The Formation and Stationary Maintenance of Peaked Pressure Profiles in Turbulent Tokamak Plasmas
- Authors: Pastukhov V.P.1, Smirnov D.V.1, Chudin N.V.1
-
Affiliations:
- National Research Centre “Kurchatov Institute”
- Issue: Vol 49, No 7 (2023)
- Pages: 609-628
- Section: TOKAMAKS
- URL: https://journal-vniispk.ru/0367-2921/article/view/139559
- DOI: https://doi.org/10.31857/S0367292123600061
- EDN: https://elibrary.ru/WEWHWI
- ID: 139559
Cite item
Full Text
Abstract
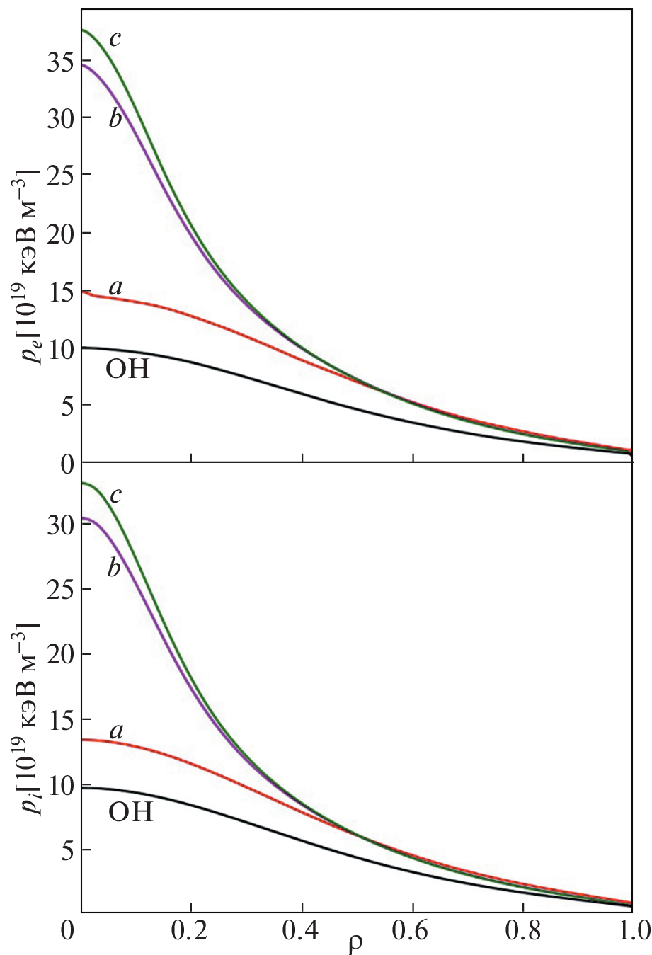
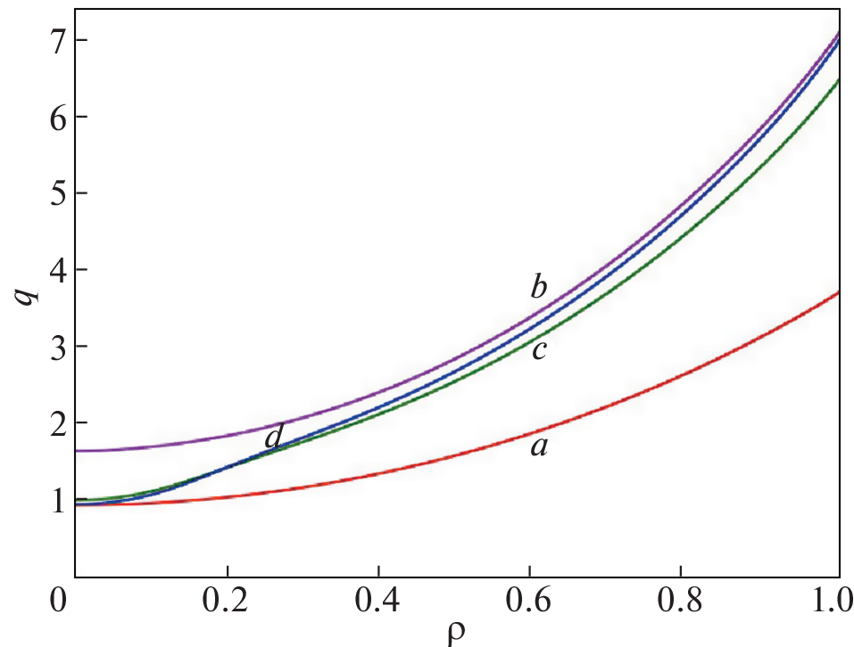
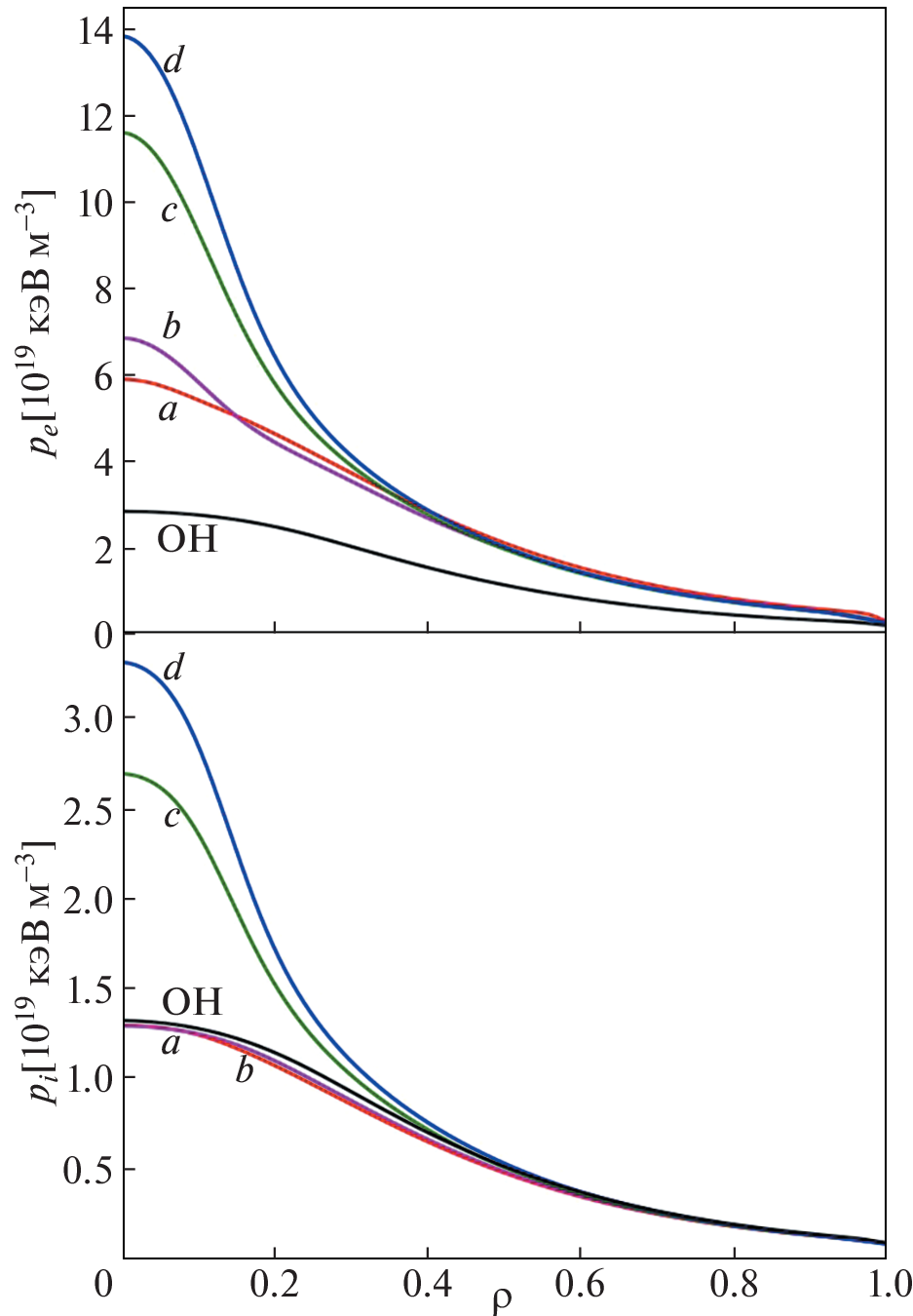
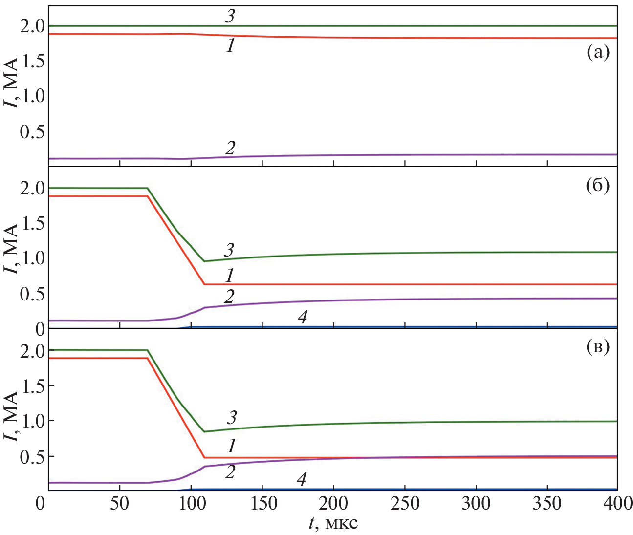
