Two-Dimensional Distribution of Plasma Electric Potential in the T-10 Tokamak
- Authors: Ammosov Y.M.1,2, Khabanov F.O.3, Drabinskiy M.A.1, Melnikov A.V.1,2,4, Eliseev L.G.1, Kharchev N.K.1,5, Lysenko S.E.1
-
Affiliations:
- National Research Centre “Kurchatov Institute”
- Moscow Institute of Physics and Technology (National Research University)
- University of Wisconsin-Madison
- National Research Nuclear University “Moscow Engineering Physics Institute”
- Prokhorov General Physics Institute, Russian Academy of Sciences
- Issue: Vol 49, No 10 (2023)
- Pages: 947-952
- Section: TOKAMAKS
- URL: https://journal-vniispk.ru/0367-2921/article/view/232764
- DOI: https://doi.org/10.31857/S0367292123600656
- EDN: https://elibrary.ru/EPYZPV
- ID: 232764
Cite item
Full Text
Abstract
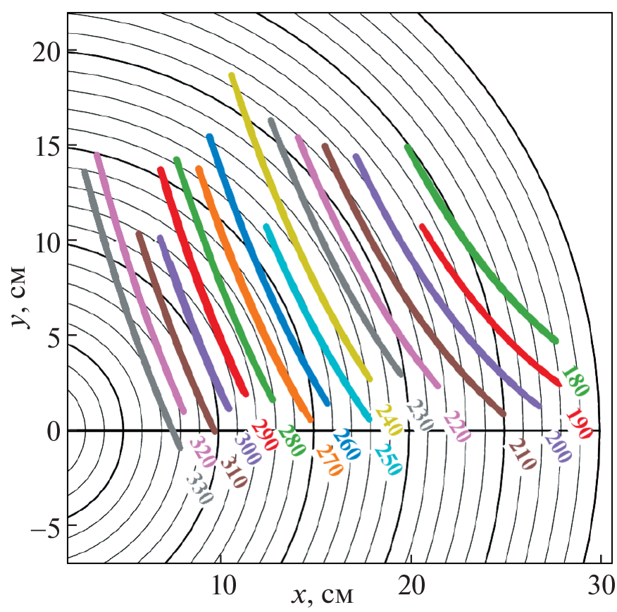
Heavy ion beam probe (HIBP) is a unique plasma diagnostics that makes it possible to measure the electric potential φ of high-temperature plasma and its fluctuations y, as well as the density ne and poloidal magnetic field Bpol fluctuations. Position of the point of performing measurements in the plasma vertical cross-section depends on the beam energy and angle of its entrance into the plasma. The variation of these two parameters makes it possible to construct a two-dimensional (2D) detector grid, which covers the domain of possible measurements. The measurement results obtained in the detector grid points provide for constructing 2D distributions of plasma parameters. For the OH and ECRH stages of the T-10 tokamak shots, 2D distributions of the plasma electric potential are presented for the regime with the on-axis magnetic field of Bt = 2.2 T, plasma current of Ipl = 230 kA, line-average density of ne ≈ 1.1 × 1019 m–3 and off-axis ECRH power of PECRH = 1.7 MW.
About the authors
Ya. M. Ammosov
National Research Centre “Kurchatov Institute”; Moscow Institute of Physics and Technology (National Research University)
Email: ammosov.ium@phystech.edu
123182, Moscow, Russia; 141701, Dolgoprudny, Russia
F. O. Khabanov
University of Wisconsin-Madison
Email: melnikov_07@yahoo.com
53706, Madison, WI, USA
M. A. Drabinskiy
National Research Centre “Kurchatov Institute”
Email: melnikov_07@yahoo.com
123182, Moscow, Russia
A. V. Melnikov
National Research Centre “Kurchatov Institute”; Moscow Institute of Physics and Technology (National Research University); National Research Nuclear University “Moscow Engineering Physics Institute”
Email: melnikov_07@yahoo.com
123182, Moscow, Russia; 141701, Dolgoprudny, Russia; 115409, Moscow, Russia
L. G. Eliseev
National Research Centre “Kurchatov Institute”
Email: melnikov_07@yahoo.com
123182, Moscow, Russia
N. K. Kharchev
National Research Centre “Kurchatov Institute”; Prokhorov General Physics Institute, Russian Academy of Sciences
Email: melnikov_07@yahoo.com
123182, Moscow, Russia; 119991, Moscow, Russia
S. E. Lysenko
National Research Centre “Kurchatov Institute”
Author for correspondence.
