Quasi-Classical Approximation of the Data on the Ionization Potentials of Multiply Charged Ions of the Superheavy Elements
- Authors: Shpatakovskaya G.V.1
-
Affiliations:
- Keldysh Institute of Applied Mathematics, Russian Academy of Sciences
- Issue: Vol 49, No 10 (2023)
- Pages: 1016-1023
- Section: PLASMA DIAGNOSTICS
- URL: https://journal-vniispk.ru/0367-2921/article/view/232807
- DOI: https://doi.org/10.31857/S0367292123600747
- EDN: https://elibrary.ru/EGAOHQ
- ID: 232807
Cite item
Full Text
Abstract
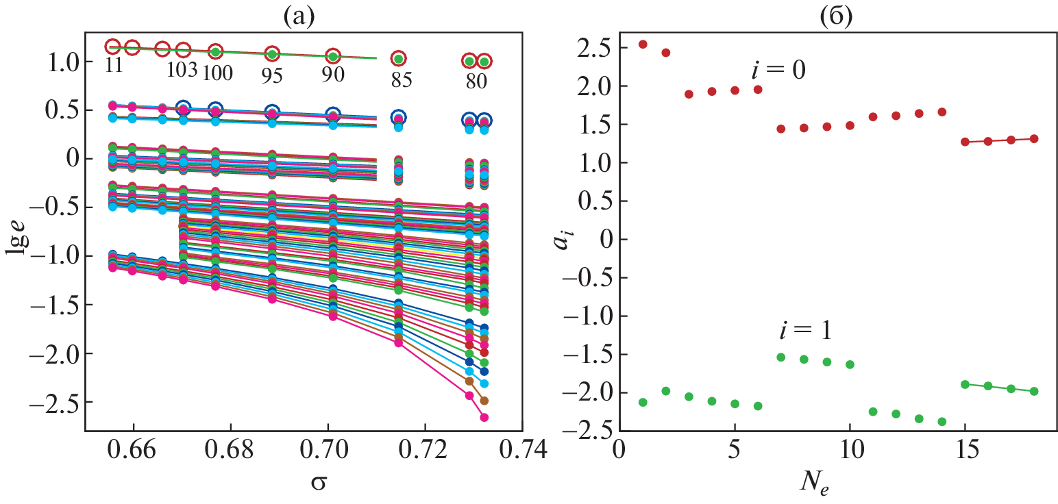
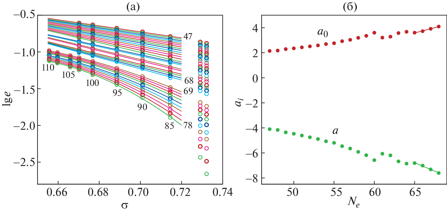
The semiempirical quasi-classical method of approximation of the ionization potentials used earlier for multiply charged ions of the elements with medium and high atomic number Z is applied to ions of elements with atomic numbers in the range of 85*z*110 and number of electrons in the range of 1*Ne*78. The discovered simple trends allow using a relatively accurate (to within 1–2%), based on two small tables, polynomial approximation of the available and lacking data on the ionization potentials in the NIST tables for all multiply charged ions in the atomic-number range under consideration. An improvement in the applicability conditions of the quasi-classical approximation with increase in the atomic number is demonstrated
About the authors
G. V. Shpatakovskaya
Keldysh Institute of Applied Mathematics, Russian Academy of Sciences
Author for correspondence.
Email: shpagalya@yandex.ru
125047, Moscow, Russia
References
- Borschevsky A., Eliav E., Vilkas M.J., Ishikawa Y., Kaldor U. // Phys. Rev. A. 2007. V. 75. P. 042514.
- Dzuba V.A., Safronova M.S., Safronova U.I. // Phys. Rev. A: At. Mol. Opt. Phys. 2014. V. 90. P. 012504.
- Dzuba V.A. // Phys. Rev. A. 2016. V. 93. P. 032519.
- Porsev S.G., Safronova M.S., Safronova U.I., Dzuba V.A., Flambaum V.V. // Phys. Rev. A. 2018. V. 98. P. 052512.
- Dzuba V.A., Safronova M.S., Safronova U.I. // Phys. Rev. A. 2016. V. 94. P. 042503.
- Safronova U.I., Rudzikas Z.B. // J. Phys. B: Atom. Molec. Phys. 1976. V. 9. P. 1989.
- Carlson T. A., Nestor C.W., Jr., Wasserman N., McDowell J.D. // Klculated ionization potentials for multiply charged ions. At. Data Nucl. Data Tables. 1970. V. 2. P. 63.
- Drake G.W.F. // Canadian J. Phys. 1988. V. 66. P. 586.
- Rodrigues G.C., Indelicato P., Santos J.P., Patte P., Parente F. // At. Data Nucl. Data Tables. 2004. V. 86. P. 117.
- Artemyev A.N., Shabaev V.M., Yerokhin V.A., Plunien G., Soff G. // Phys. Rev. A. 2005. V. 71. P. 062104.
- Sapirstein J., Cheng K.T. // Phys. Rev. A. 2011. V. 83. P. 012504.
- Rashid K., Saadi M.Z., Yasin M. // At. Data Nucl. Data Tables. 1988. V. 40. P. 365.
- Kramida A.E., Reader J. // At. Data Nucl. Data Tables. 2006. V. 92. P. 457.
- Kramida A., Ralchenko Yu., Reader J. and NIST ASD Team. NIST Atomic Spectra Database (ver. 5.10), 2020 [Online]. Available: https://physics.nist.gov/asd [2023, July 12].
- Biémont E., Frémat Y., Quinet P. // Atomic Data and Nuclear Data Tables. 1999. V. 71. P. 117.
- Gil G., Gonzalez A. // Can. J. Phys. 2017. V. 95. P. 479.
- Huang J., Jiang G., Zhao Q. // Chin. Phys. Lett. 2006. V. 23. P. 69.
- Шпатаковская Г.В. // Письма ЖЭТФ. 2021. Т. 114. С. 798.
- Шпатаковская Г.В. // ЖЭТФ. 2022. Т. 162. С. 205.
- Шпатаковская Г.В. // УФН. 2019. Т. 189. С. 195.





