On the Possibility of Achieving Thermonuclear Ignition During Magnetic Compression of High-Temperature Magnetized Plasma by the Current of a Disk Explosive Magnetic Generator
- Authors: Ivanovskii A.V.1,2, Mamyshev V.I.1
-
Affiliations:
- All-Russian Research Institute of Experimental Physics, Russian Federal Nuclear Center
- Sarov Physicothechnical Institute, National Research Nuclear University MEPhI
- Issue: Vol 49, No 7 (2023)
- Pages: 638-646
- Section: МАГНИТНЫЕ ЛОВУШКИ
- URL: https://journal-vniispk.ru/0367-2921/article/view/139566
- DOI: https://doi.org/10.31857/S036729212360036X
- EDN: https://elibrary.ru/VYHERC
- ID: 139566
Cite item
Full Text
Abstract
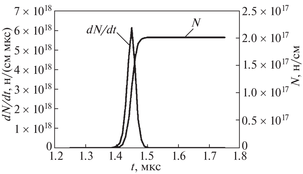
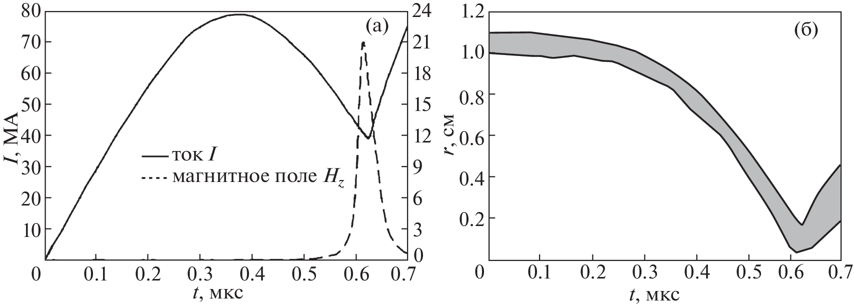
One of the directions for achieving thermonuclear ignition is compression of a heated, magnetized plasma by a liner. This concept was developed in the USA at the Z Machine (MagLIF project). To achieve ignition, it is necessary to create a current pulse with an amplitude of 60 MA or higher. The Z Machine produces currents with amplitudes up to 25 MA. The development of more powerful installations is a problem for the future. At the same time, today already, the explosive magnetic generators create the required currents with long current rise times. In this work, based on calculation results of the compression of a hot magnetized plasma, the possibilities of achieving ignition using modern disc explosive magnetic generators are discussed.
About the authors
A. V. Ivanovskii
All-Russian Research Institute of Experimental Physics, Russian Federal Nuclear Center; Sarov Physicothechnical Institute, National Research Nuclear University MEPhI
Email: ivanovsky@elph.vniief.ru
Russia, Moscow; 607186, Sarov, Nizhny Novgorod oblast, Russia
V. I. Mamyshev
All-Russian Research Institute of Experimental Physics, Russian Federal Nuclear Center
Author for correspondence.
Email: ivanovsky@elph.vniief.ru
Moscow, Russia
References
- Харитон Ю.Б., Мохов В.Н., Чернышев В.К., Яку-бов В.Б. // УФН. 1976. Т. 120. С. 706.
- Мохов В.Н., Чернышев В.К., Якубов В.Б., Прота-сов М.С., Данов В.М., Жаринов Е.И. // ДАН. 1979. Т. 247. С. 83.
- Буйко А.М., Волков Г.И., Гаранин С.Ф., Демидов В.A., Долин Ю.Н., Змушко В.В., Иванов В.А., Корчагин В.П., Ларцев М.В., Мамышев В.И., Мочалов А.П., Мо-хов В.Н., Морозов И.В., Москвичев Н.Н., Пак С.В., Павловский Е.С., Чернышев В.К., Якубов В.Б. // ДАН. 1995. Т. 344. С. 323.
