fusengdes.2011.06.009
- Lisgo S.W., Börner P., Kukushkin A., Pitts R.A., Polevoi A., Reiter D. // J. Nuclear Materials. 2011. V. 415. S965. https://doi.org/10.1016/j.jnucmat.2010.11.061
- Kadomtsev M.B., Kotov V., Lisitsa V.S., Shurygin V.A. // 39th EPS Conference on Plasma Phys. 2012, EPS 2012 and the 16th International Congress on Plasma Phys. 2012. V. 3. P4.093.
- Kadomtsev M.B., Kotov V., Lisitsa V.S., Neverov V.S., Shurygin V.A. // 40th EPS Conference on Plasma Phys., EPS 2013. V. 1. 2013. P1.135.
- Lisitsa V.S., Kadomtsev M.B., Kotov V., Neverov V.S., Shurygin V.A. // Atoms. 2014. V. 2. P. 195. https://doi.org/10.3390/atoms2020195
- Kukushkin A.B., Kukushkin A.S., Lisitsa V.S., Neverov V.S., Pshenov A.A., Shurygin V.A. // Plasma Phys. Controlled Fusion. 2021. V. 63. P. 035025. https://doi.org/10.1088/1361-6587/abd97f
- URL: https://www.adas.ac.uk/.
- Kukushkin A.B., Neverov V.S., Kadomtsev M.B., Kotov V., Kukushkin A.S., Levashova M.G., Lisgo S.W., Lisi-tsa V.S., Shurygin V.A., Alekseev A.G. // J. Phys.: Confer. Ser. 2014. V. 548. P. 012012. https://doi.org/10.1088/1742-6596/548/1/ 012012
- Неверов В.С., Кукушкин А.Б., Лисго С.В., Кукуш-кин А.С., Алексеев А.Г. // Физика Плазмы. 2015. Т. 41. С. 115. https://doi.org/10.7868/S0367292115020079
- Neverov V.S., Kukushkin A.B., Kruezi U., Stamp M.F., Weisen H., Contributors J. // Nuclear Fusion. 2019. V. 59. P. 046011. https://doi.org/10.1088/1741-4326/ab0000
- Lomanowski B.A., Meigs A.G., Sharples R.M., Stamp M., Guillemaut C. // Nuclear Fusion. 2015. V. 55. P. 123028. https://doi.org/10.1088/0029-5515/55/12/123028
- Behringer K.H. // J. Nuclear Materials. 1987. V. 145–147. P. 145. https://doi.org/10.1016/0022-3115(87)90319-9
- Pospieszczyk A., Borodin D., Brezinsek S., Huber A., Kirschner A., Mertens P., Sergienko G., Schweer B., Beigman I.L., Vainshtein L. // J. Phys. B: Atomic, Molecular and Optical Phys. 2010. V. 43. P. 144017. https://doi.org/10.1088/0953-4075/43/14/144017
- O’Mullane M. 12.2016. Private communication (ITER technical document).
- Mertens P., Brezinsek S., Greenland P.T., Hey J.D., Pospieszczyk A., Reiter D., Samm U., Schweer B., Sergien-ko G., Vietzke E. // Plasma Phys. Controlled Fusion. 2001. V. 43. A349. https://doi.org/10.1088/0741-3335/43/12A/327
- Khusnutdinov R.I., Kukushkin A.B. // Phys. Atomic Nuclei. 2019. V. 82. P. 1392. https://doi.org/10.1134/S1063778819100119
- Pitts R.A., Bonnin X., Escourbiac F., Frerichs H., Gunn J.P., Hirai T., Kukushkin A.S., Kaveeva E., Miller M.A., Moulton D., Rozhansky V., Senichenkov I., Sytova E., Schmitz O., Stangeby P.C., De Temmerman G., Veselo-va I., Wiesen S. // Nuclear Materials and Energy. 2019. V. 20. P. 100696. https://doi.org/10.1016/j.nme.2019.100696
- Kotov V., Reiter D., Kukushkin A.S., Pacher H.D., Börner P., Wiesen S. // Contributions to Plasma Phys. 2006. V. 46. P. 635. https://doi.org/10.1002/ctpp.200610056
- Pshenov A., Kukushkin A., Marenkov E., Krasheninnikov S. // Nuclear Fusion. 2019. V. 59. P. 106025. https://doi.org/10.1088/1741-4326/ab3144
- Kukushkin A.B., Neverov V.S., Lisitsa V.S., Shurygin V.A., Alekseev A.G. // Phys. Atomic Nuclei. 2020. V. 83. P. 1070. https://doi.org/10.1134/S106377882007008X
Arquivos suplementares


















