Сравнительный анализ высокочастотных плазменных драйверов с различными защитными экранами для атомарных инжекторов с многосекундной длительностью импульса
- Авторы: Воинцев В.А.1, Финашин Р.А.1, Гаврисенко Д.Ю.1, Шиховцев И.В.2, Бельченко Ю.И.1, Горбовский А.И.1, Кондаков А.А.1, Сотников О.З.1, Санин А.Л.1
-
Учреждения:
- Институт ядерной физики им. Г.И. Будкера СО РАН
- Институт ядерной фиBudker Institute of Nuclear Physics, Siberian Branch, Russian Academy of Sciencesзики им. Г.И. Будкера СО РАН
- Выпуск: Том 49, № 10 (2023)
- Страницы: 964-974
- Раздел: ИОННЫЕ И ПЛАЗМЕННЫЕ ИСТОЧНИКИ
- URL: https://journal-vniispk.ru/0367-2921/article/view/232771
- DOI: https://doi.org/10.31857/S0367292123600929
- EDN: https://elibrary.ru/EHFUJL
- ID: 232771
Цитировать
Полный текст
Аннотация
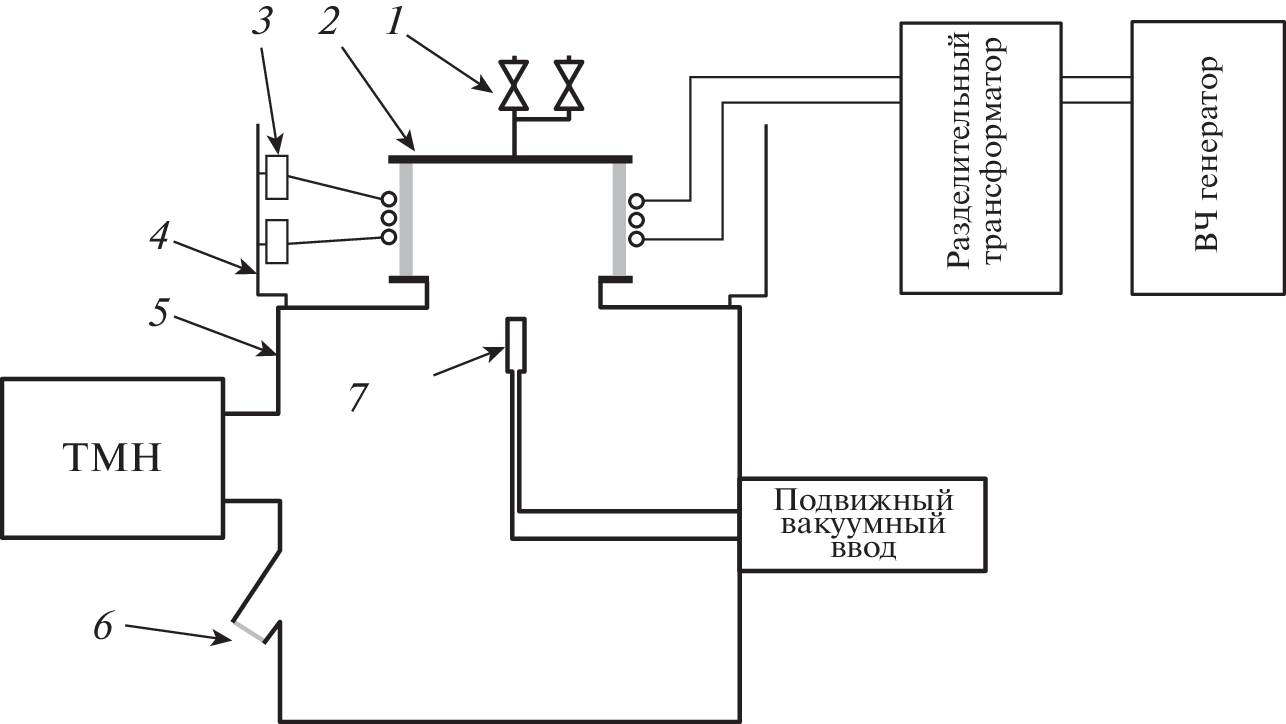
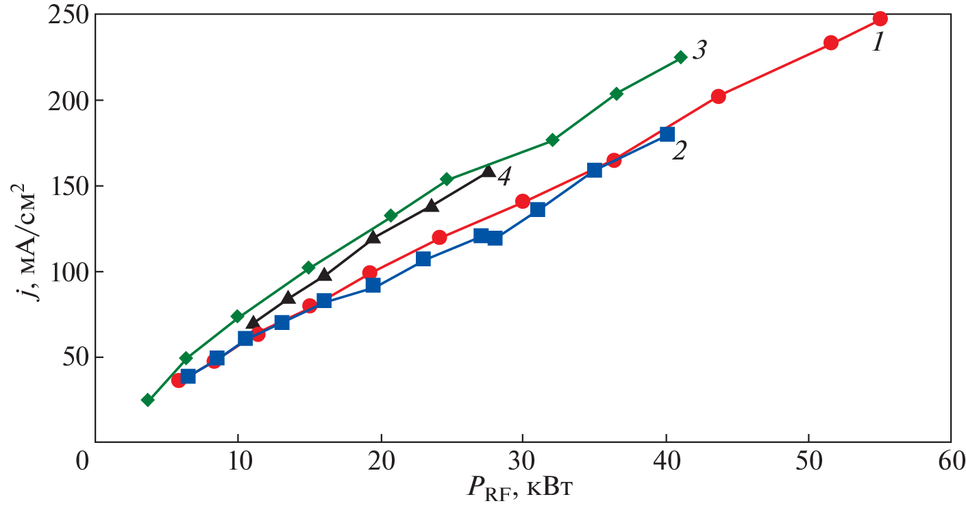
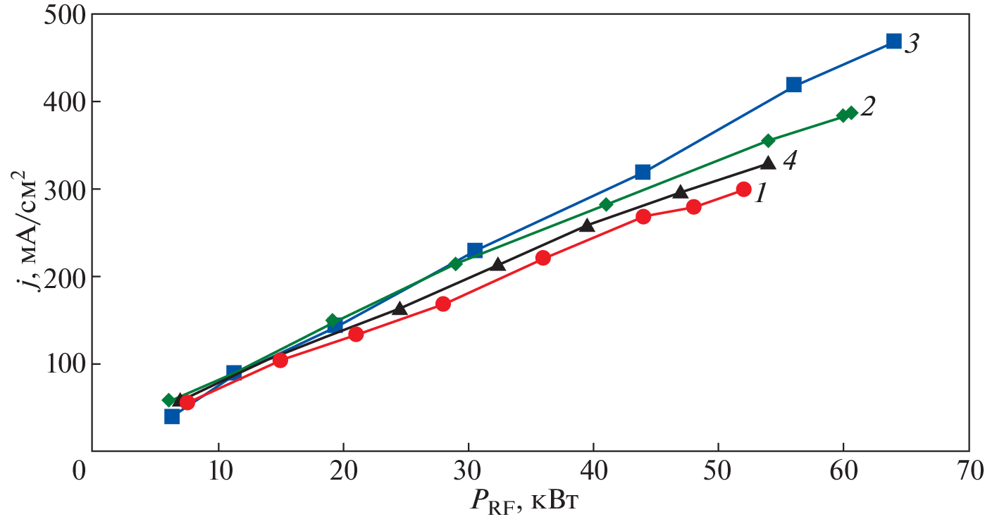
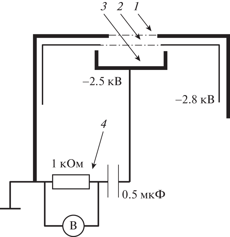
Инжекция атомарных пучков является одним из основных способов нагрева плазмы в термоядерных установках. В Институте ядерной физики им. Г.И. Будкера СО РАН разрабатывается инжектор пучка атомов водорода высокой энергии для нагрева плазмы, основанный на ускорении и нейтрализации пучка отрицательных ионов водорода. В инжекторе используется высокочастотный поверхностно-плазменный источник, в котором поток плазмы создается с помощью высокочастотного драйвера – индукционного высокочастотного (ВЧ) разряда, поджигаемого внутри цилиндрической керамической камеры при подаче ВЧ-напряжения на внешнюю трехвитковую антенну. В рамках этих работ разрабатывается новая версия высокочастотного драйвера. Для предотвращения перегрева и эрозии керамической стенки драйвера используется защитный экран. Исследуется работа нескольких конфигураций ВЧ-драйвера с разными защитными экранами. Предложенные экраны в разной степени уменьшают эффективность передачи ВЧ-мощности в разряд, но при этом позволяют реализовать работу ионного источника в многосекундных или стационарных импульсах.