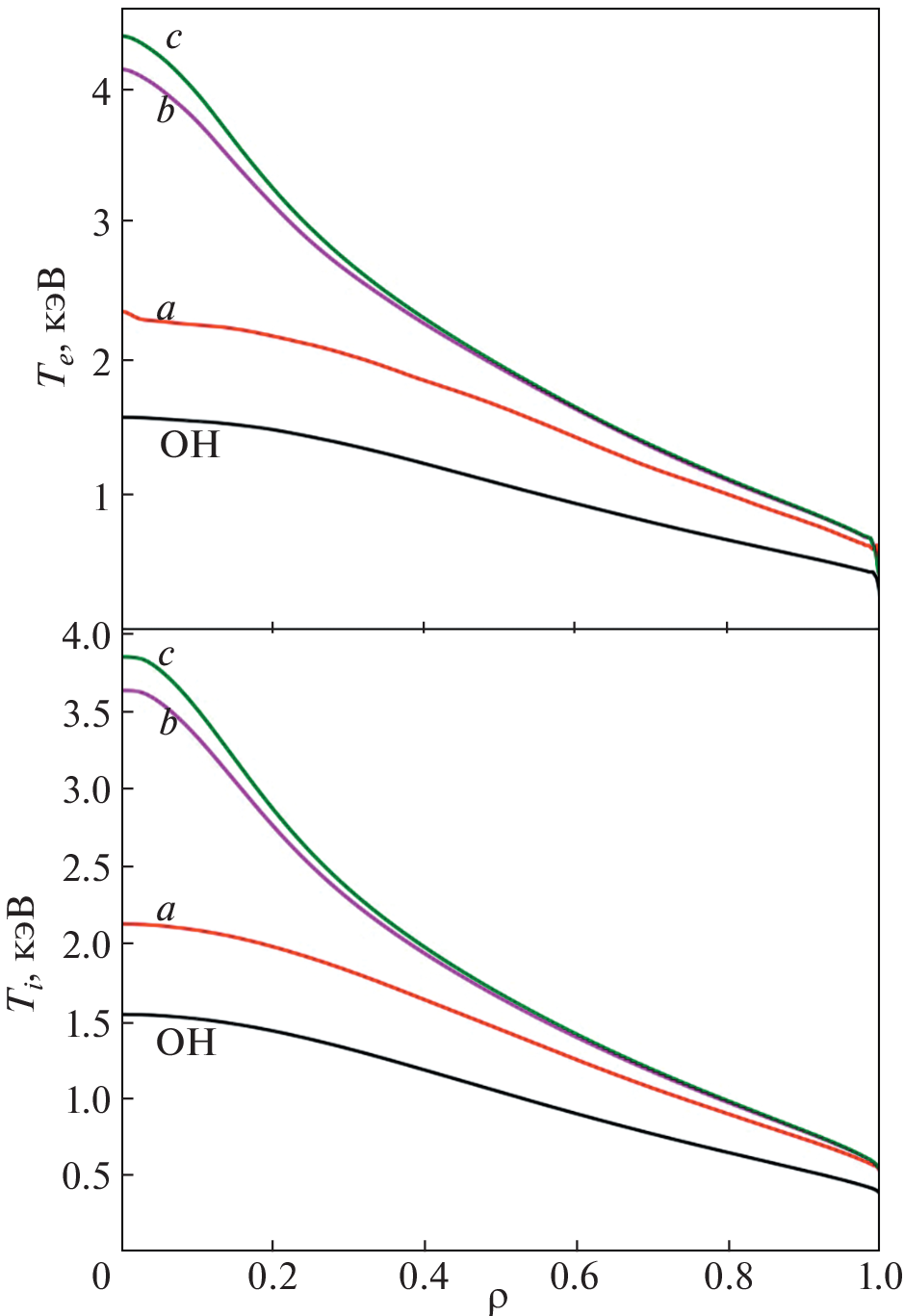
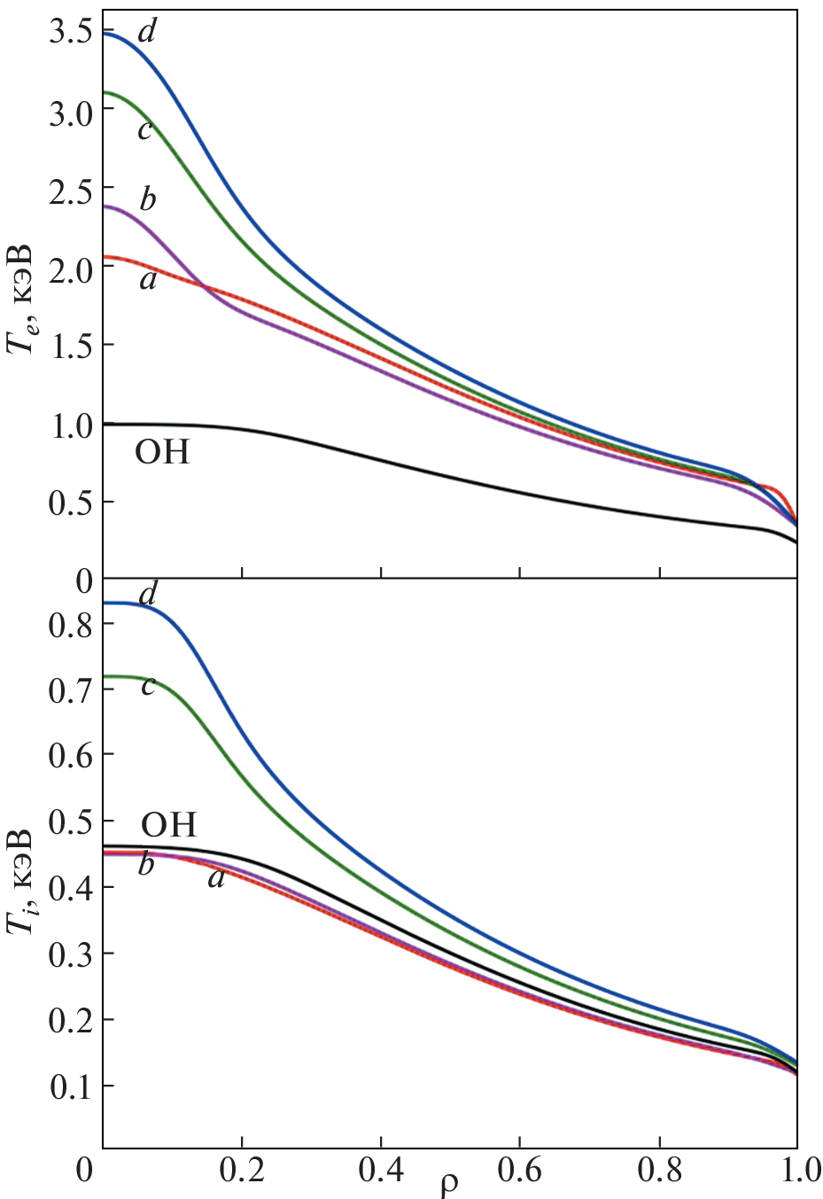
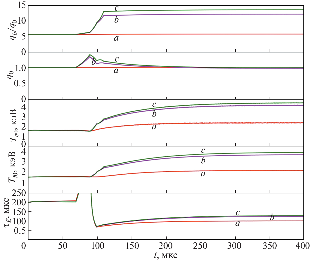
The theoretical model for increasing peaking of radial distribution of plasma thermal energy and plasma energy confinement time improvement due to the formation of current profiles those provide the increased value of the safety factor qb at the outer plasma boundary is considered. The model for the formation and stationary maintenance of the peaked current density profiles those ensure the maintenance of plasma column equilibrium state with increased qb value and conservation