Effect of the Plasma Density on the Generation Efficiency and Changes in the Spectrum of a Plasma Relativistic Microwave Generator
- Authors: Andreev S.E.1,2, Bogdankevich I.L.1, Gusein-zade N.G.1, Ul’yanov D.K.1
-
Affiliations:
- Prokhorov General Physics Institute, Russian Academy of Sciences
- Pirogov Russian National Research Medical University
- Issue: Vol 49, No 2 (2023)
- Pages: 165-174
- Section: РЕЛЯТИВИСТСКАЯ СВЧ-ЭЛЕКТРОНИКА
- URL: https://journal-vniispk.ru/0367-2921/article/view/139524
- DOI: https://doi.org/10.31857/S0367292122600789
- EDN: https://elibrary.ru/NPIBDC
- ID: 139524
Cite item
Full Text
Abstract
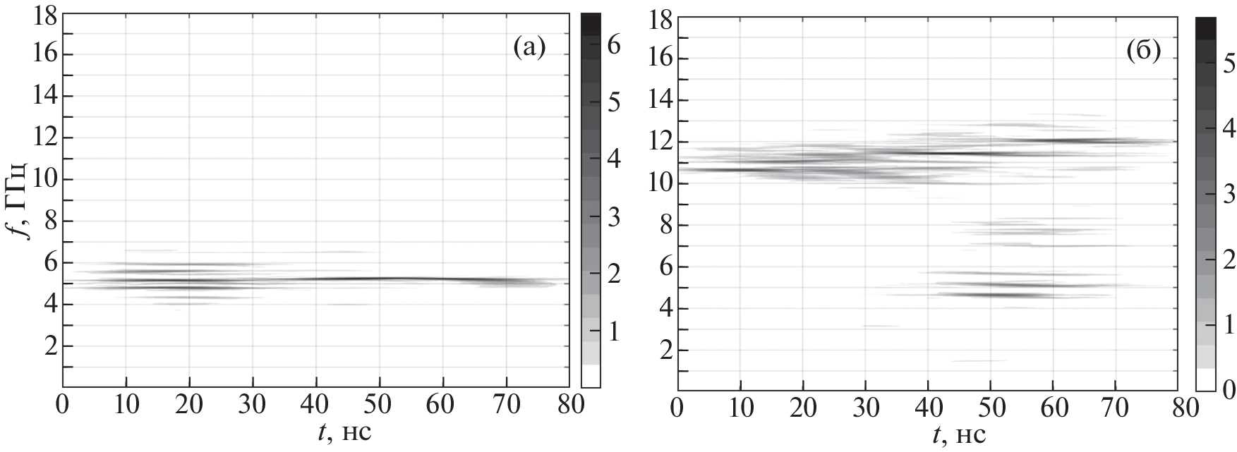
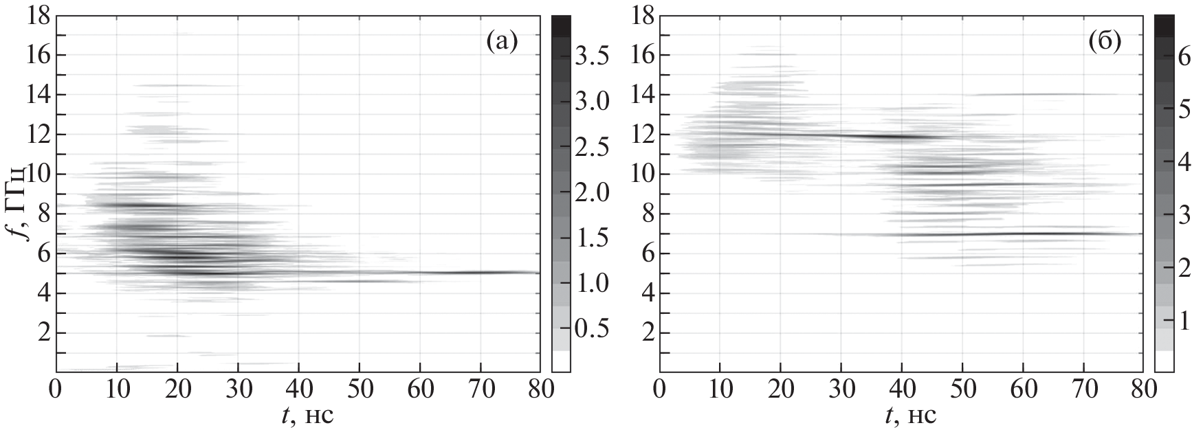
The features of the experimental operation of the Sinus 550-80 plasma relativistic microwave generator (PRG) at different plasma densities are considered. Two plasma density values are considered, at which the central frequencies of the PRG output microwave radiation are 5.1 and 11.5 GHz. Numerical simulation demonstrates a decrease in the plasma electron density as a result of the action of a relativistic electron beam (REB) charge during the Cherenkov interaction and the appearance of an “ion background” during the PRG pulse. At low plasma densities, this can lead to a change in microwave generation conditions accompanied by a change in the broadband radiation to the narrowband one and a decrease in the radiation power. At the same time, at high plasma densities, when the microwave radiation is generated at high frequencies, the average amplitude of the electric field of the wave almost does not change during the REB pulse, and the radiation remains broadband. The analysis of the experimental and numerical simulation results is supported by estimates of the linear theory, which proves that the PRG works more stably at higher plasma density values.
