Численное моделирование истечения в вакуум высокоскоростных плазменных струй
- Authors: 1,2,3,4, 1,2, 1,2, 2
-
Affiliations:
- Всероссийский научно-исследовательский институт автоматики им. Н.Л. Духова
- Институт динамики геосфер им. ак. М.А. Садовского, РАН
- НИЦ “Курчатовский институт”
- Институт прикладной математики им. М.В. Келдыша РАН
- Issue: Vol 49, No 11 (2023)
- Pages: 1118-1126
- Section: SPACE PLASMA
- URL: https://journal-vniispk.ru/0367-2921/article/view/233134
- DOI: https://doi.org/10.31857/S0367292123601145
- EDN: https://elibrary.ru/FWTOEU
- ID: 233134
Cite item
Full Text
Abstract
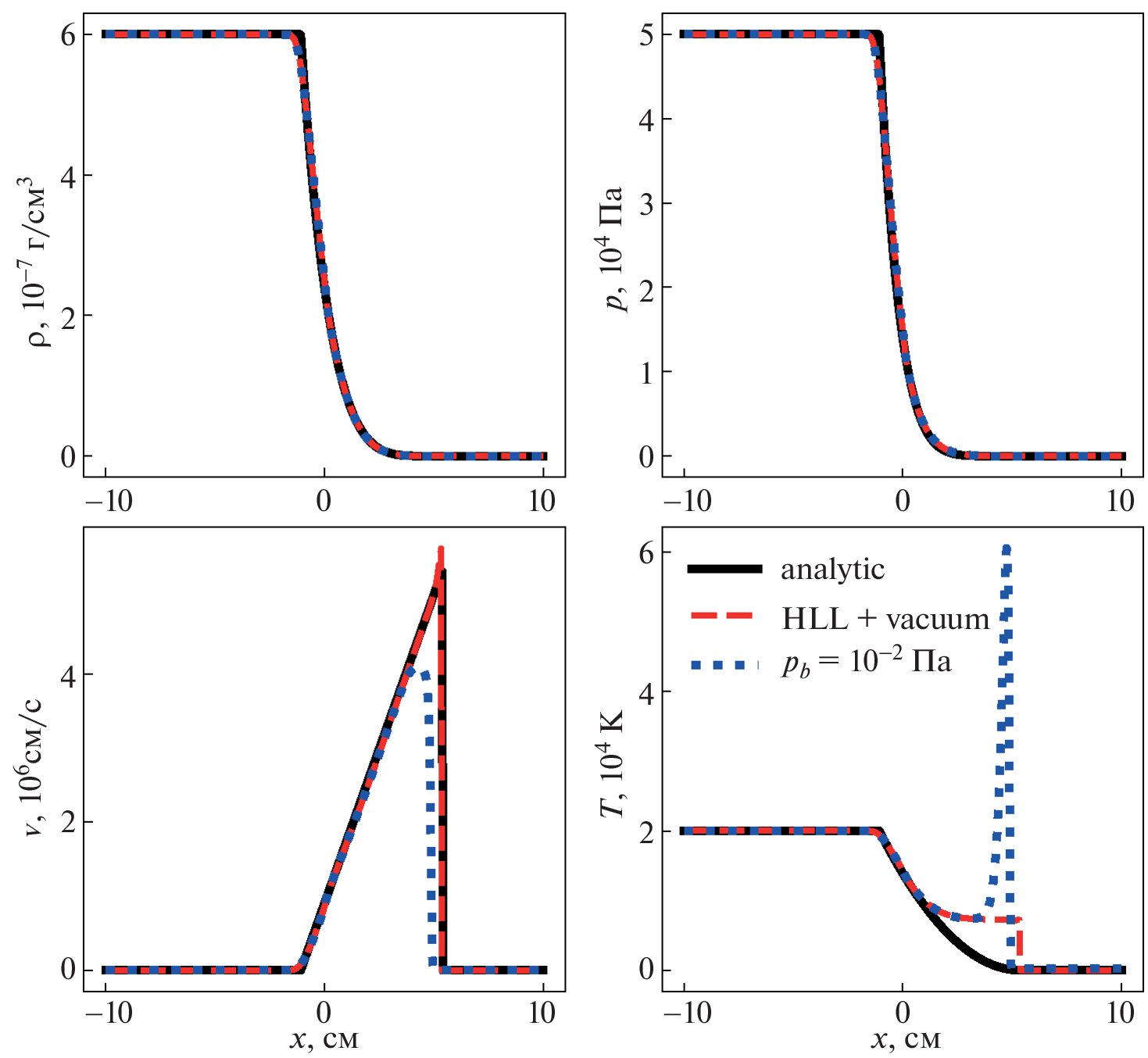
Представлены результаты численного трехмерного моделирования динамики высокоскоростных струй алюминиевой плазмы при их инжекции в сильно разреженную ионосферу Земли, которую можно считать вакуумом. Приведено описание модификации стандартного гидродинамического подхода, позволяющей учитывать режим сверхзвукового истечения плазмы в вакуум. Рассмотрены сценарии одиночной и встречной инжекций. Определены газодинамические параметры плазменных образований и их оптические характеристики, полученные при использовании стандартного и модифицированного подходов.