of q0=1 at the magnetic axis is developed. The model is based on the significant ramp down of the Iind current maintained by the inductor with simultaneous central ECR heating and electron cyclotron current drive (ECCD) switching on. It is shown by the computer simulations of the self-consistent time evolution of turbulent plasma for the conditions of T-10 and T-15MD tokamaks that in the shot scenarios with three- or four-fold decrease in the Iind current at the ECRH stage of shots it was achieved an approximately two-fold enhancement of the electron and ion temperatures at the axis of the plasma column as compared to the standard shots with the same heating powers.
About the authors
V. P. Pastukhov
National Research Centre “Kurchatov Institute”
Email: Pastukhov_VP@nrcki.ru
123098, Moscow, Russia
D. V. Smirnov
National Research Centre “Kurchatov Institute”
Email: Pastukhov_VP@nrcki.ru
123098, Moscow, Russia
N. V. Chudin
National Research Centre “Kurchatov Institute”
Author for correspondence.
Email: Pastukhov_VP@nrcki.ru
123098, Moscow, Russia
References
- ITER Physics Basis Editors // Nucl. Fusion. 1999. V. 39. P. 2137.
- Пастухов В.П., Смирнов Д.В. // Письма в ЖЭТФ. 2021. Т. 114. С. 242.
- Coppi B. // Comments Plasma Phys. Control. Fusion. 1980. V. 5. P. 261.
- Esiptchuk Yu.V., Razumova K.A. // Plasma Phys. Control. Fusion. 1986. V. 28. P. 1253.
- Razumova K.A., Andreev V.F., Donnґe A.J.H., Hoge-weij G.M.D., Lysenko S.E., Shelukhin D.A., Spak-man G.W., Vershkov V.A., Zhuravlev V.A. // Plasma Phys. Control. Fusion. 2006. V. 48. P. 1373.
- Razumova K.A., Andreev V.F., Dnestrovskij A.Yu., Kis-lov A.Ya., Kirneva N.A., Lysenko S.E., Pavlov Yu.D., Poznyak V.I., Shafranov T.V., Trukhina E.V., Zhuravlev V.A., Donne A.J.H., Hogeweij G.M.D., the T-10 team and the RTP team // Plasma Phys. Control. Fusion. 2008. V. 50. P. 105004.
