Dispersion Characteristics of Low-Frequency Electron Waves in a Magnetoactive Plasma of Arbitrary Density
- Authors: Artekha N.S.1,2, Shklyar D.R.1
-
Affiliations:
- Space Research Institute, Russian Academy of Sciences
- National Research University Higher School of Economics
- Issue: Vol 49, No 11 (2023)
- Pages: 1127-1139
- Section: OSCILLATIONS AND WAVES IN PLASMA
- URL: https://journal-vniispk.ru/0367-2921/article/view/233136
- DOI: https://doi.org/10.31857/S0367292123600838
- EDN: https://elibrary.ru/HIZYRY
- ID: 233136
Cite item
Full Text
Abstract
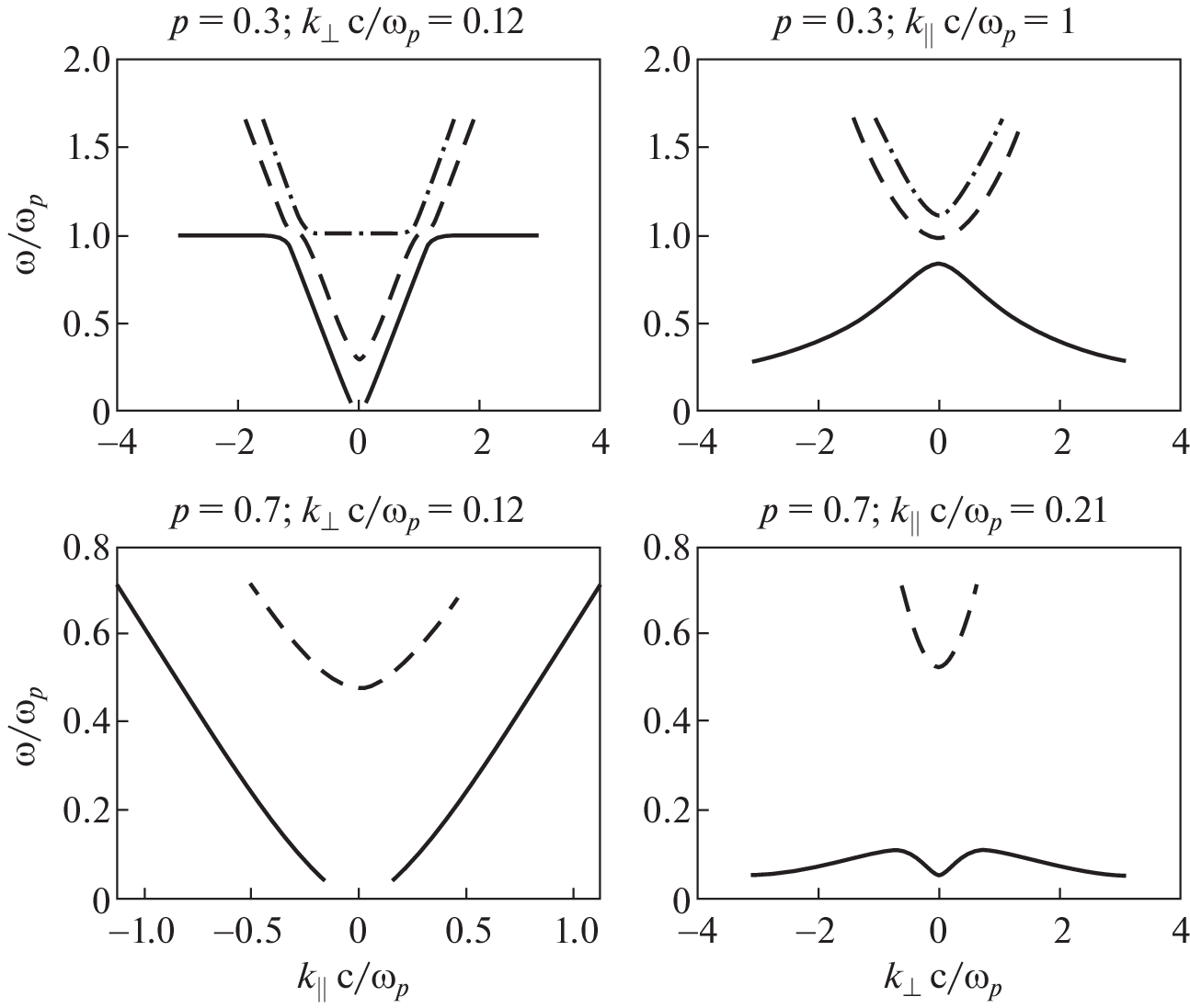
The article studies waves in a collisionless magnetoactive plasma with frequencies much lower than the electron cyclotron frequency at an arbitrary ratio between the electron plasma and cyclotron frequencies. A general dispersion relation is obtained for the wave frequency as a function of the wave vector and the ratio of the plasma frequency to the cyclotron frequency. This relation is a bicubic equation with respect to frequency. Based on this equation, the existence domains of various wave modes depending on the specified parameter, their group velocity, polarization, and energy density are studied. Special attention is paid to low-frequency whistler waves in a low-density plasma, since, among the propagating wave modes existing in the specified range of parameters, whistler waves have the highest refractive index and play an important role in theresonant interaction of waves and particles.
