Коррозия железа в радиационной плазме влажного воздуха
- Авторы: Бабичев В.Н.1, Галеева К.Э.1, Кириченко А.Н.1, Некрасов А.А.1, Угодчикова А.В.1, Трушкин Н.И.1, Филиппов А.В.1,2, Черепанова Ю.В.1, Черковец В.Е.1
-
Учреждения:
- ГНЦ РФ “Троицкий институт инновационных и термоядерных исследований”
- Объединенный институт высоких температур
- Выпуск: Том 49, № 5 (2023)
- Страницы: 412-424
- Раздел: НИЗКОТЕМПЕРАТУРНАЯ ПЛАЗМА
- URL: https://journal-vniispk.ru/0367-2921/article/view/139584
- DOI: https://doi.org/10.31857/S036729212260159X
- EDN: https://elibrary.ru/VEIBZO
- ID: 139584
Цитировать
Полный текст
Аннотация
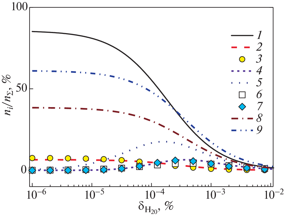
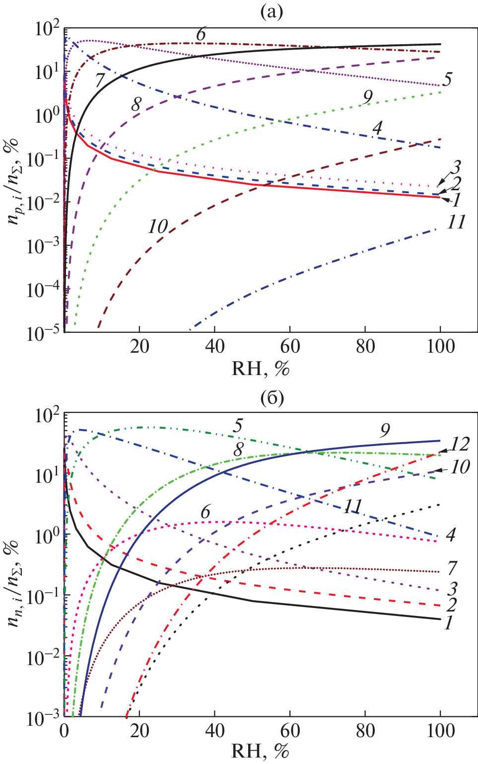
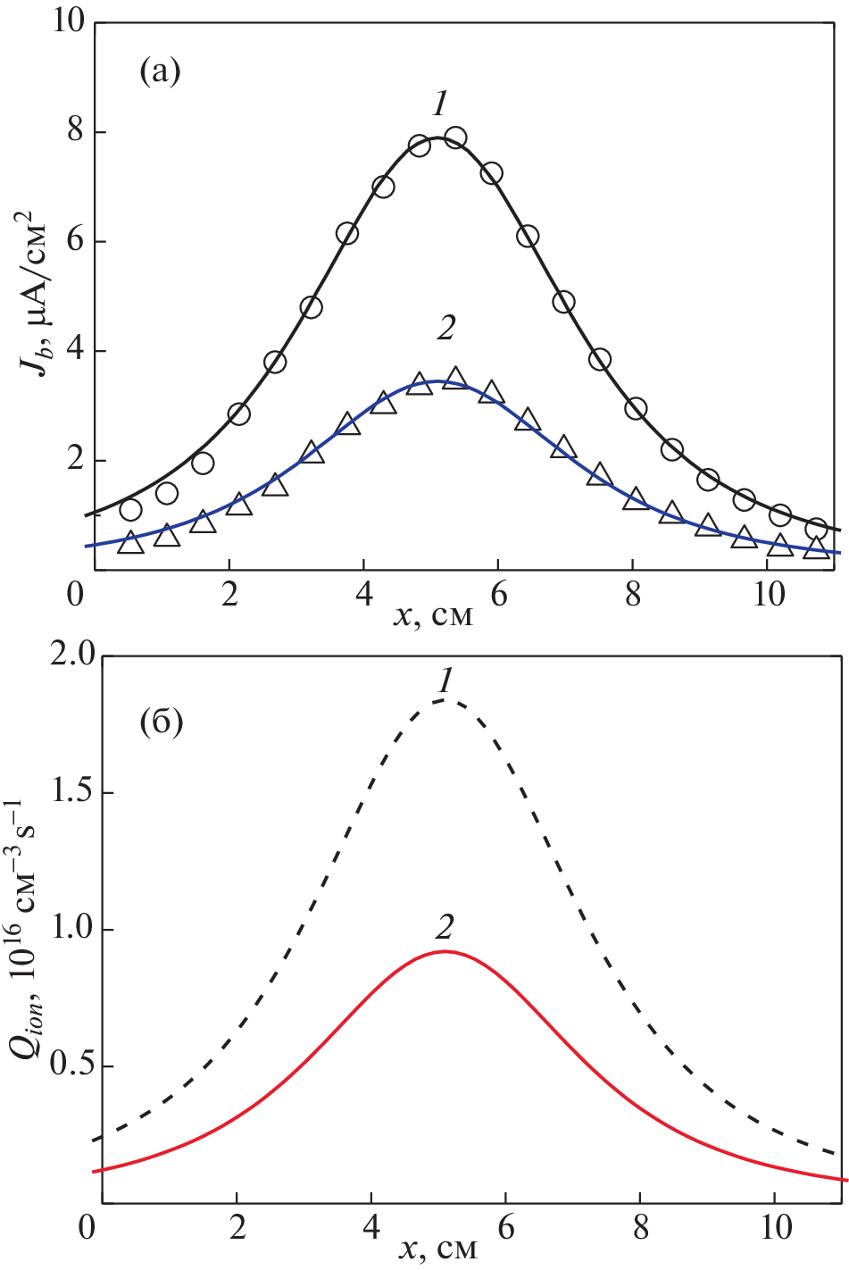
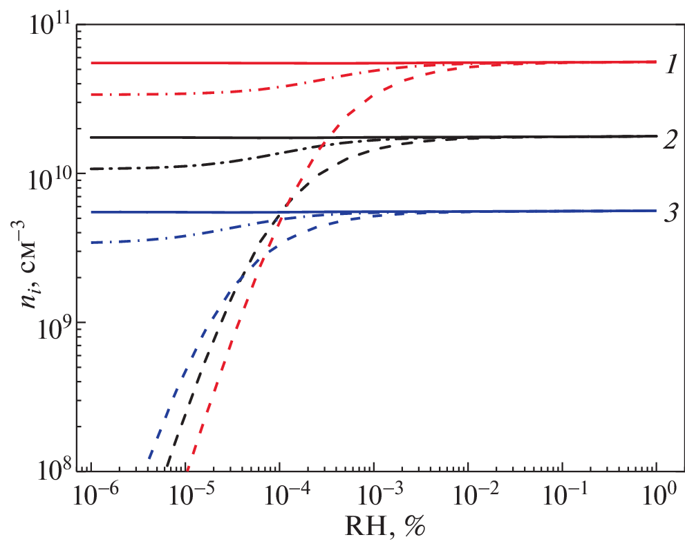
Представлены результаты экспериментальных исследований по измерению скорости коррозии железа в низкотемпературной плазме влажного воздуха, формируемой под действием пучка быстрых электронов, в зависимости от величины относительной влажности воздуха. Показано, что поток быстрых электронов, который является идеальным имитатором действия радиоактивного β-излучения, значительно интенсифицирует коррозию железа в плазмообразующей газовой среде, в которой одновременно присутствуют кислород и пары воды. Установлено, что скорость коррозии в условиях радиоактивного облучения резко возрастает, когда относительная влажность воздуха превышает 10%. Проведено численное моделирование ионного состава плазмы с учетом 12 положительных и 12 отрицательных гидратированных ионов при разных интенсивностях источника внешней ионизации и при разных значениях относительной влажности от 10–6 до 100%. На основе проведенных оценок выдвинута гипотеза об определяющей роли кластерных гидратированных ионов, обильно образующихся в плазме влажного воздуха при атмосферном давлении, в гетерогенных процессах окисления железа.