- Lindemuth I., Reinovsky R.E., Christian R.E., Ekdahl C.F., Goforth J.H., Haight R.C., Idzorek G., King N.S., Kirpatrick R.C., Larson R.E., Morgan G.L., Olinger B.W., O-ona H., Sheehey P.T., Shlaster J.S., Smith R.C., Vee-ser L.R., Warthen B.J., Younger S.M., Chernychev V.K., Mokhov V.N., Demin A.N., Dolin Y.N., Garanin S.F., Ivanov V.A., Korchagin V.P., Pak S.V., Pavlovskii E.S., Sileznev N.Y., Skobelev A.N., Volkov G.I., Yakubov V.B. // Phys. Rev. Lett. 1995. V. 75. P. 1953. https://doi.org/10.1103/PhysRevLett.75.1953
- Garanin S.F. // IEEE Trans. Plasma Science. 1998. V. 26. P. 1230. https://doi.org/10.1109/27.7225155
- Garanin S.F., Mamyshev V.I., Palagina E.M. // IEEE Trans. Plasma Sci. 2006. V. 34. P. 2268.https://doi.org/10.1109/TPS.2006.878370
- Garanin S.F., Mamyshev V.I., Yakubov V.B. // IEEE Trans. Plasma Sci. 2006. V. 34. P. 2273.https://doi.org/10.1109/TPS.2006.878368
- Гаранин С.Ф. Физические процессы в системах МАГО-MTF. Саров: Российский федеральный ядерный центр – ВНИИ экспериментальной физики, 2012. 343 с.
- Chernychev V.K., Korchagin V.P., Babich L.P., Buren-kov O.M., Dolin Yu.N., Duday P.V., Dudin V.I., Iva-nov V.A., Ivanovsky A.V., Karpov G.V., Kraev A.I., Kudel’kin V.B., Kutsyk I.M., Mamyshev V.I., Morozov I.V., Pak S.V., Pollyushko, S.M., Shaidullin V.Sh., Skobe-lev A.N., Tokarev V.A., Volkov A.A., Volkov G.I. // IEEE Trans. Plasma Sci. 2016. V. 44. P. 250.https://doi.org/10.1109/TPS.2016.2524211
- Чернышев В.К., Корчагин В.П., Бабич Л.П., Бурен-ков О.М., Волков Г.И., Долин Ю.Н., Дудин В.И., Иванов В.А., Ивановский А.В., Карпов Г.В., Краев А.И., Куделькин В.Б., Морозов И.В., Пак С.В., Полюш-ко С.М., Скобелев А.Н., Токарев В.А., Зубаерова Р.Р. // Физика плазмы. 2018. Т. 44. С. 133.https://doi.org/10.7868/S0367292118020026
- Slutz S.A., Herrmann M.C., Vesey R.A., Sefkow A.B., Sinars D.B., Rovang D.C., Peterson K.J., Cuneo V.E. // Phys. Plasmas. 2010. V. 17. P. 056303.https://doi.org/10.1063/1.3333505
- Slutz S.A., Vesey R.A. // Phys. Rev. Lett. 2012. V. 108. P. 025003. https://doi.org/10.1103/PhysRevLett.108.025003
- Gomez M.R., Slutz S.A., Sefkow A.B., Sinars D.B., Hahn K.D., Hansen S.B., Harding E.C., Knapp P.F., Schmit P.F., Jennings C.A., Awe T.J., Geissel M., Ro-vang D.C., Chandler G.A., Cooper G.W., Cuneo M.E., Harvey-Thompson A.J., Herrmann M.C., Hess M.N., Johns O., Lamppa D.C., Martin M.R., Mcbride R.D., Peterson K.J., Porter J.L., Robertson G.K., Rochau G.A., Ruiz C.L., Savage M.E., Smith I.C., Stygar W.A., Vesey R.A. // Phys. Rev. Lett. 2014. V. 113. P. 155003.https://doi.org/10.1103/PhysREVLett.113.155003
- Gomez M.R., Slutz S.A., Knapp P.F., Hank R.D., Weis M.R., Harding E.C., Geissel M., Fein J.R., Glin-sky V.E., Hansen S.B., Harvey-Thompson A.J., Jen-nings C.A., Smith I.C., Woodbury D., Ampleford D.J., Awe T.J., Chandler G.A., Hess M.N., Lamppa D.C., Myers C.E., Ruiz C.L., Sefkow A.B., Schwarz J., Yager-Elorriaga D.A., Jones B., Porter J.L., Peterson K.J., Mcbride R.D., Rochau G.A., Sinars D.B. // IEEE Trans. Plasma Sci. 2019. V. 47. P. 2081. https://doi.org/10.1109/TRS.2019.2893517
- Knapp P.F., Gomez M.R., Hansen S.B., Glinsky M.E., Jennings C.A., Sluts S.A., Harding E.C., Hahn K.D., Weis M.R., Evans M. // Phys. Plasmas. 2019. V. 26. P. 012704.
