Скользящий по поверхности воды разряд, как источник УФ-излучения и гидроксильных радикалов в жидкости
- Авторы: Анпилов А.М.1, Бархударов Э.М.1, Козлов Ю.Н.2,3, Моряков И.В.1, Темчин С.М.1, Тактакишвили И.М.1
-
Учреждения:
- Институт общей физики им. А.М. Прохорова РАН
- ФИЦ химической физики им. Н.Н. Семёнова РАН
- Российский экономический университет им. Г.В. Плеханова
- Выпуск: Том 49, № 8 (2023)
- Страницы: 765-770
- Раздел: ИЗЛУЧЕНИЯ ПЛАЗМЫ
- URL: https://journal-vniispk.ru/0367-2921/article/view/139579
- DOI: https://doi.org/10.31857/S0367292123600401
- EDN: https://elibrary.ru/HGTAYL
- ID: 139579
Цитировать
Полный текст
Аннотация
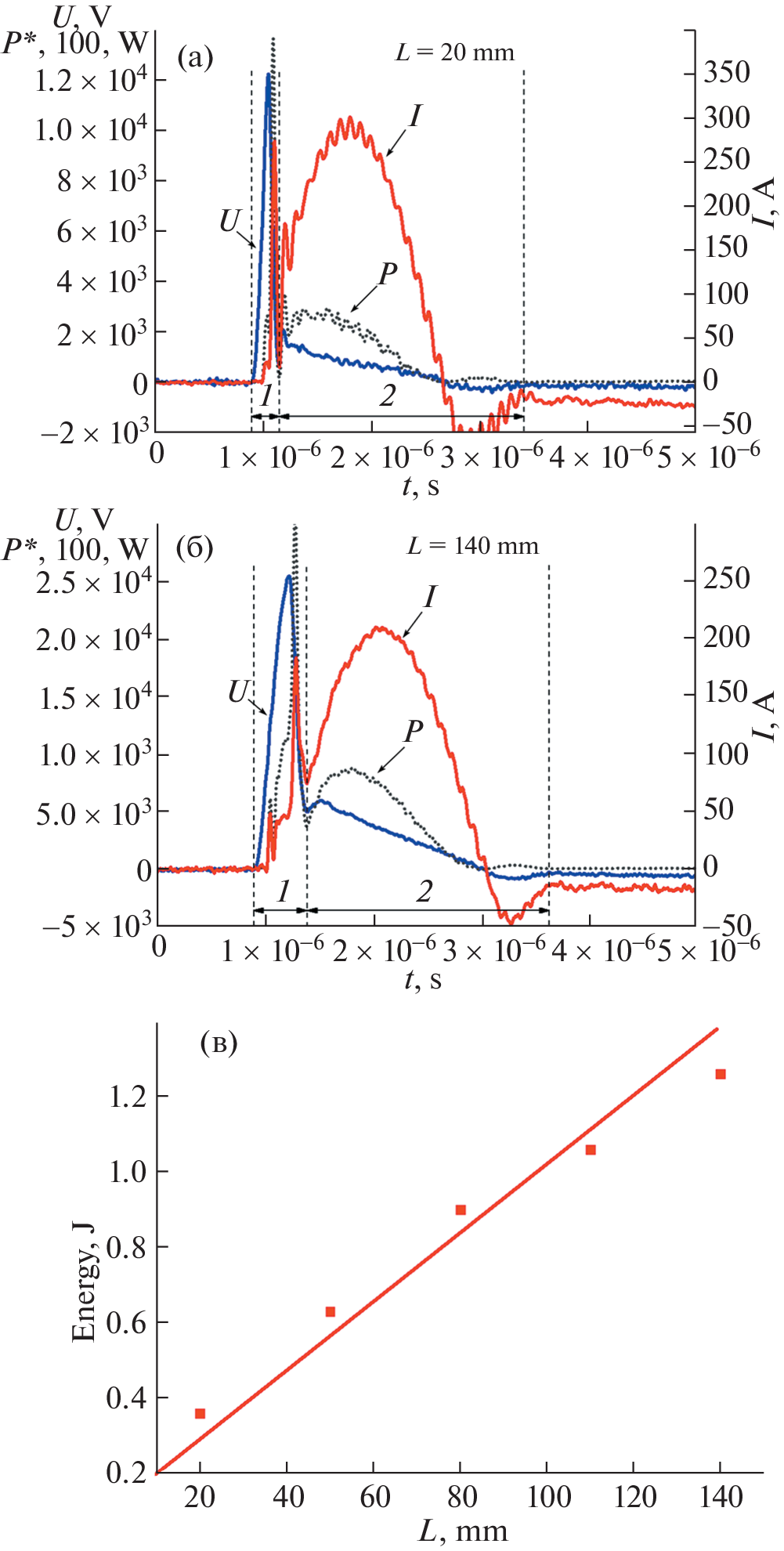
Исследовался высоковольтный импульсно-периодический поверхностный искровой разряд, распространяющийся вдоль границы вода–газ, когда в качестве газовой среды использовался Ar. В экспериментах использовался генератор с энергией накопительного конденсатора до 1.6 Дж, напряжением до 20 кВ, длительностью импульса 2–3 мкс. Проведены измерения энергетических характеристик разряда в зависимости от его длины от 40 до 140 мм. Измерена интенсивность УФ-излучения методом актинометрии в диапазоне длин волн от 200 нм до 380 нм. Установлено, что выход излучения УФ по длине разряда постоянен, практически не зависит от его длины и прямо пропорционален вкладываемой в разряд энергии. Энергетическая стоимость кванта излучения составила 150 эВ. Проведены количественные оценки наработки гидроксильных радикалов в зависимости от длины плазменного канала и вкладываемой в разряд энергии.