Email: melnikov_07@yahoo.com
123182, Moscow, Russia
References
- Jobes F.C., Hickok R.L. // Nucl. Fusion. 1970. V. 10. P. 195. https://doi.org/10.1088/0029-5515/10/2/015
- Jobes F.C., Marshall J.F., Hickok R.L. // Phys. Rev. Lett. 1969. V. 22. P. 1042. https://doi.org/10.1103/PhysRevLett.22.1042
- Melnikov A.V., Eliseev L.G., Drabinskij M.A., Khaba-nov P.O., Kharchev N.K., Lysenko S.E., Zenin V.N., Krupnik L.I., Chmyga A.A., Deshko G.N., Khrebtov S.M., Komarov A.D., Kozachek A.S., Zhezhera A.I., Barca-la J.M., Bravo A., Hidalgo C., Lopez J., Martin G., Molinero A., De Pablos J.L., Soleto A., Ufimtsev M.V. // N-ucl. Fusion. 2017. V. 57. P. 072004. https://doi.org/10.1088/1741-4326/aa5382
- Melnikov A.V., Drabinskiy M.A., Eliseev L.G., Khaba-nov P.O., Kharchev N.K., Krupnik L.I., De Pablos J.L., Kozachek A.S., Lysenko S.E., Molinero A., Igonki-na G.B., Sokolov M.M. // Fusion Eng. Des. 2019. V. 146. P. 850. https://doi.org/10.1016/j.fusengdes.2019.01.096
- Shimizu A., Ido T., Kurachi M., Makino R., Nishiura M., Kato S., Nishizawa A., Hamada Y. // Rev. Sci. Instrum. 2014. V. 85. P. 1. https://doi.org/10.1063/1.4891975
- Sharma R., Khabanov P.O., Melnikov A.V., Hidalgo C., Cappa A., Chmyga A., Eliseev L. G., Estrada T., Khar-chev N. K., Kozachek A.S., Krupnik L.I., Malaquias A., van Milligen B., Molinero A., de Pablos J.L., Pastor I., Zenin V.N. // Phys. Plasmas. 2020. V. 27. P. 062502. https://doi.org/10.1063/1.5142996
- Melnikov A.V., Eliseev L.G., Barcala J.M., Cappa A., Chmyga A., Drabinskij M.A., Hidalgo C., Khabanov P.O., Kharchev N.K., Kozachek A.S. et al. // Plasma Phys. Control. Fusion. 2022. V. 64. P. 054009. https://doi.org/10.1088/1361-6587/ac5b4c
- Ammosov Y.M., Khabanov F.O., Drabinskiy M.A., Melnikov A.V., Eliseev L.G., Kharchev N.K., Lysenko S.E. // MTPDA 2022. Moscow: NRNU MEPhI, 2022. P. 6.
- Drabinskiy M.A., Melnikov A.V., Khabanov P.O., Elise-ev L.G., Kharchev N.K., Ilin A.M., Sarancha G.A., Vadimov N.A. // J. Instrum. 2019. V. 14. P. C11027. https://doi.org/10.1088/1748-0221/14/11/C11027
- Khabanov P.O., Melnikov A.V., Minaev V.B., Koma-rov A.D. // Problems Atomic Sci. Technol. Ser. Plasma Phys. 2020. V. 130. P. 195. https://doi.org/10.46813/2020-130-195
- Bagdasarov A.A., Buzankin V.V., Vasin N.L., Gorbu-nov E.P., Denisov V.F., Kuleshov E.M., Savchenko V.N., Khilil’ V.V., Shcherbov V.A. // Diagnostika plazmy (Plasma diagnostics). Moscow: Energoatomizdat, 1981. V. 4. P. 141.
