Численное исследование влияния испарения материала тугоплавкого и нетугоплавкого анода на параметры микродугового разряда
- Авторы: Сайфутдинов А.И.1, Германов Н.П.1, Сорокина А.Р.1, Сайфутдинова А.А.1
-
Учреждения:
- Казанский национальный исследовательский технический университет им. А.Н. Туполева – КАИ
- Выпуск: Том 49, № 10 (2023)
- Страницы: 982-994
- Раздел: ВЗАИМОДЕЙСТВИЕ ПЛАЗМЫ С ПОВЕРХНОСТЯМИ
- URL: https://journal-vniispk.ru/0367-2921/article/view/232783
- DOI: https://doi.org/10.31857/S0367292123600589
- EDN: https://elibrary.ru/EQFVDB
- ID: 232783
Цитировать
Полный текст
Аннотация
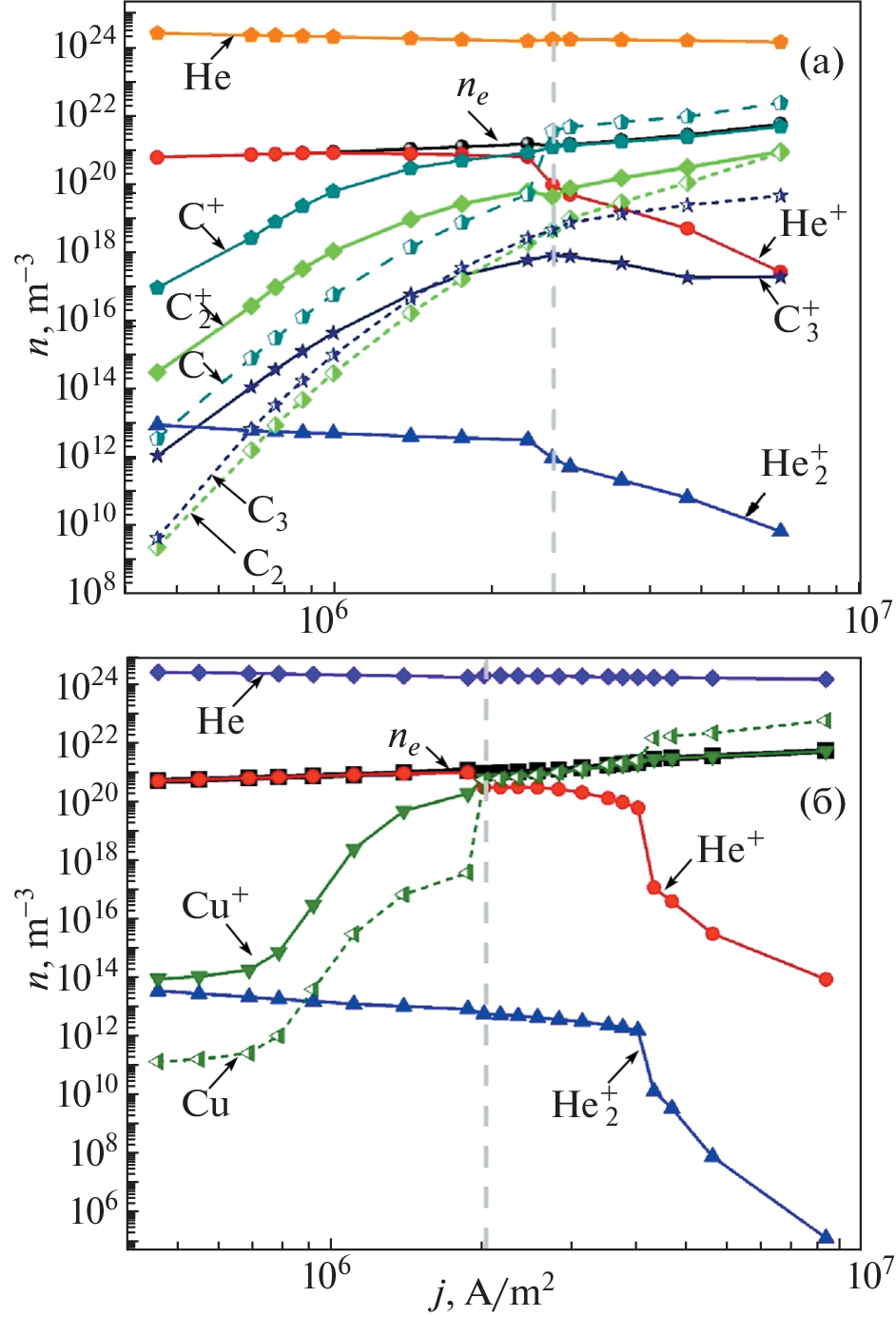
Представлены результаты численных исследований по влиянию испарения материала анода на основные характеристики дугового разряда. Расчеты проведены для дуги в буферном инертном газе – гелии с тугоплавким (на примере графита) и нетугоплавким (на примере меди) анодом. Представлены зависимости основных параметров дугового разряда от плотности тока. Показано, что при достижении температуры плавления поверхности анода наблюдается интенсивное испарение частиц анода в разрядный промежуток. Происходит смена плазмообразующего иона, т.е. доминирующим сортом ионов становится ион углерода в случае графитового анода, или ион меди – в случае медного. При этом на зависимости напряжения от плотности тока (ВАХ) разряда наблюдается скачок потенциала. Для различных значений точек на ВАХ представлены распределения основных параметров плазмы вдоль разрядного промежутка.
