Computational Estimate of the DT-to-DD Neutron Yield Ratio for Plasma Focus Chambers
- Autores: Gaganov V.V.1, Garanin S.F.1, Dolinskii V.Y.1
-
Afiliações:
- Russian Federal Nuclear Center—All-Russian Research Institute of Experimental Physics (RFNC-VNIIEF)
- Edição: Volume 49, Nº 4 (2023)
- Páginas: 332-341
- Seção: PLASMA DYNAMICS
- URL: https://journal-vniispk.ru/0367-2921/article/view/139568
- DOI: https://doi.org/10.31857/S0367292123600012
- EDN: https://elibrary.ru/FKUOKK
- ID: 139568
Citar
Texto integral
Resumo
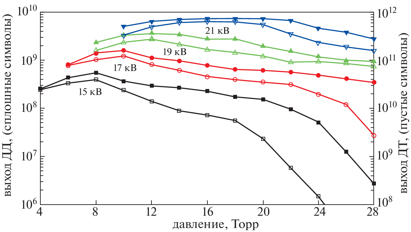
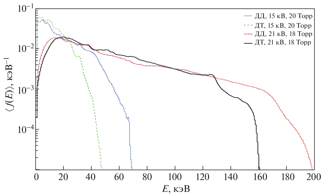
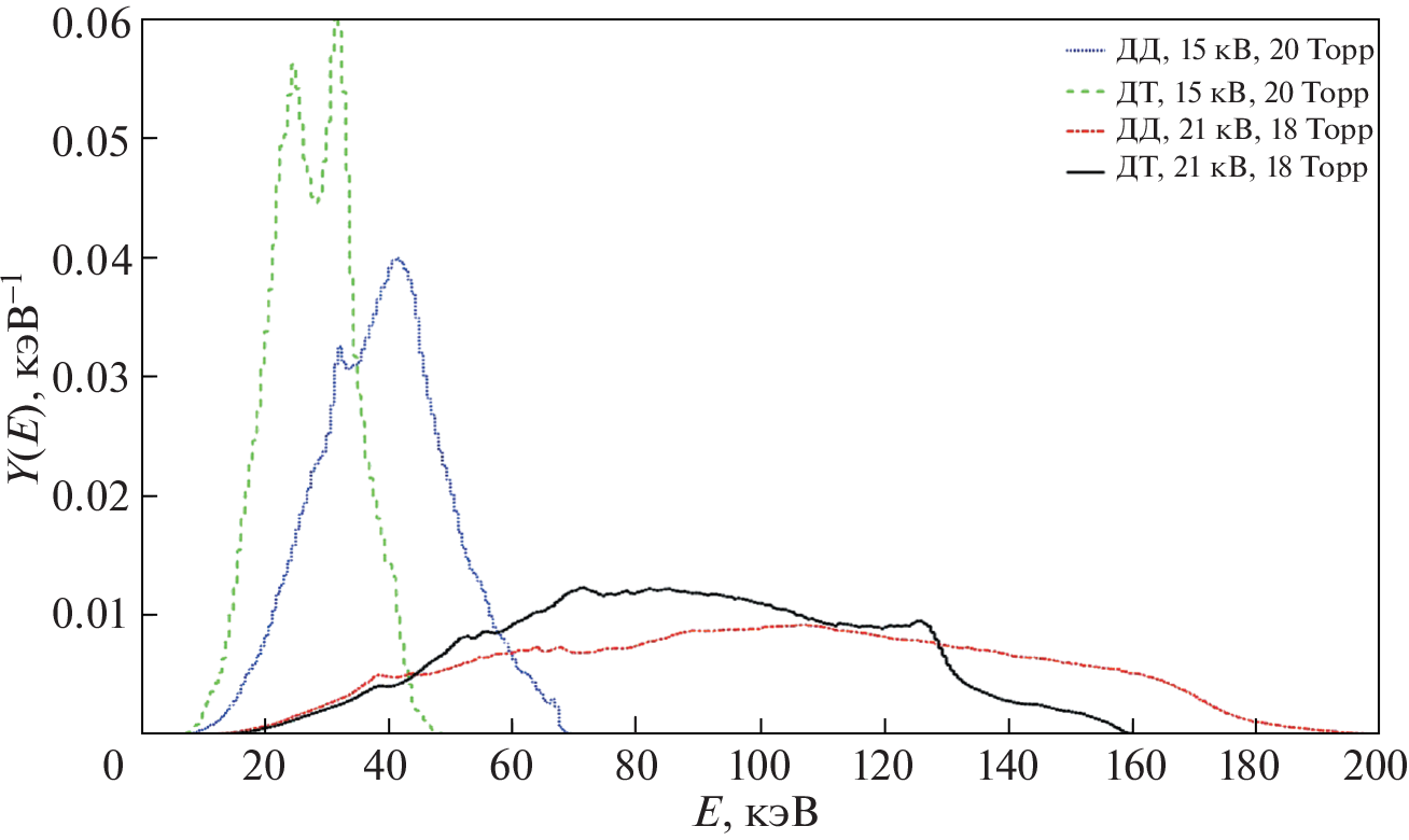
The paper presents a computational estimate of the DT-to-DD neutron yield ratio for a spherical plasma-focus chamber PF9. The computations were carried out by the MHD modelling using the beam–target mechanism for neutron production. The charging voltage of the capacitor bank was varied in the range from 15 to 25 kV, and the initial pressure of the working gas was varied in the range from 4 to 30 Torr. The computations showed that the ratio of the DT and DD neutron yields varies in a wide range from 2 to 120, while the ratio of the DT and DD reaction cross sections for the typical ion energies in the beam varies in the range from 95 to 122. An analysis of the computational results showed that the difference in the estimates of the neutron yield is due to the features in the ion energy distributions.
