Synthetic Diagnostic of Spectra of Charge-Exchange Atoms for Analysis of Influence of the MHD Instability on Fast-Particle Confinement in Spherical Tokamaks Globus-M/M2
- Authors: Kiselev E.O.1,2, Balachenkov I.M.1, Bakharev N.N.1, Varfolomeev V.I.1, Voronin A.V.1, Goryainov V.Y.1, Gusev V.K.1, Zhiltsov N.S.1, Zenkova O.A.1,2, Kurskiev G.S.1, Melnik A.D.1, Minaev V.B.1, Miroshnikov I.V.1, Patrov M.I.1, Petrov Y.V.1, Sakharov N.V.1, Skrekel O.M.1, Telnova A.Y.1, Tkachenko E.E.1, Tokarev V.A.1, Tyukhmeneva E.A.1, Khromov N.A.1, Chernyshov F.V.1, Shchegolev P.B.1
-
Affiliations:
- Ioffe Institute, Russian Academy of Sciences
- Peter the Great St. Petersburg Polytechnic University
- Issue: Vol 49, No 12 (2023)
- Pages: 1282-1292
- Section: TOKAMAKS
- URL: https://journal-vniispk.ru/0367-2921/article/view/233132
- DOI: https://doi.org/10.31857/S0367292123600802
- EDN: https://elibrary.ru/CGSHYQ
- ID: 233132
Cite item
Full Text
Abstract
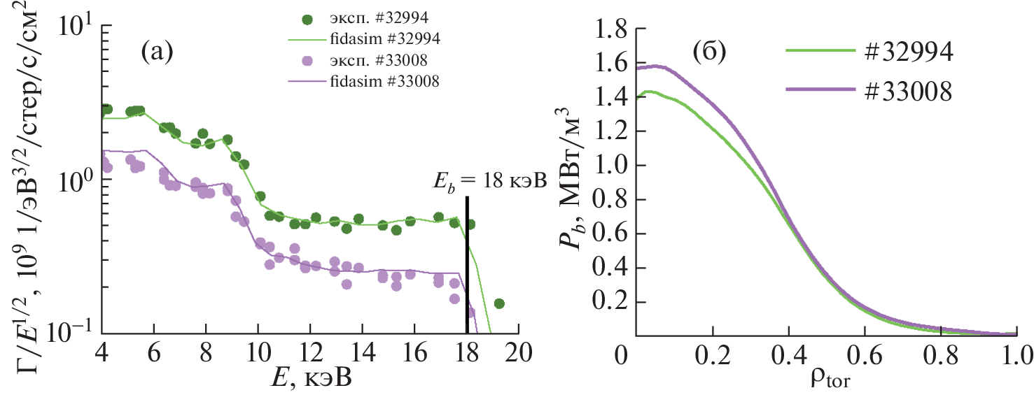
Absorbed power of the neutral-injection beam in spherical tokamaks Globus-M/M2 is estimated
numerically. Deceleration of fast particles is simulated by means of the NUBEAM code. The signal of analyzer
of charge-exchange atoms is simulated by means of the FIDASIM code using the distribution function
of fast ions calculated by means of the NUBEAM code. Comparison of calculated and experimental signals
allowed determining the degree of influence of instabilities on confinement of fast particles along with
absorbed beam power.
