Nonlinear Evolution of the Tearing Instability in a Thin Current Sheet
- Authors: Garanin S.F.1, Kravets E.M.1
-
Affiliations:
- Russian Federal Nuclear Center—All-Russian Research Institute of Experimental Physics
- Issue: Vol 49, No 11 (2023)
- Pages: 1078-1091
- Section: НЕУСТОЙЧИВОСТИ ПЛАЗМЫ
- URL: https://journal-vniispk.ru/0367-2921/article/view/233129
- DOI: https://doi.org/10.31857/S0367292123600474
- EDN: https://elibrary.ru/FRMJGK
- ID: 233129
Cite item
Full Text
Abstract
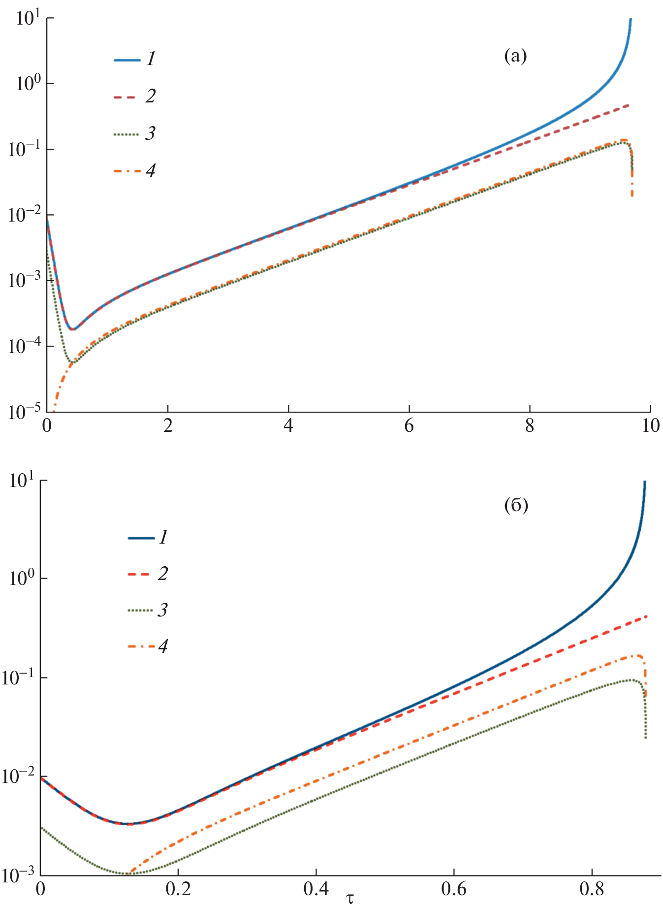
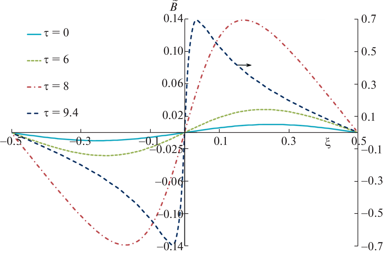
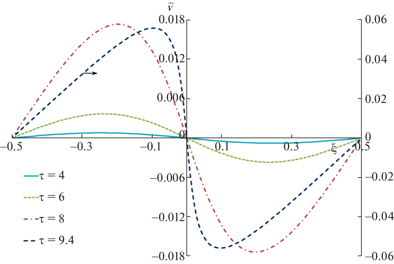
In plane current sheets (foils, or liners), which are thin in comparison with their skin depth, an instability may grow because parallel currents in different areas of these sheets are attracted that leads to compression of these areas and partition of the current sheets into threads. This work describes the study of the nonlinear tearing instability evolution for a 1D case, when all the principal quantities (surface current and mass densities, velocity, and the magnetic field component normal to the sheet surface) depend on the coordinate perpendicular to the current density vector only. A 1D system of equations has been obtained, which describes the magnetic field dynamics and the substance motion in current sheets, and a numerical technique based on the Lagrangian discretization of mass has been developed to solve 1D magnetic hydrodynamics problems. It is shown that, if the tearing instability is considered, small perturbations of currents, velocities and mass densities grow in accordance with the earlier found growth rates of small perturbations and later, when the perturbations are no longer small, a nonlinear growth stage comes. In this stage, the perturbations of the surface current density j and the surface mass density μ increase unlimitedly for a finite time period (apparently, according to power laws j t -t -a,~ ( ) sμ t -t -g s, ts is the time, when these quantities become infinite); however the width of the current and mass density peaks tends to zero, so that the total current and total mass in the peaks of the current density and surface mass density decrease and tend to zero.
Keywords
About the authors
S. F. Garanin
Russian Federal Nuclear Center—All-Russian Research Institute of Experimental Physics
Email: SFGaranin@vniief.ru
607188, Sarov, Nizhny Novgorod oblast, Russia
E. M. Kravets
Russian Federal Nuclear Center—All-Russian Research Institute of Experimental Physics
Author for correspondence.
Email: EMKravets@vniief.ru
607188, Sarov, Nizhny Novgorod oblast, Russia
References
- Furth H.P., Killeen J., Rosenbluth M.N. // Phys. Fluids. 1963. V. 6. P. 459.
- Айвазов И.К., Вихарев В.Д., Волков Г.С., Никанд-ров Л.Б., Смирнов В.П., Царфин В.Я. // Физика плазмы. 1988. Т. 14. С. 197.
- Spielman R.B., Deeney C., Chandler G.A., Douglas M.R., Fehl D.L., Matzen M.K., McDaniel D.H., Nash T.J., Porter J.L., Sanford T.W.L., Seamen J.F., Stygar W.A., Struve K.W., Breeze S.P., McGurn J.S., Torres J.A., Zagar D.M., Gilliland T.L., Jobe D.O., McKenney J.L., Mock R.C., Vargas M., Wagoner T. // Phys. Plasmas. 1998. V. 5. P. 2105.