- Razumova K.A., Andreev V.F., Kislov A.Ya., Kirneva N.A., Lysenko S.E., Pavlov Yu.D., Shafranov T.V., the T‑10 Team, Donne A.J.H., Hogeweij G.M.D., Spakman G.W., Jaspers R., the TEXTOR team, Kantor M., Walsh M. // Nuclear Fusion. 2009. V. 49. P. 065011.
- Biscamp D. // Comments Plasma Phys. Control. Fusion. 1986. V. 10. P. 165.
- Кадомцев Б.Б. // Физика плазмы. 1987. Т. 13. С. 771.
- Днестровский Ю.Н., Днестровский А.Ю., Лысен-ко С.Е., Черкасов С.В., Уолш М.Д. // Физика плазмы. 2004. Т. 30. С. 3.
- Днестровский Ю.Н., Днестровский А.Ю., Лысен-ко С.Е. // Физика плазмы. 2005. Т. 31. С. 579.
- Яньков В.В. // Письма в ЖЭТФ. 1994. Т. 60. С. 169.
- Yankov V.V., Nycander J. // Phys. Plasmas. 1997. V. 4. P. 2907.
- Sarazin Y., Grandgirard V., Abitebou J., Allfrey S., Gar-bet X., Ghendrih Ph., Latu G., Strugarek A., Dif-Pradalier G., Diamond P.H., Ku S., Chang C.S., McMillan T., Tran M., Villard L., Jolliet S., Bottino A., Ange-lino P. // Nuclear Fusion. 2011. V. 51. P. 103023
- Murakami M., Park J.M., Giruzzi G., Garcia J., Bonoli P., Budny R.V., Doyle E.J., Fukuyama A., Hayashi N., Honda M., Hubbard A., Ide S., Imbeaux F., Jaeger E.F., Luce T.C., Na Y.S., Oikawa T., Osborne T.H., Parail V., Polevo A.I., Prater R., Sips A.C.C., Snipes J., John H.E.St., Snyder P.B., Voitsekhovitch I. // Nuclear Fusion. 2011. V. 51. P. 103006.
- Scott B.D. // Plasma Phys. Control. Fusion. 2006. V. 48. P. B277.
- Idomura Y., Urano H., Aiba N., Tokuda S. // Nuclear Fusion. 2009. V. 49. P. 065029.
- Pastukhov V.P., Chudin N.V. // Proc. 22-nd IAEA Fusion Energy Conf. Geneva, Switzerland, 2008. Report TH/P8-26.
- Пастухов В.П., Чудин Н.В. // Письма в ЖЭТФ 2009. Т. 90. С. 722.
- Pastukhov V.P., Chudin N.V. // Proc. 23-nd IAEA Fusion Energy Conf. Daejeon, Republic of Korea, 2010. Report THC/P4-22.
- Pastukhov V.P., Chudin N.V., Smirnov D.V. // Plasma Phys. Control. Fusion. 2011. V. 53. P. 054015.
- Пастухов В.П., Смирнов Д.В. // Физика плазмы. 2016. Т. 42. С. 307.
- Пастухов В.П., Кирнева Н.А., Смирнов Д.В. // Физика плазмы. 2019. Т. 45. С. 1072.
- Shoucri M.M., Shkarofsky I.P., Pacher G.W., Pacher H.D., Kalnavarns J., Couture P., Decoste R., Gregory B.C., Haddad E., Janicki C., Lachambre J.-L., LeClair G., Richard N., Simm C., Onge M.St., Whyte D., Tokamak de Varennes Team // Nuclear Fusion. 1990. V. 30. P. 2563.
- Sakharov N.V., Akatova T.Yu., Askinazi L.G., Afana-siev W.I., Bulanin V.V., Golant V.E., Goncharov S.G., Krikunov S.V., Korneev D.O., Korotkov A.A., Lipin B.M., Minaev V.B., Podushnikova K.A., Razdobarin G.T., Rozhdestvensky V.V., Semenov V.V., Tukachinsky A.S., Chemyshev F.V. and Yaroshevich S.P. // Plasma Phys. Control. Fusion. 1993. V. 35. P. 411418.