About the authors
E. O. Kiselev
Ioffe Institute, Russian Academy of Sciences; Peter the Great St. Petersburg Polytechnic University
Email: nightkeo@gmail.com
St. Petersburg, 194021 Russia; St. Petersburg, 195251 Russia
I. M. Balachenkov
Ioffe Institute, Russian Academy of Sciences
Email: nightkeo@gmail.com
St. Petersburg, 194021 Russia
N. N. Bakharev
Ioffe Institute, Russian Academy of Sciences
Email: nightkeo@gmail.com
St. Petersburg, 194021 Russia
V. I. Varfolomeev
Ioffe Institute, Russian Academy of Sciences
Email: nightkeo@gmail.com
St. Petersburg, 194021 Russia
A. V. Voronin
Ioffe Institute, Russian Academy of Sciences
Email: nightkeo@gmail.com
St. Petersburg, 194021 Russia
V. Yu. Goryainov
Ioffe Institute, Russian Academy of Sciences
Email: nightkeo@gmail.com
St. Petersburg, 194021 Russia
V. K. Gusev
Ioffe Institute, Russian Academy of Sciences
Email: nightkeo@gmail.com
St. Petersburg, 194021 Russia
N. S. Zhiltsov
Ioffe Institute, Russian Academy of Sciences
Email: nightkeo@gmail.com
St. Petersburg, 194021 Russia
O. A. Zenkova
Ioffe Institute, Russian Academy of Sciences; Peter the Great St. Petersburg Polytechnic University
Email: nightkeo@gmail.com
St. Petersburg, 194021 Russia; St. Petersburg, 195251 Russia
G. S. Kurskiev
Ioffe Institute, Russian Academy of Sciences
Email: nightkeo@gmail.com
St. Petersburg, 194021 Russia
A. D. Melnik
Ioffe Institute, Russian Academy of Sciences
Email: nightkeo@gmail.com
St. Petersburg, 194021 Russia
V. B. Minaev
Ioffe Institute, Russian Academy of Sciences
Email: nightkeo@gmail.com
St. Petersburg, 194021 Russia
I. V. Miroshnikov
Ioffe Institute, Russian Academy of Sciences
Email: nightkeo@gmail.com
St. Petersburg, 194021 Russia
M. I. Patrov
Ioffe Institute, Russian Academy of Sciences
Email: nightkeo@gmail.com
St. Petersburg, 194021 Russia
Yu. V. Petrov
Ioffe Institute, Russian Academy of Sciences
Email: nightkeo@gmail.com
St. Petersburg, 194021 Russia
N. V. Sakharov
Ioffe Institute, Russian Academy of Sciences
Email: nightkeo@gmail.com
St. Petersburg, 194021 Russia
O. M. Skrekel
Ioffe Institute, Russian Academy of Sciences
Email: nightkeo@gmail.com
St. Petersburg, 194021 Russia
A. Yu. Telnova
Ioffe Institute, Russian Academy of Sciences
Email: nightkeo@gmail.com
St. Petersburg, 194021 Russia
E. E. Tkachenko
Ioffe Institute, Russian Academy of Sciences
Email: nightkeo@gmail.com
St. Petersburg, 194021 Russia
V. A. Tokarev
Ioffe Institute, Russian Academy of Sciences
Email: nightkeo@gmail.com
St. Petersburg, 194021 Russia
E. A. Tyukhmeneva
Ioffe Institute, Russian Academy of Sciences
Email: nightkeo@gmail.com
St. Petersburg, 194021 Russia
N. A. Khromov
Ioffe Institute, Russian Academy of Sciences
Email: nightkeo@gmail.com
St. Petersburg, 194021 Russia
F. V. Chernyshov
Ioffe Institute, Russian Academy of Sciences
Email: nightkeo@gmail.com
St. Petersburg, 194021 Russia
P. B. Shchegolev
Ioffe Institute, Russian Academy of Sciences
Author for correspondence.
Email: nightkeo@gmail.com
St. Petersburg, 194021 Russia
References
- Minaev V.B., Gusev V.K., Sakharov N.V., Varfolomeev V.I., Bakharev N.N., Belyakov V.A., Bondarchuk E.N., Brunkov P.N., Chernyshev F.V., Davydenko V.I., Dyachen-ko V.V., Kavin A.A., Khitrov S.A., Khromov N.A., Kise-lev E.O., Konovalov A.N., Kornev V.A., Kurskiev G.S., Labusov A.N., Melnik A.D., Mineev A.B., Mironov M.I., Miroshnikov I.V., Patrov M.I., Petrov Yu.V., Rozhan-sky V.A., Saveliev A.N., Senichenkov I.Yu., Shchego-lev P.B., Shcherbinin O.N., Shikhovtsev I.V., Sladkomedova A.D., Solokha V.V., Tanchuk V.N., Telnova A.Yu., Tokarev V.A., Tolstyakov S.Yu., Zhilin E.G. // Nuclear Fusion. 2017. V. 57. P. 06604.https://doi.org/10.1088/1741-4326/aa69e0
- Kurskiev G.S., Miroshnikov I.V., Sakharov N.V., Gu-sev V.K., Petrov Yu.V., Minaev V.B., Balachenkov I.M., Bakharev N.N., Chernyshev F.V., Goryainov V.Yu., Ka-vin A.A., Khromov N.A., Kiselev E.O., Krikunov S.V., Lobanov K.M., Melnik A.D., Novokhatskii A.N., Filippov S.V., Zhiltsov N.S., Mineev A.B., Mukhin E.E., Patrov M.I., Petrov A.V., Ponomarenko A.M., Solokha V.V., Shulyatiev K.D., Shchegolev P.B., Skrekel O.M., Telno-va A.Yu., Tkachenko E.E., Tukhmeneva E.A., Toka-rev V.A., Tolstyakov S.Yu., Varfolomeev V.I., Voro-nin A.V., Yashin A.Yu., Solovey V.A., Zhilin E.G. // Nuclear Fusion. 2022. V. 62. P.04002.