About the authors
N. S. Artekha
Space Research Institute, Russian Academy of Sciences; National Research University Higher School of Economics
Email: natalya.arteha@mail.ru
117997, Moscow, Russia; 101000, Moscow, Russia
D. R. Shklyar
Space Research Institute, Russian Academy of Sciences
Author for correspondence.
Email: david@iki.rssi.ru
117997, Moscow, Russia
References
- Ахиезер А.И. (ред.), Ахиезер И.А., Половин Р.В., Ситенко А.Г., Степанов К.Н. Электродинамика плазмы. М.: Наука, 1974.
- Гинзбург В.Л., Рухадзе А.А. Волны в магнитоактивной плазме. М.: Наука, 1975.
- Helliwell R.A. Whistlers and related ionospheric phenomena. Stanford: Stanford University Press, 1965.
- Ferencz C., Ferencz O.E., Hamar D., Lichtenberger J. (eds). Whistler phenomena. Short impulse propagation. Dordrecht: Kluwer Academic Publishers, 2001.
- Беспалов П.А., Трахтенгерц В.Ю. // Вопросы теории плазмы. М.: Атомиздат, 1980. Вып. 10. С. 88.
- Matsumoto H., Kimura I. // Planetary Space Sci. 1971. V. 19. P. 567.
- Matsumoto H. // Wave instabilities in space plasmas / Eds. Palmadesso P.J., Papadopoulos K. Hingham: D. Reidel, 1979. 163 p.
- Omura Y., Nunn D., Matsumoto H., Rycroft M.J. // J. Atmospheric Terrestrial Phys. 1991. V. 53. P. 351.
- Demekhov A.G., Trakhtengerts V.Y., Rycroft M.J., Nunn D. // Geomagnetism and Aeronomy. 2006. V. 46. P. 711.https://doi.org/10.1134/S0016793206060053
- Demekhov A.G., Trakhtengerts V.Y., Rycroft M.J., Nunn D. // Geomagnetism and Aeronomy. 2009. V. 49(1). 24.https://doi.org/10.1134/S0016793209010034
- Shklyar D.R. // Planetary Space Sci. 1986. V. 34. P. 1091.
- Thorne R.M., Kennel C.F. // J. Geophys. Res. 1971. V. 76(19). P. 4446.https://doi.org/10.1029/JA076i019p04446
- Сажин С.С. Естественные радиоизлучения в магнитосфере Земли. М.: Наука, 1982. 9 с.
- Artemyev A., Agapitov O., Breuillard H., Krasnosels-kikh V., Rolland G. // Geophys. Res. Lett. V. 39. P. L08105.https://doi.org/10.1029/2012GL051393
- Artemyev A., Agapitov O., Mourenas D., Krasnoselskikh V., Shastun V., Mozer F. // Space Sci. Rev. 2016.https://doi.org/10.1007/s11214-016-0252-5
- Trakhtengerts V.Y., Rycroft M.J. // J. Atmospheric Solar-Terrestrial Phys. 2000. V. 62. P. 1719.
- Trakhtengerts V.Y., Rycroft M.J. Whistler and Alfven mode cyclotron masers in space. Cambridge: Cambridge University Press, 2008.
- Шкляр Д.Р. // Плазменная гелиогеофизика / Под ред. Л.М. Зеленого и И.С. Веселовского. М.: Физматлит, 2008. Т. 2. С. 391.