Ключевые слова
Об авторах
А. М. Анпилов
Институт общей физики им. А.М. Прохорова РАН
Email: igor_miw@mail.ru
Россия, Москва
Э. М. Бархударов
Институт общей физики им. А.М. Прохорова РАН
Email: igor_miw@mail.ru
Россия, Москва
Ю. Н. Козлов
ФИЦ химической физики им. Н.Н. Семёнова РАН; Российский экономический университет им. Г.В. Плеханова
Email: igor_miw@mail.ru
Россия, Москва; Россия, Москва
И. В. Моряков
Институт общей физики им. А.М. Прохорова РАН
Автор, ответственный за переписку.
Email: igor_miw@mail.ru
Россия, Москва
С. М. Темчин
Институт общей физики им. А.М. Прохорова РАН
Email: igor_miw@mail.ru
Россия, Москва
И. М. Тактакишвили
Институт общей физики им. А.М. Прохорова РАН
Email: igor_miw@mail.ru
Россия, Москва
Список литературы
- Samukawa S., Hori M., Rauf S., Tachibana K., Bruggeman P., Kroesen G., Whitehead J.C., Murphy A.B., Gut-so A.F., Starikovskaia S., Kortshagen U., Boeuf J.-P., Sommerer T.J., Kushner M.J., Czarnetzki U., Mason N. // Journal of Physics D: Appl. Phys. 2012. 45. 253001. P. 1–37. https://doi.org/10.1088/0022-3727/45/25/253001
- Bruggeman P., Leys C. // Journal of Physics D: Appl. Phys. 2009. 42. 053001. P. 1–28. https://doi.org/10.1088/0022-3727/42/5/053001
- Bruggeman P.J., Kushner M.J., Locke B.R., Gardeni-ers J.G.E., Graham W.G., Graves D.B., Hofman-Ca-ris R.C.H.M., Maric D., Reid J.P., Ceriani E., Fernandez Rivas D., Foster J.E., Garrick S.C., Gorbanev Y., Hamaguchi S., Iza F., Jablonowski H., Klimova E., Kolb J., Krcma F., Lukes P., Machala Z., Marinov I., Mariotti D., Mededovic Thagard S., Minakata D., Neyts E.C., Paw-lat J., Lj Petrovic Z., Pflieger R., Reuter S., Schram D.C., Schröter S., Shiraiwa M., Tarabová B., Tsai P.A., Ver-let J.R.R., von Woedtke T., Wilson K.R., Yasui K., Zve-reva G. // Plasma Sources Science and Technology. 2016. 053002. P. 1–59. https://doi.org/10.1088/0963-0252/25/5/053002
- Foster J.E., Sommers B.S., Gucker S.N., Blankson I.M., Adamovsky G. // IEEE Trans. Plasma Sci. 2012. V. 40. Issue. 5. P. 1311–23. https://doi.org/10.1109/TPS.2011.2180028
- Takaki K., Takahashi K., Hayashi N., Wang D., Ohshi-ma T. // Reviews of Modern Plasma Physics. 2021. V. 5. № 12. https://doi.org/10.1007/s41614-021-00059-9
- Naumova I.K., Maksimov A.I., Khlyustova A.V. // Surface Engineering and Applied Electrochemistry. 2011. V. 47. № 3. P. 263–265. https://doi.org/10.3103/S1068375511030136
- Konchekov E.M., Kolik L.V., Danilejko Y.K., Belov S.V., Artem’ev K.V., Astashev M.E., Pavlik T.I., Lukanin V.I., Kutyrev A.I., Smirnov I.G. Gudkov S.V. Plants. 2022. V.11. Is.10. 1373 https://doi.org/10.3390/plants11101373
- Skvortsova N.N., Stepakhin V.D., Borzosekov V.D., Sorokin A.A., Malakhov D.V., Kachmar V.V., Kolik L.V., Konchekov E.M., Gusein-zade N.G., Akmadullina N.S., Voronova E.V., Shishilov O.N. Microwave Plasma Imitation Experiments on Deposition of Lunar Dust on Metal Plates // Plasma Phys. Rep. 2023. V. 49. № 1. P. 120. https://doi.org/10.1134/S1063780X22601833
- Pavlik T., Gudkova V., Razvolyaeva D., Pavlova M., Kostukova N., Miloykovich L., Kolik L., Konchekov E., Shimanovskii N. The Role of Autophagy and Apoptosis in the Combined Action of Plasma-Treated Saline, Doxorubicin, and Medroxyprogesterone Acetate on K562 Myeloid Leukaemia Cells // IJMS. 2023. V. 24. № 6. P. 5100. https://doi.org/10.3390/ijms24065100