- Курскиев Г.С., Сахаров Н.В., Гусев В.К., Минаев В.Б., Мирошников И.В., Петров Ю.В, Тельнова А.Ю., Бахарев Н.Н., Киселев Е.О., Жильцов Н.С., Щеголев П.Б., Балаченков И.М., Варфоломеев В.И., Воронин А.В., Горяинов В.Ю., Дьяченко В.В., Жилин Е.Г., Ильясо-ва М.В., Кавин А.А., Коновалов А.Н., Крикунов С.В., Лобанов К.М., Мельник А.Д., Минеев А.Б., Новохацкий А.Н., Патров М.И., Петров А.В., Пономарен-ко А.М., Скрекель О.М., Соловей В.А., Солоха В.В., Ткаченко Е.Е., Токарев В.А., Толстяков С.Ю., Тюхменева Е.А., Хилькевич Е.М, Хромов Н.А., Черны-шев Ф.В., Шевелев А.Е., Шулятьев К.Д., Яшин А.Ю. // Физика плазмы. 2023. Т. 49. С. 305.
- McNamara S.A.M., Asunta O., Bland J., Buxton P.F., Colgan C., Dnestrovskii A., Gemmell M., Gryaznevich M., Hoffman D., Janky F., Lister J.B., Lowe H.F., Mirfay-zi R.S., Naylor G., Nemytov V., Njau J., Pyragius T., Rengle A., Romanelli M., Romero C., Sertoli M., Shevchenko V., Sinha J., Sladkomedova A., Sridhar S., Takase Y., Thomas P., Varje J., Vincent B., Willett H.V., Wood J., Zakhar D., Battaglia D.J., Kaye S.M., Delgado-Aparicio L.F., Maingi R., Mueller D., Podesta M., Delabie E., Lomanowski B., Marchuk O., ST40 Team // Nuclear Fusion. 2023. V. 63. P. 054002.
- Петров Ю.В., Бахарев Н.Н., Буланин В.В., Гусев В.К., Курскиев Г.С., Мартынов А.А., Медведев С.Ю., Минаев В.Б., Патров М.И., Петров А.В., Сахаров Н.В., Щеголев П.Б., Тельнова А.Ю., Толстяков С.Ю., Яшин А.Ю. // Физика плазмы. 2011. Т. 37. С. 1075.https://doi.org/10.1134/S0367292119080080
- Петров Ю.В., Бахарев Н.Н., Гусев В.К., Минаев В.Б., Корнев В.А., Мельник А.Д., Патров М.И., Саха-ров Н.В., Толстяков С.Ю., Курскиев Г.С., Черны-шев Ф.В., Щёголев П.Б. // Письма ЖТФ. 2014. Т. 40. С. 99.
- Балаченков И.М., Петров Ю.В., Гусев В.К., Баха-рев Н.Н., Буланин В.В., Варфоломеев В.И., Жиль-цов Н.С., Киселёв Е.О., Курскиев Г.С., Минаев В.Б., Патров М.И., Петров А.В., Пономаренко А.М., Сахаров Н.В., Тельнова А.Ю., Токарев В.А., Хромов Н.А., Щеголев П.Б., Яшин А.Ю. // Письма ЖТФ. 2020. Т. 46. С. 3 .https://doi.org/10.21883/PJTF.2020.23.50338.1845
- Балаченков И.М., Петров Ю.В., Гусев В.К., Баха-рев Н.Н., Варфоломеев В.И., Дьяченко В.В., Коновалов А.Н., Корепанов П.А., Крикунов С.В., Минаев В.Б., Патров М.И., Сахаров Н.В. // Письма ЖТФ. 2021. Т. 47. С. 17.https://doi.org/10.21883/PJTF.2021.12.51061.18730
