Influence of Current and Interelectrode Gap on Characteristics of Longitudinal–Transverse Discharge in a Supersonic Airflow
- Authors: Perevoshchikov E.E.1, Firsov A.A.1
-
Affiliations:
- Joint Institute for High Temperatures, Russian Academy of Sciences
- Issue: Vol 49, No 5 (2023)
- Pages: 488-494
- Section: LOW TEMPERATURE PLASMA
- URL: https://journal-vniispk.ru/0367-2921/article/view/139610
- DOI: https://doi.org/10.31857/S0367292123600218
- EDN: https://elibrary.ru/VFFSDA
- ID: 139610
Cite item
Full Text
Abstract
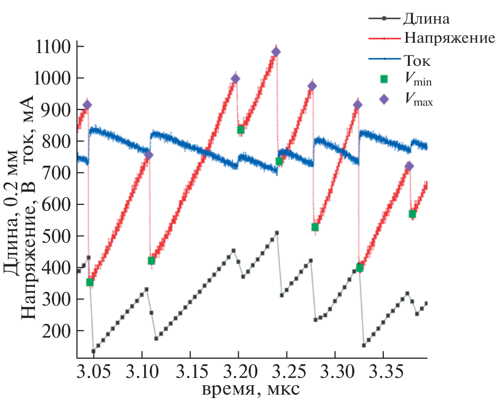
This work is devoted to the problem of stable operation of a longitudinal–transverse discharge in a supersonic flow and its parameters. A longitudinal–transverse discharge in an air flow with parameters M = 2, V ~ 500 m/s, Tg = 170 K, Pst = 22 kPa is considered. High-speed imaging and data acquisition were used to obtain data on the variation of the discharge length, current, and voltage over time. The main purpose of the work was to investigate the dynamics of DC discharge and to describe relations between its geometrical and electrical parameters. Experiments were aimed at obtaining detailed data on the influence of interelectrode distance and discharge current on discharge length and, consequently, on voltage and power release, as well as to determine typical breakdown frequencies depending of discharge parameters. The electrode fall voltage was determined.
About the authors
E. E. Perevoshchikov
Joint Institute for High Temperatures, Russian Academy of Sciences
Email: af@jiht.org
125412, Moscow, Russia
A. A. Firsov
Joint Institute for High Temperatures, Russian Academy of Sciences
Author for correspondence.
Email: valentin.bityurin@gmail.com
125412, Moscow, Russia
References
- Poggie J., McLaughlin T., Leonov S. // Aerospace-Lab J. 2015. № 10. P. AL10-01. https://doi.org/10.12762/2015.AL10-01
- Ershov A.P., Surkont O.S., Timofeev I.B., Shibkov V.M., Chernikov V.A. // High Temperature. 2004. V. 42. P. 667. https://doi.org/10.1023/B:HITE.0000046519.53287.47
- Firsov A., Savelkin K.V., Yarantsev D.A., Leonov S.B. // Philos. Trans. R. Soc. A. 2015. V. 373. P. 2048. https://doi.org/10.1098/rsta.2014.0337
- Alferov V.I., Bushmin A.S. // Soviet Phys. JETP. 1963. V. 17. P. 1190.
- Alferov V.I., Bushmin A.S., Kalachev B.V. // Soviet Phys. JETP. 1967. V. 24. P. 859.
- Ershov A.P., Kalinin A.V., Surkont O.S., Timofeev I.B., Shibkov V.M., Chernikov V.A. // High Temperature. 2004. V. 42. P. 865. https://doi.org/10.1007/S10740-005-0029-0
- Bychkov V.L., Grachev L.P., Esakov I.I., Ravaev A.A., Khodataev K.V. // Technical Phys. 2004. V. 49. P. 833. https://doi.org/10.1134/1.1778855
- Шибков В.М., Шибкова Л.В., Логунов А.А. // Физика плазмы. 2017. Т. 43. № 3. С. 314 Shibkov V.M., Shibkova L.V., Logunov A.A. // Plasma Phys. Rep. 2017. V. 43. P. 373. https://doi.org/10.1134/S1063780X17030114
- Шибков В.М., Шибкова Л.В., Логунов А.А. // Физика плазмы. 2018. Т. 44. № 8. С. 661. Shibkov V.M., Shibkova L.V., Logunov A.A. // Plasma Phys. Rep. 2018. V. 44. P. 754. https://doi.org/10.1134/S1063780X18080056
- Шибков В.М., Корнев К.Н., Логунов А.А., Нестеренко Ю.К. // Физика плазмы. 2022. Т. 48. С. 657–663. = Shibkov V.M., Kornev K.N., Logunov A.A., Nesteren-ko Yu.K. // Plasma Phys. Rep. 2022. V. 48. P. 806–811. https://doi.org/10.1134/S1063780X22700258
- Shibkova L.V., Shibkov V.M., Logunov A.A., Dolb-nya D.S., Kornev K.N. // High Temperature. 2020. V. 58. № 6. P. 754. https://doi.org/10.1134/S0018151X2006019X
- Ershov A.P., Kamenshchikov S.A., Kolesnikov E.B., Logunov A.A., Firsov A.A., Chernikov V.A. // Fluid Dynamics. 2008. V. 43. P. 605. https://doi.org/10.1134/S0015462808040133