Об авторах
А. И. Сайфутдинов
Казанский национальный исследовательский технический университет им. А.Н. Туполева – КАИ
Email: as.uav@bk.ru
Россия, Казань
Н. П. Германов
Казанский национальный исследовательский технический университет им. А.Н. Туполева – КАИ
Email: as.uav@bk.ru
Россия, Казань
А. Р. Сорокина
Казанский национальный исследовательский технический университет им. А.Н. Туполева – КАИ
Email: as.uav@bk.ru
Россия, Казань
А. А. Сайфутдинова
Казанский национальный исследовательский технический университет им. А.Н. Туполева – КАИ
Автор, ответственный за переписку.
Email: as.uav@bk.ru
Россия, Казань
Список литературы
- Райзер Ю.П. Физика газового разряда, М.: Интеллект, 2009.
- Рохлин Г.Н. Разрядные источники света. М.: Энергоатомиздат, 1991. 720 с.
- Fridman A., Gutsol A., Cho Y.I. Non-thermal atmospheric pressure plasma Advances in Heat Transfer ed A. Fridman, Y. Cho, A. George and A. B.-C. Greene. New York: Acad. Press, 2007.
- Qin B., Zhang T., Chen H., Ma Y. // Carbon. 2016. T. 102. C. 494.
- Park Y.S., Kodama S., Sekiguchi H. // Nanomaterials. 2021. T. 11. № 9. C. 2214.
- Vekselman V., Raitses Y., Shneider M.N. // Physical Review E. 2019. T. 99. № 6. C. 063205.
- Timerkaev B.A., Kaleeva A.A., Timerkaeva D.B., Saifutdinov A.I. // High Energy Chemistry. 2019. T. 53. C. 390.
- Shavelkina M.B., Ivanov P.P., Bocharov A.N., Ami-rov R.H. // Plasma Chemistry and Plasma Processing. 2021. T. 41. C. 171.
- Nowack M., Leidich S., Reuter D., Kurth S., Kuech-ler M., Bertz A., Gessner T. // Sensors and Actuators A: Physical. 2012. T. 188. C. 495.
- Jhavar S., Paul C.P., Jain N.K. // Jom. 2016. T. 68. C. 1801.
- Keidar M., Beilis I.I. // J. Appl. Phys. 2009. V. 106. 103304
- Lebouvier A., Iwarere S.A., Ramjugernath D., Fulche-ri L. // Journal of Physics D: Applied Physics. 2013. V. 46. № 14. P. 145203.
- Timofeev N.A., Sukhomlinov V.S., Zissis G., Mukharae-va I.Yu., Mikhaylov D.V., Mustafaev A.S., Dupuis P., Solikhov D.Q., Borodina V.S. // IEEE Transactions on Plasma Science. 2021. V. 49. № 8. P. 2387.
- Maharaj A., D’Angola A., Colonna G., Iwarere S.A. // Frontiers in Physics. 2021. V. 9. C. 652.
- Musielok J. // Contributions to Plasma Physics. 1977. V. 17. P. 135.
- Cram L.E., Poladian L., Roumeliotis G. // Journal of Physics D: Applied Physics. 1988. V. 21. P. 418.
- Almeida N.A., Benilov M.S., Naidis G.V. // Journal of Physics D: Applied Physics. 2008. V. 41. № 24. P. 245201.
- Almeida N.A., Benilov M.S., Hechtfischer U., Nai-dis G.V. // Journal of Physics D: Applied Physics. 2009. V. 42. № 4. P. 045210.
- Kolev S., Bogaerts A.A. // Plasma Sources Science and Technology. 2014. V. 24. № 1. P. 015025.
- Saifutdinov A.I., Fairushin I.I., Kashapov N.F. / JETP Letters. 2016. V. 104. № 3. P. 180.