- Petrov Yu.V., Gusev V.K., Sakharov N.V., Minaev V.B., Varfolomeev V.I., Dyachenko V.V., Balachenkov I.M., Bakharev N.N., Bondarchuk E.N., Bulanin V.V., Chernyshev F.V., Iliasova M.V., Kavin A.A., Khilkevitch E.M., Khromov N.A., Kiselev E.O., Konovalov A.N., Kor-nev V.A., Krikunov S.V., Kurskiev G.S., Melnik A.D., Miroshnikov I.V., Novokhatskii A.N., Zhiltsov N.S., Patrov M.I., Petrov A.V., Ponomarenko A.M., Shulyati-ev K.D., Shchegolev P.B., Shevelev A.E., Skrekel O.M., Telnova A.Yu., Tukhmeneva E.A., Tokarev V.A., Tolstyakov S.Yu., Voronin A.V., Yashin A.Yu., Bagryansky P.A., Zhilin E.G., Goryainov V.A. // Nuclear Fusion. 2022. V. 62. P. 042009https://doi.org/10.1088/1741-4326/ac27c7
- Medvedev S.Y., Martynov A.A., Isaev M.Y., Balachen-kov I.M., Bakharev N.N., Petrov Yu.V., Cooper W.A. // Fusion Sci. Technol. 2022. V. 78. P. 1.https://doi.org/10.1080/15361055.2022.2066048
- Мельник А.Д., Бахарев Н.Н., Гусев В.К., Гончаров П.Р., Курскиев Г.С., Минаев В.Б., Петров Ю.В., Саха-ров Н.В., Тельнова А.Ю., Толстяков С.Ю., Черны-шев Ф.В., Щеголев П.Б. // Физика плазмы. 2017. Т. 43. С. 651.https://doi.org/10.7868/S036729211708008X
- Bakharev N.N., Melnik A.D., Chernyshev F.V. // Atoms. 2023. V. 11. P. 53. https://doi.org/10.3390/atoms11030053
- Афросимов В.В., Гладковский И.П., Гордеев Ю.С., Калинкевич И.Ф., Федоренко Н.В. // ЖТФ. 1960. Т. 30. С. 1456.
- Афросимов В.В., Гладковский И.П., Гордеев Ю.С., Калинкевич И.Ф., Петров М.П., Федоренко Н.В. // ЖТФ. 1960. Т. 30. С. 1469.
- Geiger B., Stagner L., Heidbrink W.W., Dux R., Fischer R., Fujiwara Y., Garcia A.V., Jacobsen A.S., Vuuren A.J., Karpushov A.N., Liu D., Schneider P.A., Sfiligoi I., Poloskei P.Zs., Weiland M. // Plasma Phys. Control. Fusion. 2020. V. 62. P. 105008. https://doi.org/10.1088/1361-6587/aba8d7
- https://github.com/D3DEnergetic/FIDASIM.
- Pankin A., McCune D., Andre R., Bateman G., Kritz A. // Computer Phys. Communications. 2004. V. 159. P. 157.
- Bakharev N.N., Chernyshev F.V., Goncharov P.R., Gu-sev V.K., Iblyaminova A.D., Kornev V.A., Kurskiev G.S., Melnik A.D., Minaev V.B., Mironov M.I., Patrov M.I., Petrov Yu.V., Sakharov N.V., Shchegolev P.B., Tolstya-kov S.Yu., Zadvitskiy G.V. // Nucl. Fusion. 2015. V. 55. P. 1421.https://doi.org/10.1088/0029-5515/55/4/043023
- Гусев В.К., Голант В.Е., Гусаков Е.З., Дьяченко В.В.1, Ирзак М.А., Минаев В.Б., Мухин Е.Е., Новохац-кий А.Н., Подушникова К.А., Раздобарин Г.Т., Сахаров Н.В., Трегубова Е.Н., Узлов В.С., Щербинин О.Н., Беляков В.А., Кавин А.А., Косцов Ю.А., Кузьмин Е.Г., Сойкин В.Ф., Кузнецов Е.А., Ягнов В.А. // ЖТФ. 1999. Т. 69. С. 58.