- Esipchuk Y.V., Kirneva N.A., Borschegovskij A.A., Chistyakov V.V., Denisov V.Ph., Dremin M.M., Gorbu-nov E.P., Grashin S.A., Kalupin D.V., Khimchenko L.N. et al. // Plasma Phys. Control. Fusion. 2003. V. 45. P. 793. https://doi.org/10.1088/0741-3335/45/5/320
- Grashin S.A., Arkhipov I.I., Budaev V.P., Karpov A.V., Klyuchnikov L.A., Khimchenko L.N., Melnikov A.V., Sarychev D.V., Sergeev N.S., Zemtsov I.A. // Fusion Eng. Des., 2019. V. 146B. P. 2100. https://doi.org/10.1016/j.fusengdes.2019.03.115
- Andreev V.F., Borschegovskij A.A., Chistyakov V.V., Dnestrovskij Yu.N., Gorbunov E.P., Kasyanova N.V., Lysenko S.E., Melnikov A.V., Myalton T.B., Roy I.N., Sergeev D.S., Zenin V.N. // Plasma Phys. Control. Fusion. 2016. V. 58. P. 055008. https://doi.org/10.1088/0741-3335/58/5/055008
- Гридина Т.В., Валенсиа О., Питерский В.В., Плоскирев Е.Г., Плоскирев Г.Н., Позняк В.И. // ICPAF 2011. Zvenigorod, 2011. URL: http://www.fpl.gpi.ru/Zvenigorod/XXXVIII/Mu/ru/BX-Gridina.doc.
- Melnikov A.V., Eliseev L.G., Perfilov S.V., Andreev V.F., Grashin S.A., Dyabilin K.S., Chudnovskiy A.N., Isaev M.Yu., Lysenko S.E., Mavrin V.A. et al. // Nucl. Fusion. 2013. V. 53. P. 093019. https://doi.org/10.1088/0029-5515/53/9/093019
- Melnikov A.V., Eliseev L.G., Drabinskij M.A., Grashin S.A., Khabanov P.O., Kharchev N.K., Lysenko S.E., Zenin V.N., T-10 Team // 27th IAEA Fusion Energy Conference (FEC 2018) – IAEA CN-258. 2018. EX/P5-10. URL: https://nucleus.iaea.org/sites/fusionportal/Shared%20Documents/FEC%202018/fec2018-preprints/preprint0058.pdf.
- Melnikov A.V., Eliseev L.G., Grashin S.A., Drabinskiy M.A., Khabanov P.O., Kharchev N.K., Krupin V.A., Lysen-ko S.E., Nemets A.R., Nurgaliev M.R., Ryzhakov D.A., Shurygin R.V., Soloviev N.A., Vershkov V.A. and T‑10 Team // 28th IAEA Fusion Energy Conference (FEC 2020). 2021. EX/6-5. URL: https://nucleus.iaea.org/sites/fusionportal/Shared%20Documents/FEC%202020/fec2020-preprints/preprint0661.pdf.
- Драбинский М.А., Елисеев Л.Г., Хабанов Ф.О., Мельников А.В., Зенин В.Н., Харчев Н.К., Грашин С.А. // ICPAF 2018. Zvenigorod, 2018. P. 107.
- Drabinskiy M.A., Khabanov P.O., Melnikov A.V., Elise-ev L.G., Kharchev N. // ICPAF-2021. Zvenigorod, 2021.
- Ammosov Y.M., Khabanov P.O., Drabinskiy M.A., Melnikov A.V., Eliseev L.G., Kharchev N.K., Lysenko S.E. // Phys. Atomic Nucl. 2022. V. 85. P. 2071. https://doi.org/10.1134/s1063778822100040
- Drabinskiy M.A., Eliseev L.G., Khabanov P.O., Melni-kov A.V., Kharchev N.K., Sergeev N.S., Grashin S.A. // J. Phys. Conf. Ser. 2019. V. 1383. P. 012004. https://doi.org/10.1088/1742-6596/1383/1/012004
- Drabinskiy M.A., Melnikov A.V., Eliseev L.G., Khabanov P.O., Kharchev N.K., Lysenko S.E. // J. Phys. Conf. Ser. 2021. V. 2055. P. 012001. https://doi.org/10.1088/1742-6596/2055/1/012001
- Melnikov A.V., Krupnik L.I., Ascasibar E., Cappa A., Chmyga A.A., Deshko G.N., Drabinskij M.A., Eliseev L.G., Hidalgo C., Khabanov P.O. et al. // Plasma Phys. Control. Fusion. 2018. V. 60. P. 084008. https://doi.org/10.1088/1361-6587/aac97f
Supplementary files