- Gomez M.R., Slutz S.A., Sefkow A.B., Hahn K.D., HansenS.B., Knapp P.F., Schmit P.F., Ruiz C.L., Sinars D.B., Harding E.C., Jennings C.A., Awe T.J., Geissel M., Rovang D.C., Smith I.C., Chandler G.A., Cooper G.W., Cuneo M.E., Harvey-Thompson A.J., Hess M.N., Lamp-pa D.C., Martin M.R., Mcbride R.D., Peterson K.J., Porter J.L., Rochau G.A., Savage M.E., Stygar W.A., Ve-sey R.A., Herrmann M.C., Schroen D.G. // Phys. Plasmas. 2015. V. 22. P. 056306. https://doi.org/10.1063/4919394
- Гаранин С.Г., Ивановский А.В., Куликов С.М., Мамышев В.И., Певный С.Н., Рогачев В.Г. // Физика плазмы. 2022. Т. 47. С. 1.https://doi.org/10.31857/S036729212202007X
- Райзер Ю.П. Основы современной физики газоразрядных процессов. М., Наука, 1980.
- Felber F.S., Malley M.M., Wessel F.J., Matzen M.K., Palmer M.A., Spielman R.B., Liberman M.A., Veliko-vich A.L. // Phys. Fluids. 1988. V. 31. P. 2053.https://doi.org/10.1063/1.866657
- Golberg S.M., Liberman M.A., Velikovich A.L. // Plasma Phys Controlled Fusion. 1990. V. 32. P. 319.https://doi.org/10.1088/0741-3335/32/5/002
- McBride R.D., Slutz S.A., Vesey R.A., Gomez M.R., Sefkow A.B., Hansen S.B., Knapp P.F., Schmit P.F., Geis-sel M., Harvey-Thompson A.J., Jennings C.A., Har-ding E.C., Awe T.J., Rovang D.C., Hahn K.D., Mar-tin M.R., Cochrane K.R., Peterson K.J., Rochau G.A., Porter J.L., Stygar W.A., Campbell E.M., Nakhleh C.W., Herrmann M.C., Cuneo M.E., Sinars D.B. // Phys. Plasmas. 2016. V. 23. P. 012705.https://doi.org/10.1063/1.4939479
- Ермолович В.Ф., Ивановский А.В., Орлов А.П. // ВАНТ. сер. Теор. и прикл. физика. 1999. Вып. 1. С. 3.
- Вахрамеев Ю.С., Мохов В.Н., Попов Н.А. // Атомная энергия. 1980. Т. 49. С. 121.
- Ермолович В.Ф., Ивановский А.В., Орлов А.П., Селемир В.Д. // ЖТФ. 2000. Т. 70. С. 11.
- Брагинский C.И. // Вопросы теории плазмы / Под ред. М.А. Леонтовича. М.: Госатомиздат, 1963. Вып. 1. С. 183.
- Зельдович Я.Б., Райзер Ю.П. Физика ударных волн и высокотемпературных гидродинамических явлений. М.: Государственное из-во физико-математической литературы, 1963.
- Козлов Б.Н. // Атомная энергия. 1962. Т. 12. С. 238.
- Самарский А.А., Попов Ю.П. Разностные методы решения задач газовой динамики. М.: Наука, 1992. 422 с.
- Бакулин Ю.Д., Куропатенко В.Ф., Лучинский А.В. // ЖТФ. 1976. Т. 46. С. 1963.
- Кнопфель Г. Сверхсильные импульсные магнитные поля. М.: МИР, 1972.
- Гаранин С.Г., Мамышев В.И. // ПМТФ/ 1990. № 1. С. 30.
- Buyko A.M., Garanin S.F., Demidov V.A., Kostjukov V.N., Kuzjaev A.I., Kulagin A.A., Mamyshev V.I., Mokhov V.N., Petrukhin A.A., Piskarev P.N., Protasov M.S., Chernyshev V.K., Shevtsov V.A., Yakubov V.B. // Megagauss Fields and Pulsed Power systems (MG-V) / Eds. Ti-tov V.M., Shvetsov G.A. N.Y.: Nova Science Publishers, Commack, 1990. P. 743.
Supplementary files