About the authors
S. E. Andreev
Prokhorov General Physics Institute, Russian Academy of Sciences; Pirogov Russian National Research Medical University
Email: ira.bogdankevich@mail.ru
119991, Moscow, Russia; 117997, Moscow, Russia
I. L. Bogdankevich
Prokhorov General Physics Institute, Russian Academy of Sciences
Email: ira.bogdankevich@mail.ru
119991, Moscow, Russia
N. G. Gusein-zade
Prokhorov General Physics Institute, Russian Academy of Sciences
Email: ira.bogdankevich@mail.ru
119991, Moscow, Russia
D. K. Ul’yanov
Prokhorov General Physics Institute, Russian Academy of Sciences
Author for correspondence.
Email: ira.bogdankevich@mail.ru
119991, Moscow, Russia
References
- Богданкевич И.Л., Гришин Д.М., Гунин А.В., Ива-нов И.Е., Коровин С.Д., Лоза О.Т., Месяц Г.А., Павлов Д.А., Ростов В.В., Стрелков П.С., Ульянов Д.К. // Физика плазмы. 2008. Т. 34. № 10. С. 926.
- Лоза О.Т., Ульянов Д.К., Стрелков П.С. и др. // КСФ ФИАН. 2011. № 4. С. 47
- Лоза О.Т., Ульянов Д.К., Баранов Р.В. // ЖТФ. 2011. Т. 81. Вып. 3. С. 98
- Ульянов Д.К., Лоза О.Т., Баранов Р.В., Ернылева С.Е., Богданкевич И.Л. // ЖТФ. 2013. Т. 83. Вып. 10. С. 113
- Ульянов Д.К., Андреев С.Е. // Прикладная физика. 2014. № 4. С. 26.
- Кузелев М.В., Рухадзе А.А., Стрелков П.С. Плазменная релятивистская СВЧ–электроника: Уч. пособ. Изд. 2-е, доп., М.: ЛЕНАНД, 2018.
- Карташев И.Н., Красильников М.А., Кузелев М.В., Рухадзе А.А. // Прикладная физика. 2002. № 4. С. 66.
- Bogandkevich I.L., Andreev S.E., Gusein-zade N.G., Ulyanov D.K. // J. of Russian Laser Research. 2019. V. 40. № 5.
- Богданкевич И.Л., Лоза О.Т., Павлов Д.А. // КСФФИАН. 2010. № 42. С. 16.
- Andreev S.E., Bogdankevich I.L., Gusein-zade N.G., Ul’yanov D.K. // Plasma Physics Reports. 2019. V. 45. V. 7. P. 674.
- Andreev S.E., Alekseev I.S., Krymov R.R., Ulyanov D.K. // Physics of wave phenomena.2017. V. 25. № 1. P. 60.
- Андреев С.Е. //Системы и средства информатики. 2016. Т. 26. № 1. С. 30–44. https://doi.org/10.14357/086965271601031
- Богданкевич И.Л., Иванов И.Е., Лоза О.Т., Руха-дзе А.А., Стрелков П.С., Тараканов В.П., Улья-нов Д.К. // Физика плазмы. 2002. Т. 28. № 8. С. 748.
- Tarakanov V.P. “User’s Manual for Code KARAT – Springfield, VA: Berkley Research Associates, Inc. 1992.V.P. Tarakanov. “User’s Manual for Code K-ARAT – Springfield, VA: Berkley Research Associates, Inc. 1992.
- Карташов И.Н., Кузелев М.В., Стрелков П.С., Тараканов В.П. // Физика плазмы. 2018. Т. 44. № 2. С. 250.
- Андреев С.Е., Богданкевич И.Л., Гусейн-заде Н.Г. // Сб. тр. VI-й междунар. научно-практической конф. “Актуальные проблемы – РАДИОИНФОКОМ”. М., 2022. С. 151.
Supplementary files