About the authors
Всероссийский научно-исследовательский институт автоматики им. Н.Л. Духова; Институт динамики геосфер им. ак. М.А. Садовского, РАН; НИЦ “Курчатовский институт”; Институт прикладной математики им. М.В. Келдыша РАН
Author for correspondence.
Email: urvachevyegor@gmail.com
Россия, Москва; Россия, Москва; Россия, Москва; Россия, Москва
Всероссийский научно-исследовательский институт автоматики им. Н.Л. Духова; Институт динамики геосфер им. ак. М.А. Садовского, РАН
Email: urvachevyegor@gmail.com
Россия, Москва; Россия, Москва
Всероссийский научно-исследовательский институт автоматики им. Н.Л. Духова; Институт динамики геосфер им. ак. М.А. Садовского, РАН
Email: urvachevyegor@gmail.com
Россия, Москва; Россия, Москва
Институт динамики геосфер им. ак. М.А. Садовского, РАН
Email: urvachevyegor@gmail.com
Россия, Москва
References
- Erlandson R.E., Meng C., Zetzer J.I. // J. Spacecraft and Rockets. 2004. V. 41. P. 481.
- Erlandson R., Meng C., Swaminathan P., Kumar C., Dogra V., Stoyanov B., Gavrilov B., Kiselev Y., Zetzer J., Stenbaek-Nielsen H. et al. // J. Spacecraft and Rockets. 2004. V. 41. P. 483.
- Zetser J., Poklad Y.V., Erlandson R. // Izvestiya, Phys. Solid Earth. 2021. V. 57. P. 745.
- Underwood T.C., Loebner K.T., Miller V.A., Cappelli M.A. // Sci. Rep. 2019. V. 9. P. 2588.
- Komissarov S., Porth O. // New Astron. Rev. 2021. V. 92. P. 101610.
- Beskin V. // Astron. Rep. 2023. V. 67. P. 27.
- Бескин В., Крауз В., Ламзин С. // УФН. 2023. Т. 193. С. 345.
- Landau L.D., Lifshitz E.M. Fluid Mechanics: Landau and Lifshitz: Course of Theoretical Physics, Volume 6. V. 6. Elsevier, 2013.
- Лосева Т., Косарев И., Поклад Ю., Ляхов А., Зецер Ю., Урвачев Е. // Физика плазмы. 2022. Т. 48. С. 956.
- Лосева Т., Урвачев Е., Зецер Ю., Ляхов А., Косарев И., Поклад Ю. // Физика плазмы. 2023. Т. 49. С. 797.
- Denavit J. // Phys. Fluids. 1979. V. 22. № 7. P. 1384.
- Werner G.R., Uzdensky D.A., Begelman M.C., Cerut-ti B., Nalewajko K. // Monthly Notices Royal Astron. Soc. 2018. V. 473. P. 4840.
- Lobok M., Brantov A., Bychenkov V.Y. // Phys. Plasmas. 2019. V. 26. № 12.
- Lobok M., Andriyash I.A., Vais O., Malka V., Bychen-kov V.Y. // Phys. Rev. E. 2021. V. 104. P. L053201.
- Suzuki-Vidal F., Lebedev S., Krishnan M., Skidmore J., Swadling G., Bocchi M., Harvey-Thompson A., Patan-kar S., Burdiak G., de Grouchy P. et al. // High Energy Density Phys. 2013. V. 9. P. 141.
- Hsu S., Moser A., Merritt E., Adams C., Dunn J., Brockington S., Case A., Gilmore M., Lynn A., Messer S., et al. // J. Plasma Phys. 2015. V. 81. P. 345810201.