- Leonov S.B., Savelkin K.V., Firsov A.A., Yarantsev D.A. // High Temperature. 2010. V. 48. P. 896. https://doi.org/10.1134/S0018151X10060179
- Firsov A.A., Kolosov N.S. // J. Phys. Conf. Ser. 2021. V. 2100. P. 012017. https://doi.org/10.1088/1742-6596/2100/1/012017
- Leonov S.B., Elliott S., Carter C., Houpt A., Lax P., Ombrello T. // Exp. Therm. Fluid Sci. 2021. V. 124. P. 110355. https://doi.org/10.1016/J.EXPTHERMFLUSCI.2021.110355
- Битюрин В.А., Добровольская А.С., Бочаров А.Н., Фирсов А.А. // Физика плазмы. 2023. Т. 49. № 5. = Bityurin V.A., Dobrovolskaya A.S., Bocharov A.N., Fir-sov A.A. // Plasma Phys. Rep. 2023. V. 49. № 5. https://doi.org/10.31857/S0367292123600267
- Efimov A.V., Firsov A.A., Kolosov N.S., Leonov S.B. // Plasma Sources Sci. Technol. 2020. V. 29. P. 07LT01. https://doi.org/10.1088/1361-6595/AB9C94
- Firsov A.A., Efimov A.V., Kolosov N.S., Moralev I.A., Leonov S.B. // J. Phys. Conf. Ser. 2021. V. 2100. P. 012007. https://doi.org/10.1088/1742-6596/2100/1/012007
- Tang M., Wu Y., Wang H. // Acta Astronaut. 2022. V. 198. P. 577. https://doi.org/10.1016/j.actaastro.2022.07.010
- Ma X., Fan J., Wu Y., Liu X., Xue R. // Phys. Fluids. 2022. V. 34. P. 086102. https://doi.org/10.1063/5.0095487
- Andrews P., Lax P., Leonov S. // Energies (Basel). 2022. V. 15. P. 7104. https://doi.org/10.3390/EN15197104
- Falempin F., Firsov A.A., Yarantsev D.A., Goldfeld M.A., Timofeev K., Leonov S.B. // Exper. Fluids. 2015. V. 56. P. 54. https://doi.org/10.1007/S00348-015-1928-4
- Ferrero A. // Aerospace. 2020. V. 7. P. 32. https://doi.org/10.3390/aerospace7030032
- Watanabe Y., Elliott S., Firsov A., Houpt A., Leonov S. // J. Phys. D Appl. Phys. 2019. V. 52. P. 444003. https://doi.org/10.1088/1361-6463/AB352F
- Hongyu W., Feng X., Jie L., Cheng Y., Yanguang Y. // Acta Astronaut. 2021. V. 187. P. 325. https://doi.org/10.1016/j.actaastro.2021.06.049
- Gong G., Li Y., Wang Y., Kuang P. // AIP Adv. 2020. V. 10. P. 055212. https://doi.org/10.1063/1.5145235
- Dvinin S.A., Ershov A.P., Timofeev I.B., Chernikov V.A., Shibkov V.M. // High Temperature. 2004. V. 42. P. 171. https://doi.org/10.1023/B:HITE.0000026147.82949.36
- Moralev I., Kazanskii P., Bityurin V., Bocharov A., Fir-sov A., Dolgov E., Leonov S. // J. Phys. D Appl. Phys. 2020. V. 53. P. 425203. https://doi.org/10.1088/1361-6463/AB9D5A
- Bityurin V.A., Bocharov A.N., Kuznetsova T.N. // J. Phys. Conf. Ser. 2020. V. 1698. P. 012027. https://doi.org/10.1088/1742-6596/1698/1/012027
- Tarasov D.A., Firsov A.A. // J. Phys. Conf. Ser. 2021. V. 2100. P. 012015. https://doi.org/10.1088/1742-6596/2100/1/012015
- Bourlet A., Labaune J., Tholin F., Pechereau F., Vincent-Randonnier A., Laux C.O. // AIAA Sci. Technol. Forum Exposition, AIAA SciTech Forum 2022. P. 2022-0831. https://doi.org/10.2514/6.2022-0831
- Трошкин Р.С., Фирсов А.А. // Физика плазмы. 2023. Т. 49. № 5. = Troshkin R.S., Firsov A.A. // Plasma Phys. Rep. 2023. V. 49. № 5. https://doi.org/10.31857/S036729212360022X
- Битюрин В.А., Бочаров А.Н., Добровольская А.С., Попов Н.А., Фирсов А.А. // Физика плазмы. 2023. Т. 49. № 5. Bityurin V.A., Bocharov A.N., Dobrovol-skaya A.S., Popov N.A., Firsov A.A. // Plasma Phys. Rep. 2023. V. 49. № 5. https://doi.org/10.31857/S0367292123600255
- Houpt A., Hedlund B., Leonov S., Ombrello T., Carter C. // Exp. Fluids. 2017. V. 58. P. 25. https://doi.org/10.1007/S00348-016-2295-5
- Logunov A.A., Kornev K.N., Shibkova L.V., Shibkov V.M. // High Temperature. 2021. V. 59. P. 19. https://doi.org/10.1134/S0018151X21010119
- Firsov A., Bityurin V., Tarasov D., Dobrovolskaya A., Troshkin R., Bocharov A. // Energies (Basel). 2022. V. 15. P. 7015. https://doi.org/10.3390/en15197015
Supplementary files