Об авторах
В. А. Воинцев
Институт ядерной физики им. Г.И. Будкера СО РАН
Email: d.gavrisenko@g.nsu.ru
Россия, Новосибирск
Р. А. Финашин
Институт ядерной физики им. Г.И. Будкера СО РАН
Email: d.gavrisenko@g.nsu.ru
Россия, Новосибирск
Д. Ю. Гаврисенко
Институт ядерной физики им. Г.И. Будкера СО РАН
Email: d.gavrisenko@g.nsu.ru
Россия, Новосибирск
И. В. Шиховцев
Институт ядерной фиBudker Institute of Nuclear Physics, Siberian Branch, Russian Academy of Sciencesзики им. Г.И. Будкера СО РАН
Email: d.gavrisenko@g.nsu.ru
Россия, Новосибирск
Ю. И. Бельченко
Институт ядерной физики им. Г.И. Будкера СО РАН
Email: d.gavrisenko@g.nsu.ru
Россия, Новосибирск
А. И. Горбовский
Институт ядерной физики им. Г.И. Будкера СО РАН
Email: d.gavrisenko@g.nsu.ru
Россия, Новосибирск
А. А. Кондаков
Институт ядерной физики им. Г.И. Будкера СО РАН
Email: d.gavrisenko@g.nsu.ru
Россия, Новосибирск
О. З. Сотников
Институт ядерной физики им. Г.И. Будкера СО РАН
Email: d.gavrisenko@g.nsu.ru
Россия, Новосибирск
А. Л. Санин
Институт ядерной физики им. Г.И. Будкера СО РАН
Автор, ответственный за переписку.
Email: d.gavrisenko@g.nsu.ru
Россия, Новосибирск
Список литературы
- SotnikovO., Ivanov A., Belchenko Yu., Gorbovsky A., Deichuli P., Dranichnikov A., Emelev I., Kolmogorov V., Kondakov A., Sanin A., Shikhovtsev I. // Nuclear Fusion. 2021. V. 61. № 11. 116017.
- Shikhovtsev I., Abdrashitov G., Belchenko Yu., Belov V., Davydenko V., Gorbovsky A., Ivanov A., Kapitonov V., Kondakov A., Mishagin V., Sanin A., Sotnikov O., Shu-bin E. // AIP. Conf. Proc. 2018. V. 2052. 040016.
- Prokhorov I.A., Abdrashitov G.F., Averbukh I.I., Be-lov V.P., Davydenko V.I., Ivanov A.A., Kapitonov V.A., Kolmogorov V.V., Kondakov A.A., Shikhovtsev I.V., Sorokin A.V., Tkachev A.A. // Fusion Science and Technology. 2013. V. 63 (1T). P. 349.
- Fasel D., Andrebe Y., Dubray J., Karpushov A., Kolmogorov V., Marletaz B., Marmillod P., Muehle L., Perez A., Shikhovtsev I., Siravo U. // Fusion Engineering and Design.2017. V. 123. P. 331.
- Sorokin A., Belov V., Davydenko V., Deichuli P., Ivanov A., Podyminogin A., Shikhovtsev I., Shulzhenko G., Stupishin N., Tiunov M. // Rev. Sci. Instrum. 2010. V. 81. 02B108.
- Speth E., Ciric M., Feist J.H., Frank P., Heinemann B., Kraus W., Probst F., Riedl R., Trainham R., Vollmer O., Wilhelm R. // Fusion Engineering and Design. 1999. V. 46. Iss. 2–4. P. 383.
- McNeely P., Äkäslompolo S., Auerweck W., Drider Y., Ford O.P., Hartmann D.A., Heinemann B., Heinrich S., Hopf C., Kairys R., Obermayer S., Riedl R., Rong P., Rust N., Schroeder R., Wolf R.C. // Fusion Engineering and Design. 2020. V. 161.111997.
- Marcuzzi D., Agostinetti P., Dalla Palma M., Falter H.D., Heinemann B., Riedl R. 2007. V. 82. Iss. 5–14. P. 798.
- Heinemann B. et al. // New J. Phys. 2017. V. 19.015001.
- Yuming Gu, Yahong Xie, Jianglong Wei, Yongjian Xu, Jun Li, Caichao Jiang, Lizhen Liang, Yuanlai Xie, Chundong Hu // Rev Sci Instrum.2019. V. 90. 113315.
- Sen P. Principles of electric machines and power electronics. N.Y.: John Wiley & Sons, 1997. P. 64.
- Атабеков Г.И. Основы теории цепей. СПб.: Лань, 2009.
- Гоноровский И.С. Радиотехнические цепи и сигналы / Уч. для радиотехнических вузов и факультетов. М.: Сов. радио, 1963.
- Воинцев В.А., Гаврисенко Д.Ю., Кондаков А.А., Сотников О.З., Финашин Р.А. // Сибирский физический журнал. 2022. V. 17. № 3. P. 5.
Дополнительные файлы


