- Gusev V.K., Bakharev N.N., Belyakov V.A., Ber B.Y., Bondarchuk E.N., Bulanin V.V., Bykov A.S., Cherny-shev F.V., Demina E.V., Dyachenko V.V., Goncharov P.R., Gorodetsky A.E., Gusakov E.Z., Iblyaminova A.D., Ivanov A.A., Irzak M.A., Kaveeva E.G., Khitrov S.A., Khokhlov M.V., Khromov N.A., Kolmogorov V.V., Kor-nev V.A., Krasnov S.V., Kurskiev G.S., Labusov A.N., Lepikhov S.A., Litunovsky N.V., Mazul I.V., Melnik A.D., Mikov V.V., Minaev V.B., Mineev A.B., Mironov M.I., Miroshnikov I.V., Mukhin E.E., Novokhatsky A.N., Ovsyannikov A.D., Patrov M.I., Petrov A.V., Petrov Yu.V., Rozhansky V.A., Sakharov N.V., Saveliev A.N., Senichenkov I.Yu., Sergeev V.Yu., Shchegolev P.B., Shcherbinin O.N., Shikhovtsev I.V., Tanaev V.S., Tanchuk V.N., Tolstyakov S.Y., Varfolomeev V.I., Vekshi-na E.O., Voronin A.V., Voskoboinikov S.P., Wagner F., Yashin A.Y., Zadvitskiy G.V., Zakharov A.P., Zalavutdinov R.K., Zhilin E.G. // Plasma Phys. Control. Fusion. 2015. V. 58. P. 014032. https://doi.org/10.1088/0029-5515/55/10/104016
- Курскиев Г.С., Жильцов Н.С., Коваль А.Н., Кор-нев А.Ф., Макаров А.М., Мухин Е.Е., Петров Ю.В., Сахаров Н.В., Соловей В.А., Ткаченко Е.Е., Толстяков С.Ю., Чернаков П.В. // Письма ЖТФ. 2021. Т. 47. С. 41.https://doi.org/10.21883/PJTF.2021.24.51799.19019
- Zhiltsov N.S. et al. 2023 provisionally accepted to Nuclear Fusion
- Tukhmeneva E.A., Tolstyakov S.Yu., Kurskiev G.S., Gusev V.K., Minaev V.B., Petrov Yu.V., Sakharov N.V., Telnova A.Yu., Bakharev N.N., Shegolev P.B., Kiselev E.O. // Plasma Sci. Technol. 2019. V. 21. P. 105104.https://doi.org/10.1088/2058-6272/ab305f
- Гусев В.К., Бендер С.Е., Деч А.В., Косцов Ю.А., Ле-вин Р.Г., Минеев А.Б., Сахаров Н.В. // ЖТФ. 2006. Т. 76. Вып. 8.
- Avdeeva G.F., Miroshnikov I.V., Bakharev N.N., Kurskiev G.S., Patrov M.I., Sergeev V.Yu., Schegolev P.B. // J. Phys.: Conf. Ser. 2016. V. 666. P. 012002.
- Larionova M.M., Miroshnikov I.V., Gusev V.K., Mina-ev V.B., Patrov M.I., Petrov Yu.V., Sakharov N.V., Schegolev P.B., Telnova A.Yu., Bakharev N.N. // J. Phys.: Conf. Ser. 2019. V. 1400. P. 077018.https://doi.org/10.1088/1742-6596/1400/7/077018
- Тельнова А.Ю., Мирошников И.В., Митранкова М.М., Бахарев Н.Н., Гусев В.К., Жильцов Н.С., Киселев Е.О., Курскиев Г.С., Минаев В.Б., Петров Ю.В., Саха-ров Н.В., Щеголев П.Б., Тюхменева Е.А. // Письма ЖТФ. 2021. Т. 47. С. 25.https://doi.org/10.21883/PJTF.2021.09.50903.18618
- Bakharev N.N., Chernyshev F.V., Gusev V.K., Kise-lev E.O., Kurskiev G.S., Larionova M.M., Melnik A.D., Minaev V.B., Mironov M.I., Miroshnikov I.V., Pet-rov Yu.V., Sakharov N.V., Shchegolev P.B., Skrekel O.M., Telnova A.Yu., Tukhmeneva E.A., Varfolomeev V.I. // Plasma Phys. Control. Fusion. 2020. V. 62. P. 125010. https://doi.org/10.1088/1361-6587/abbe32
- Bakharev N.N., Balachenkov I.M., Chernyshev F.V., Gusev V.K., Kiselev E.O., Kurskiev G.S., Melnik A.D., Minaev V.B., Mironov M.I., Nesenevich V.G., Petrov Y.V., Sakharov N.V., Shchegolev P.B., Skrekel O.M., Telno-va A.Y., Tukhmeneva E.A., Varfolomeev V.I. // Plasma Phys. Control. Fusion. 2021. V. 63. P. 125036.https://doi.org/10.1088/1361-6587/ac3497
- Миронов М.И., Чернышев Ф.В., Афанасьев В.И., Мельник А.Д., Наволоцкий А.С., Несеневич В.Г., Петров М.П., Петров С.Я. // Физика плазмы. 2020. Т. 47. С. 29.https://doi.org/10.31857/S0367292121010108
- Telnova A.Y., Kurskiev G.S., Kiselev E.O., Bakharev N.N., Gusev V.K., Khromov N.A., Medvedev S.Y., Minaev V.B., Miroshnikov I.V., Patrov M.I., Petrov Y.V., Sakharov N.V., Sladkomedova A.D., Shchegolev P.B., Solokha V.V., Tokarev V.A., Tolstyakov S.Y., Tukhmeneva E.A. // J. Phys.: Conf. Ser. 2019. V. 1400. P. 077015.https://doi.org/10.1088/2058-6272/ab2ff6
Supplementary files