- Eliseev S.I., Kudryavtsev A.A., Liu H., Ning Zh., Yu D., Chirtsov A.S. // IEEE Transactions on Plasma Science. 2016. V. 44. № 11. P. 2536.
- Semenov I.L., Krivtsun I.V., Reisgen U. // Journal of Physics D: Applied Physics. 2016. V. 49. № 10. P. 105204.
- Almeida N.A., Cunha M.D., Benilov M.S. // Journal of Physics D: Applied Physics. 2017. V. 50. № 38. P. 385203.
- Kolev S., Sun S., Trenchev G., Wang W., Wang H., Bogaerts A. // Plasma Processes and Polymers. 2017. V. 14. № 4-5. C. 1600110.
- Khrabry A., Kaganovich I.D., Nemchinsky V., Khodak A. // Physics of Plasmas. 2018. V. 25. № 1.
- Khrabry A., Kaganovich I.D., Nemchinsky V., Khodak A. // Physics of Plasmas. 2018. V. 25. № 1. P. 013522
- Baeva M., Loffhagen D., Becker M. M., Uhrlandt D. // Plasma Chemistry and Plasma Processing. 2019. V. 39. № 4. C. 949.
- Baeva M., Loffhagen D., Uhrlandt D. // Plasma Chemistry and Plasma Processing. 2019. V. 39. № 6. C. 1359.
- Benilov M.S. // Journal of Physics D: Applied Physics. 2019. V. 53. № 1. C. 013002.
- Saifutdinov A.I., Timerkaev B.A., Saifutdinova A.A. // JETP Letters. 2020. V. 112. 7. P. 405.
- Saifutdinov A.I. // Journal of Applied Physics. 2021. V. 129. № 9. P. 093302.
- Saifutdinov A.I. // Plasma Sources Science and Technology. 2022. V. 31. № 9. P. 094008.
- Baeva M., Benilov M.S., Zhu T., Testrich H., Kewitz T., Foest R. // Journal of Physics D: Applied Physics. 2022. V. 55. № 36. P. 365202.
- Santos D.F.N., Almeida N.A., Lisnyak M., Gonnet J.P., Benilov M.S. // Physics of Plasmas. 2022. T. 29. № 4. P. 043503.
- Baeva M., Methling R., Uhrlandt D. // Plasma Physics and Technology. 2021. V. 8. № 1. P. 1.
- Wang W.Z., Rong M.Z., Murphy A.B., Yi Wu, Spen-cer J.W., Yan J.D., Michael T., C Fang // Journal of Physics D: Applied Physics. 2011. V. 44. № 35. P. 355207.
- Cressault Y., Murphy A.B., Teulet Ph., Gleizes A. Schnick M. // Journal of Physics D: Applied Physics. 2013. V. 46. № 41. C. 415207.
- Кнаке О., Странский И.Н. // Успехи физических наук. 1959. V. 68. № 6. С. 261.
- Thorn R.J., Winslow G.H. // The Journal of Chemical Physics. 1957. V. 26. № 1. P. 186.
- Nielsen T., Kaddani A., Benilov M.S. // Journal of Physics D: Applied Physics. 2001. V. 34(13) P. 2016.
- Nemchinsky V. // Journal of Applied Physics. 2021. V. 130. № 10. P. 103304.
- Kutasi K., Hartmann P., Donkó Z. // Journal of Physics D: Applied Physics. 2001. V. 34. № 23. P. 3368.
- Kutasi K., Hartmann P., Bánó G., Donkó Z. // Plasma Sources Science and Technology. 2005. V. 14. № 2. P. S1.
- Богданов Е. А., Капустин К.Д., Кудрявцев А.А., Чирцов А.С. // Журнал технической физики. 2010. Т. 80. № 10. С. 41.
- Wang Q., Economou D.J., Donnelly V.M. // Journal of Applied Physics. 2006. V. 100. № 2. P. 023301.
- Deloche R., Monchicourt P., Cheret M., Lambert F. // Physical Review A. 1976. V. 13. № 3. P. 1140.
- Saifutdinov A.I., Sorokina A.R., Boldysheva V.K., Latypov E.R., Saifutdinova A.A. // High Energy Chemistry. 2022. V. 56. № 6. C. 477.
- Mansour A.R., Hara K. // Journal of Physics D: Applied Physics. 2019. T. 52. № 10. C. 105204.
- Bogaerts A., Gijbels R., Carman R. // Spectrochimica Acta Part B: Atomic Spectroscopy. 1998. V. 53. № 12. P. 1679.
- Bogaerts A., Gijbels R. // Journal of Applied Physics. 2002. T. 92. № 11. C. 6408.
Дополнительные файлы