- Александров В.В., Браницкий А.В., Волков Г.С., Грабов-ский Е.В., Зурин М.В., Недосеев С.Л., Олейник Г.М., Самохин А.А., Сасоров П.В., Смирнов В.П., Феду-лов М.В., Фролов И.Н. // Физика плазмы. 2001. Т. 27. С. 99.
- Lebedev S.V., Beg F.N., Bland S.N., Chittenden J.P., Dangor A.E., Haines M.G., Kwek K.H., Pikuz S.A., Shelkovenko T.A. // Phys. Plasmas. 2001. V. 8. P. 3734.
- Alexandrov V.V., Frolov I.N., Fedulov M.V., Grabov-sky E.V., Mitrofanov K.N., Nedoseev S.L., Oleinik G.M., Porofeev I.Yu., Samokhin A.A., Sasorov P.V., Smir-nov V.P., Volkov G.S., Zurin M.V., Zukakishvili G.G. // IEEE Trans. on Plasma Sci. 2002. V. 30. P. 559.
- Cuneo M.E., Waisman E.M., Lebedev S.V., Chitten-den J.P., Stygar W.A., Chandler G.A., Vesey R.A., Yu E.P., Nash T.J., Bliss D.E., Sarkisov G.S., Wago-ner T.C., Bennett G.R., Sinars D.B., Porter J.L., Simp-son W.W., Ruggles L.E., Wenger D.F., Garasi C.J., Oliver B.V., Aragon R.A., Fowler W.E., Hettrick M.C., Idzorek G.C., Johnson D., Keller K., Lazier S.E., McGurn J.S., Mehlhorn T.A., Moore T., Nielsen D.S., Pyle J., Speas S., Struve K.W., Torres J.A. // Phys. Rev. E. 2005. V. 71. P. 046406.
- Yu E.P., Oliver B.V., Sinars D.B., Mehlhorn T.A., Cuneo M.E., Sasorov P.V., Haines M.G., Lebedev S.V. // Phys. Plasmas. 2007. V. 14. P. 022705.
- Felber F.S., Rostoker N. // Phys. Fluids. 1981. V. 24. P. 1049.
- Самохин А.А. // ПМТФ. 1988. Т. 2. С. 89.
- Hammer J.H., Ryutov D.D. // Phys. Plasmas. 1999. V. 6. P. 3302.
- Garanin S.F., Kravets E.M., Dolinskiy V.Yu. // IEEE Trans. Plasma Sci. 2020. V. 48. P. 4279.https://doi.org/10.1109/TPS.2020.3034933
- Чайковский C.А., Орешкин В.И., Лабецкая Н.А., Дац-ко И.М., Рыбка Д.В., Ванькевич В.А., Ратахин Н.А. // Изв. вузов. Физика. 2019. Т. 62. С. 130.
- Knudson M.D., Lemke R.W., Hayes D.B., Hall C.A., Deeney C., Asay J.R. // J. Appl. Phys. 2003. V. 94. P. 4420.https://doi.org/10.1063/1.1604967
- Lemke R.W., Knudson M.D., Hall C.A., Haill T.A., Desjarlais M.P., Asay J.R., Mehlhorn T.A. // Phys. Plasmas. 2003. V. 10. P. 1092.
- Deng J., Xie W., Feng Sh., Wang M., Li H., Song Sh., Xia M., Ce J., He A., Tian Q., Gu Y., Guan Y., Wei B., Huang X., Ren X., Dan J., Li J., Zhou Sh., Cai H., Zhang S., Wang K., Xu Q., Wang Y., Zhang Zh., Wang G., Guo Sh., He Y., Zhou Y., Zhang Zh., Yang L., Zou W. // Matter and Radiation at Extremes. 2016. V. 1. P. 48.
- Kuznetsov S.D., Garanin S.F. // Proc. 2017 IEEE 21st International Conference on Pulsed Power (PPC), Brighton, 2017. P. 362.https://doi.org/10.1109/PPC.2017.8291230.
- Зеленый Л.М., Тактакишвили А.Л. // Физика плазмы. 1981. Т. 7. С. 1064.
- Зеленый Л.М., Тактакишвили А.Л. // Физика плазмы. 1984. Т. 10. С. 50.
- Zeleny L.M., Taktakishvili A.L. // Astrophys. Space Sci. 1987. V. 134. P. 185.
- Zeleny L.M., Taktakishvili A.L. // Plasma Phys. Control. Fusion. 1988. V. 30. P. 663.
- Haines M. // J. Plasma Phys. 1974. V. 12. P. 1.
- Haines M. // Phys. Rev. Lett. 1981. V. 47. P. 917.
- Вихрев В.В., Брагинский С.И. // Вопросы теории плазмы. Вып. 10 / Под ред. М. А. Леонтовича. М.: Атомиздат, 1980. С. 243.
- Sadowski M.J. // Proc. 12-th Symposium on High Current Electronics. V. 2 / Ed. G. Mesyats, B. Kovalchuk, G. Remnev. Tomsk: Institute of High Current Electronics SD RAS, 2000. P. 185.
- Кингсеп А.С., Чукбар К.В., Яньков В.В. // Вопросы теории плазмы. Вып. 16 / Под ред. акад. Б.Б. Кадомцева М.: Энергоатомиздат, 1987. С. 209.
- Гаранин С.Ф., Кравец Е.М. // ПМТФ. 2022. Т. 63. С. 48.
- Ott E. // Phys. Rev. Lett. 1972. V. 29. P. 1429.
Supplementary files