Ключевые слова
Об авторах
В. Н. Бабичев
ГНЦ РФ “Троицкий институт инновационных и термоядерных исследований”
Email: trushkin@triniti.ru
Россия, Москва
К. Э. Галеева
ГНЦ РФ “Троицкий институт инновационных и термоядерных исследований”
Email: trushkin@triniti.ru
Россия, Москва
А. Н. Кириченко
ГНЦ РФ “Троицкий институт инновационных и термоядерных исследований”
Email: trushkin@triniti.ru
Россия, Москва
А. А. Некрасов
ГНЦ РФ “Троицкий институт инновационных и термоядерных исследований”
Email: trushkin@triniti.ru
Россия, Москва
А. В. Угодчикова
ГНЦ РФ “Троицкий институт инновационных и термоядерных исследований”
Email: trushkin@triniti.ru
Россия, Москва
Н. И. Трушкин
ГНЦ РФ “Троицкий институт инновационных и термоядерных исследований”
Email: trushkin@triniti.ru
Россия, Москва
А. В. Филиппов
ГНЦ РФ “Троицкий институт инновационных и термоядерных исследований”; Объединенный институт высоких температур
Email: trushkin@triniti.ru
Россия, Москва; Россия, Москва
Ю. В. Черепанова
ГНЦ РФ “Троицкий институт инновационных и термоядерных исследований”
Email: trushkin@triniti.ru
Россия, Москва
В. Е. Черковец
ГНЦ РФ “Троицкий институт инновационных и термоядерных исследований”
Автор, ответственный за переписку.
Email: trushkin@triniti.ru
Россия, Москва
Список литературы
- Бялобжевский А.В. Радиационная коррозия М.: Наука, 1967.
- Lapuerta S., Bererd N., Moncoffre N., Millard-Pinard N., Jaffrezic H., Crusset D., Feron D. // J. Nuclear Materials. 2008. V. 375. P. 80.
- Филиппов А.В., Бабичев В.Н., Дятко Н.А., Паль А.Ф., Старостин А.Н., Таран М.Д., Фортов В.Е. // ЖЭТФ. 2006. Т. 129. С. 386.
- Cason C., Perkins J., Werkheiser A., Duderstadt J. // AIAA. 1977. Paper № 77. P. 65.
- Томашов Н.Д., Чернова Г.П. Теория коррозии и коррозионностойкие конструкционные сплавы. М.: Металлургия, 1986. С. 359.
- Phipps P.B.P., Rice D.W. // ACS Symp. Ser. 1979. V. 89. P. 235.
- Филиппов А.В., Дербенев И.Н., Дятко Н.А., Кур-кин С.А., Лопанцева Г.Б., Паль А.Ф., Старостин А.Н. // ЖЭТФ. 2017. Т. 152. С. 293.
- Стародубцев С.В., Романов А.М. Прохождение заряженных частиц через вещество, Ташкент: Изд-во АН Узбекской ССР, 1962.
- Журавлев Б.В., Напартович А.П., Паль А.Ф., Пичугин В.В., Родин А.В., Старостин А.Н., Таран Т.В., Таран М.Д., Филиппов А.В. // Физика плазмы. 1988. Т. 14. С. 233.
- Petukhov A.V. // Chemical Phys. Lett. 1997. V. 277. P. 539.
- Савенкова И.В., Фатьянова Е.А. Коррозия металлов. Методы защиты металлов от коррозии: методические указания по выполнению лабораторной работы и для самостоятельной работы студентов технических специальностей. Курск: Юго-Зап. гос. ун-т, 2013. С. 22.
- Pourbaix M., Pourbaix A. // Corrosion. 1989. V. 45. P. 71.
- Филиппов А.В., Дербенев И.Н., Куркин С.А. // ЖЭТФ. 2017. Т. 152. С. 1131.
- Франк-Каменецкий Д.А. Диффузия и теплопередача в химической кинетике. М.: Наука, 1987. С. 502.
- Паль А.Ф., Старостин А.Н., Филиппов А.В. // Физика плазмы. 2001. Т. 27. С. 155.
- Hagelaar G.J., Pitchford L.C. // Plasma Sources Sci. Technol. 2005. V. 14 (4). P. 722.
- Pancheshnyi S., Biagi S.F., Bordage M.C., Hagela-ar G.J.M., Morgan W.L., Phelps A.V., Pitchford L.C. // Chem. Phys. 2012. V. 389. P. 148.
- Pitchford L.C., Alves L.L., Bartschat K., Biagi S.F., Bordage M.C., Bray I., Pancheshnyi S. // Plasma Processes Polymers. 2017. V. 14. P. 1600098.
- Улиг Г., Реви Р. Коррозия и борьба с ней. Введение в коррозионную науку и технику / Под ред. А.М. Сухотина. Л.: Химия, 1989.
Дополнительные файлы