Palavras-chave
Sobre autores
V. Gaganov
Russian Federal Nuclear Center—All-Russian Research Institute of Experimental Physics (RFNC-VNIIEF)
Email: vyudolinskij@vniief.ru
607188, Sarov, Nizhny Novgorod oblast, Russia
S. Garanin
Russian Federal Nuclear Center—All-Russian Research Institute of Experimental Physics (RFNC-VNIIEF)
Email: vyudolinskij@vniief.ru
607188, Sarov, Nizhny Novgorod oblast, Russia
V. Dolinskii
Russian Federal Nuclear Center—All-Russian Research Institute of Experimental Physics (RFNC-VNIIEF)
Autor responsável pela correspondência
Email: vyudolinskij@vniief.ru
607188, Sarov, Nizhny Novgorod oblast, Russia
Bibliografia
- Sahlberg A., Eriksson J., Conroy S., Ericsson G., Hellesen C., King D. // Nucl. Fusion. 2019. V. 59. P. 126044.
- Иванов В.Д. // Письма в ЖЭТФ. 1985. T. 42. C. 269.
- Трубников B.A. // Письма в ЖЭТФ. 1985. T. 42. C. 317.
- Гаранин C.Ф., Мамышев В.И. // Физика плазмы. 2008. Т. 34. С. 695.
- Гаранин С.Ф., Долинский В.Ю., Мамышев В.И., Макеев Н.Г., Маслов В.В. // Физика плазмы. 2020. Т, 46. С. 890.
- Гаранин С.Ф., Долинский В.Ю. // Физика плазмы. 2021. Т. 47. С. 728.
- Klir D., Shishlov A.V., Kokshenev V.A., Kubes P., Re-zac K., Cherdizov R.K., Cikhardt J., Cikhardtova B., Dudkin G.N., Fursov F.I., Hyhlik T., Kaufman J., Kovalchuk B.M., Krasa J., Kravarik J., Kurmaev N.E., Labetsky A.Yu., Munzar V., Orcikova H., Padalko V.N., Ratakhin N.A., Sila O., Stodulka J., Turek K., Varla-chev V.A., Wagner R. // New J. Phys. 2018. V. 20. P. 053064.
- Klir D., Jackson S.L., Shishlov A.V., Kokshenev V.A., Rezac K., Beresnyak A.R., Cherdizov R.K., Cikhardt J., Cikhardtova B., Dudkin G.N., Engelbrecht J.T., Fur-sov F.I., Krasa J., Kravarik J., Kubes P., Kurmaev N.E., Munzar V., Ratakhin N.A., Turek K., Varlachev V.A. // Matter Radiation Extremes. 2020. V. 5. P. 026401.
- Davidson R.C., Gladd N.T. // Phys. Fluids. 1975. V. 18. P. 1327.
- Krall N.A., Liewer P.C. // Phys. Rev. A. 1971. V. 4. P. 2094.
- Гудблуд И.П., Пятак A.И., Сизоненко В.Л. // ЖЭТФ. 1973. Т. 64. С. 2084.
- Сасоров П.В. // Физика плазмы. 1992. Т. 18. С. 275.
- Chadwick M.B., Oblozinsky P., Herman M., Greene N.M., McKnight R.D., Smith D.L. // Nuclear Data Sheets. 2006. V. 107. P. 2931.
- Михайлов Ю.В., Лемешко Б.Д., Прокуратов И.A. // Физика плазмы. 2019. Т. 45. С. 323.
- Hogg G.R. The dense plasma focus as a pulsed deuterium-tritium neutron source. Australian Atomic Energy Commission Research Establishment, 1973. Rep. AAEC/E-279.
- Saw S.H., Lee S. // Internat. J. Energy Res. 2011. V. 35. P. 81.
- Бакшаев Ю.Л., Брызгунов В.A., Вихрев В.В., Воло-буев И.В., Данько С.A., Казанов E.Д., Королев В.Д., Клир Д., Мироненко-Маренков A.Д., Пименов В.Г., Смирнова E.A., Устроев Г.И. // Физика плазмы. 2014. Т. 40. С. 516.
- Аблесимов В.E., Долин Ю.Н., Пашко O.В., Циби-ков З.С. // Физика плазмы. 2010. Т. 36. С. 436.
- Klir D., Kravarik J., Kubes P., Rezac K., Anan’ev S.S., Bakshaev Yu.L., Blinov P.I., Chernenko A.S., Kaza-kov E.D., Korolev V.D., Meshcherov B.R., Ustroev G.I., Juha L., Krasa J., Velyhan A. // Phys. Plasmas. 2008. V. 15. P. 032701.
- Kubes P., Kravarik J., Klir D., Rezac K., Bohata M., Sholz M., Paduch M., Tomaszewski K., Ivanova-Sta-nik I., Karpinski L., Sadowski M. // IEEE Transac. Plasma Sci. 2009. V. 37. P. 83.
- Klir D., Kravarik J., Kubes P., Rezac K., Cikhardt J., Litseva E., Hyhlik T., Ananev S.S., Bakshaev Yu.L., Bryzgunov V.A., Chernenko A.S., Kalinin Yu.G., Kaza-kov E.D., Korolev V.D., Ustroev G.I., Zelenin A.A., Juha L., Krasa J., Velyhan A., Vysin L., Sonsky J., Volobuev I.V. // Plasma Phys. Controlled Fusion. 2010. V. 52. P. 065013.
Arquivos suplementares