- Artem’ev K.V., Bogachev N.N., Gusein-zade N.G., Dolmatov T.V., Kolik L.V., Konchekov E.M., Andreev S.E. Study of Characteristics of the Cold Atmospheric Plasma Source Based on a Piezo Transformer // Russian Physics Journal. Springer. 2020. V. 62. № 11. P. 2073. https://doi.org/10.1007/s11182-020-01948-1
- Ashurov M.Kh., Ashurov E.M., Astashev M.E., Baim-ler I.V., Gudkov S.V., Konchekov E.M., Lednev V.N., Lukina N.A., Matveeva T.A., Markendudis A.G., One-gov A.V., Rashidova D.K., Sarimov R.M., Sergeichev K.F., Sharipov S.T., Simakin A.V., Smirnov I.G., Smolen-tsev S.Y., Yakubov M.M., Yanykin D.V., Shcherbakov I.A. Development of an Environmentally Friendly Technology for the Treatment of Aqueous Solutions with High-Purity Plasma for the Cultivation of Cotton, Wheat and Strawberries // ChemEngineering. 2022. V. 6. № 6. P. 91. https://doi.org/10.3390/chemengineering6060091
- Kuzin A., Solovchenko A., Khort D., Filippov R., Luka-nin V., Lukina N., Astashev M., Konchekov E. Effects of Plasma-Activated Water on Leaf and Fruit Biochemical Composition and Scion Growth in Apple // Plants. 2023. V. 12. № 2. P. 385. https://doi.org/10.3390/plants12020385
- Konchekov E.M., Glinushkin A.P., Kalinitchenko V.P., Artem’ev K.V., Burmistrov D.E., Kozlov V.A., Kolik L.V. Properties and Use of Water Activated by Plasma of Piezoelectric Direct Discharge // Frontiers in Physics. Frontiers Media S.A. 2021. V. 8. https://doi.org/10.3389/fphy.2020.616385
- Artem’ev K.V., Batanov G.M., Berezhetskaya N.K., Borzosekov V.D., Gritsinin S.I., Davydov A.M., Kolik L.V., Konchekov E.M., Kossyi I.A., Lebedev Y.A., Morya-kov I.V., Petrov A.E., Sarksyan K.A., Stepakhin V.D., Kharchev N.K., Shakhatov V.A. Synthesis of Nitrogen Oxides in a Subthreshold Microwave Discharge in Air and in Air Mixtures with Methane // Plasma Physics Reports, 2020. V. 46. № 3. P. 311. https://doi.org/10.1134/S1063780X20030010
- Анпилов А.М., Бархударов Э.М., Копьев В.А., Кос-сый И.А., Силаков В.П. // Физика плазмы. 2006. Т. 32. № 11. С. 1048.
- Anpilov A.M., Barkhudarov E.M., Kop’ev V.A., Kossyi I.A. 28 ICPIG, July 15–20, 2007, Prague, Czech Republic.
- Anpilov A.M., Barkhudarov E.M., Kozlov Yu.N., Kos-syi I.A., Misakyan M.A., Moryakov I.V., SmirnovM.G., Taktakishvili M.I., Temchin S.M. // Journal of Physics: Conf. Ser. 2021. P. 012012. https://doi.org/10.1088/1742-6596/2055/1/012012
- Калвер Дж., Питтс Дж. Фотохимия. М., 1968.
- Anpilov A.M., Barkhudarov E.M., Bark Yu.B., Zadira-ka Yu.V., Christofi N., Kozlov Yu.N., Kop’ev V.A., Kos-syi I.A., Silakov V.P., Taktakishvili M.I., Temchin S.M. // J. Phys. D.: Appl. Phys. 2001. V. 34. P. 993.
- Aнпилов A.M., Бархударов Э.M., Двоенко А.В., Козлов Ю.Н., Коссый И.А., Моряков И.В., Тактакишвили М.И., Темчин С.М. // Успехи прикладной физики. 2016. Т. 4. № 3. С. 265.
- Hatchard C.G., Parker C.A. // Proc. Roy. Soc., London. 1956. V. A235. P. 518–536.
- Анпилов А.М., Бархударов Э.М., Козлов Ю.Н., Коссый И.А., Мисакян М.А., Моряков И.В., Тактакишвили М.И., Тарасова Н.М., Темчин С.М. // Физика плазмы. 2019. Т. 45. № 3. С. 268. https://doi.org/10.1134/S036729211902001X
- Rabani J., MulacW.A., Matheson M.S. // J. Phys. Chem. 1965. V.69. 53.