- Kuzenov V., Ryzhkov S., Frolko P. // J. Phys.: Confer. Ser. V. 830. IOP Publishing. 2017. P. 012049.
- Rousskikh A.G., Artyomov A.P., Zhigalin A.S., Fedyu-nin A.V., Oreshkin V.I. // IEEE Transac. Plasma Science. 2018. V. 46. P. 3487.
- Крауз В., Харрасов А., Ламзин С., Додин А., Мялтон В., Ильичев И. // Физика плазмы. 2022. Т. 48. С. 506.
- Kuzenov V.V., Ryzhkov S.V., Varaksin A.Y. // Aerospace. 2023. V. 10. P. 662.
- Bird G.A. // Molecular gas dynamics and the direct simulation of gas flows. 1994.
- Titarev V. // Communications Computational Phys. 2012. V. 12. P. 162.
- Podryga V., Polyakov S. // Keldysh Institute Preprints. 2016. № 81. P. 1.
- Rana A.S., Struchtrup H. // Phys. Fluids. 2016. V. 28.
- Keenan B.D., Le A., Winske D., Stanier A., Wetherton B., Cowee M., Guo F. // Phys. Plasmas. 2022. V. 29.
- Munz C.-D. // Mathematical methods in the appl. sci. 1994. V. 17. P. 597.
- Subramaniam V., Raja L.L. // J. Computational Phys. 2018. V. 366. P. 207.
- Glazyrin S. // Astron. Lett. 2013. V. 39. P. 221.
- Urvachev E., Shidlovski D., Tominaga N., Glazyrin S., Blinnikov S. // Astrophys. J. Suppl. Ser. 2021. V. 256. № 1. P. 8.
- Glazyrin S., Lykov V., Karpov S., Karlykhanov N., Gryaz-nykh D., Bychenkov V.Y. // JETP Lett. 2022. V. 116. P. 83.
- Gasilov V., Boldarev A., Dyachenko S., Olkhovskaya O., Kartasheva E., Bagdasarov G., Boldyrev S., Gasilova I., Shmyrov V., Tkachenko S. et al. Towards an application of high-performance computer systems to 3D simulations of high energy density plasmas in Z-pinches // Applications, Tools and Techniques on the Road to Exascale Computing. IOS Press, 2012. P. 235.
- Gasilov V.A., Boldarev A.S., Olkhovskaya O.G., Boy-kov D.S., Sharova Y.S., Savenko N.O., Kotel’nikov A.M. // Preprints of the Keldysh Institute of Applied Mathematics. 2023. P. 37.
- Gonzalez M., Audit E., Huynh P. // Astron. Astrophys. 2007. V. 464. № 2. P. 429.
- Skinner M.A., Dolence J.C., Burrows A., Radice D., Varta-nyan D. // Astrophys. J. Suppl. Ser. 2019. V. 241. № 1. P. 7.
- Godunov S.K., Bohachevsky I. // Matematičeskij sbornik. 1959. V. 47. P. 271.
- Toro E.F. Riemann solvers and numerical methods for fluid dynamics: a practical introduction. Springer Science & Business Media, 2013.
- Harten A., Lax P.D., Leer B. v. // SIAM review. 1983. V. 25. P. 35.
- Davis S. // SIAM J. Scientific and Statistical Computing. 1988. V. 9. P. 445.
- Batten P., Clarke N., Lambert C., Causon D.M. // SIAM J. Scientific Computing. 1997. V. 18. P. 1553.
- Sun M., Takayama K. // J. Computational Phys. 2003. V. 189. P. 305.
- Fleischmann N., Adami S., Adams N.A. // J. Computational Phys.: X. 2020. V. 8. P. 100077.
- Urvachev E., Blinnikov S., Glazyrin S., Baklanov P. // Astron. Lett. 2022. V. 48. № 1. P. 20.
- Ma W., Zhao Z., Ni G. // Appl. Numerical Mathematics. 2021. V. 167. P. 92.
- Weinberger R., Ehlert K., Pfrommer C., Pakmor R., Springel V. // Monthly Notices Royal Astron. Soc. 2017. V. 470. P. 4530.
- Saha M.N. // Proceed. Royal Society London. Ser. A. 1921. V. 99. P. 135.
- Zeldovich Y.B., Raizer Y.P. Physics of shock waves and high-temperature hydrodynamic phenomena. V. 2. Academic Press, 1968.
- Miyoshi T., Kusano K. // J. Computational Phys. 2005. V. 208. P. 315.
Supplementary files