- Kurskiev G.S., Gusev V.K., Sakharov N.V., Balachen-kov I.M., Bakharev N.N.,Bulanin V.V., Chernyshev F.V., Kavin A.A., Kiselev E.O., Khromov1 N.A., Minaev V.B., Miroshnikov I.V., Patrov M.I., Petrov A.V., Petrov Yu.V., Shchegolev P.B., Telnova A.Yu., Tokarev V.A., Tols-tyakov S.Yu., Tukhmeneva E.A., Varfolomeev V.I., Yashin A.Yu., Zhiltsov N.S. // Nucl. Fusion. 2021. V. 61. P. 064001.
- Sabbagh S.A., Gross R.A., Mauel M.E., Navratil G.A., Bell M.G., Bell R., Bitter M., Bretz N.L., Budny R.V., Bush C.E., Chance M.S., Efthimion P.C., Fredrickson E.D., Hatcher R., Hawryluk R.J., Hirshman S.P., Janos A.C., Jardin S.C., Jassby D.L., Manickam J., McCune D.C., McGuire K.M., Medley S.S., Mueller D., Nagayama Y., Owens D.K., Okabayashi M., Park H.K., Ramsey A.T., Stratton B.C., Synakowski E.J., Taylor G., Wieland R.M., Zarnstorff M.C., Kesner J., Marmar E.S., Terry J.L. // Phys. Fluids B. 1991. V. 3. P. 2277.
- Nave M.F.F., Lomas P.J., Huysmans G.T.A., Alper B., Borba D., De Esch B., Gowers C.W., Guo H.Y., Jones T.T.C., Keilhacker M., Parail V.V., Rimini F.G., Schunke B., Smeulders P., Thomas P.R. // Nuclear Fusion. 1999. V. 39. P. 1567
- Mirnov S.V. // Nuclear Fusion. 1969. V. 9. P. 57.
- Захаров Л.Е., Шафранов В.Д. // Вопросы теории плазмы / Под ред. Леонтовича М.А. и Кадомце-ва Б.Б. Вып. 11. М.: Энергоатомиздат. 1982. С. 118.
- Pereverzev G.V., Yushmanov P.N. // Max-Planck-Institut für Plasmaphysik, ID 282186, http://edoc.mpg.de/282186.
- Sautera O., Angioni C. // Phys. Plasmas. 1999. V. 6. P. 2834
- Ivanov A.A., Khayrutdinov R.R., Medvedev S.Yu., Poshe-khonov Yu.Yu. // Max-Planck-Institut für Plasmaphysik, ID 282186, http://edoc.mpg.de/282186.
- Днестровский А.Ю., Пастухов В.П., Чудин Н.В. // Физика плазмы. 2017. Т. 43. С. 325.
- Azizov E.A., Leonov V.M., Panasenkov A.A., Tilinin G.N., Khvostenko P.P. // Transactions of Fusion Science & Technology. 2011. V. 6. № 1T. P. 180.
- Днестровский Ю.Н., Данилов А.В., Днестров-ский А.Ю., Лысенко С.Е., Сушков А.В.,Черкасов С.В. // ВАНТ. Сер. Термоядерный синтез. 2013. Т. 36. С. 45.
- Dnestrovskij Yu.N. // Plasma Phys. Controlled Fusion. 2021. V. 63. P. 055012.
- Alikaev V.V., Bagdasarov A.A., Bjrshegovskij A.A., Dremin M.M., Gorelov Yu.A., Esipchuk Yu.V., Kislov A.Ya., Kislov D.A., Lysenko S.E., Notkin G.E., Parail V.V., Rasumova K.A., Roj I.N., Trukhin V.M., Vasin N.L. // N-uclear Fusion. 1992. V. 32. P. 1811.
Supplementary files