- Storey L.R.O. // Philosophical Transactions of the Royal Society of London. 1953. V. A246(908). P. 113.
- Gendrin R. // Planet. Space Sci. 1961. V. 5. P. 274.https://doi.org/10.1016/0032-0633(61)90096-4
- Kimura I. // Radio Sci. 1966. V. 1(3). P. 269.
- Kimura I. // Space Sci. Rev. 1985. V. 42 (3/4). P. 449.
- Smith R.L., Angerami J.J. // J. Geophys. Res. 1968. V. 73 (1). P. 1.
- Barnhart B.L., Kurth W.S., Groene J.B., Faden J.B., Santolik O., Gurnett D.A. // J. Geophys. Res. 2009. V. 114. P. A05218.https://doi.org/10.1029/2009JA014069
- Tetrick S.S., Gurnett D.A., Kurth W.S., Imai M., Hospodarsky G.B., Bolton S.J., Connerney J.E.P., Levin S.M., Mauk B.H. // Geophys. Res. Lett. 2017. V. 44. P. 4447.https://doi.org/10.1002/2017GL073073
- Zhang X.-J., Ma Q., Artemyev A.V., Li W., Kurth W.S., Mauk B.H., Clark G., Allegrini F., Gershman D.J., Bolton S.J. // J. Geophys. Res.: Space Phys. 2020. V. 125. P. e2020JA027957.https://doi.org/10.1029/2020JA027957
- Kurth W.S., Mauk B.H., Elliott S.S., Gurnett D.A., Hospodarsky G.B., Santolik O., Connerney J.E.P., Valek P., Allegrini F., Gladstone G.R., Bolton S.J., Levin S.M. // Geophys. Res. Lett. 2018. V. 45. P. 9372.https://doi.org/10.1029/2018GL078566
- Sulaiman A.H., Mauk B.H., Szalay J.R., Allegrini F., Clark G., Gladstone G.R., Kotsiaros S., Kurth W.S., Bagenal F., Bonfond B., Connerney J.E.P., Ebert R.W., Elliott S.S., Gershman D.J., Hospodarsky G.B., Hue V., Lysak R.L., Masters A., Santolik O., Saur J., Bolton S.J. // J. Geophys. Res.: Space Phys. 2022. V. 127. P. e2022JA030334.https://doi.org/10.1029/2022JA030334
- Persoon A.M., Kurth W.S., Gurnett D.A., Groene J.B., Sulaiman A.H., Wahlund J.-E., Morooka M.W., Ha-did L.Z., Nagy A.F., Waite J.H.,Jr., Cravens T.E. // Geophys. Res. Lett. 2019. V. 46. P. 3061.https://doi.org/10.1029/2018GL078020
- Lamy L., Cecconi B., Zarka P., Canu P., Schippers P., Kurth W.S., Mutel R.L., Gurnett D.A., Menietti D., Louarn P. // J. Geophys. Res.: Space Phys. 2010. V. 116. P. A04212.https://doi.org/10.1029/2010JA016195
- Shprits Y.Y., Menietti J.D., Gu X., Kim K.C., Horne R.B. // J. Geophys. Res. 2012. V. 117. P. A11216.https://doi.org/10.1029/2012JA018031
- Menietti J.D., Averkamp T.F., Imai M., Kurth W.S., Clark G.B., Allegrini F., Groene J.B., Faden J.B., Bolton S.J. // J. Geophys. Res.: Space Phys. 2021. V. 126. P. e2020JA028742.https://doi.org/10.1029/2020JA028742
- Lamy L., Schippers P., Zarka P., Cecconi B., Arridge C.S., Dougherty M.K., Louarn P., Andre N., Kurth W.S., Mutel R.L., Gurnett D.A., Coates A.J. // Geophys. Res. Lett. 2010. V. 37. P. L12104. https://doi.org/10.1029/2010GL043415
- Mutel R.L., Menietti J.D., Gurnett D.A., Kurth W., Schippers P., Lynch C., Lamy L., Arridge C., Cecconi B. // Geophys. Res. Lett. 2010. V. 37. P. L19105.https://doi.org/10.1029/2010GL044940
- Шафранов В.Д. // Вопросы теории плазмы / Под ред. М.А. Леонтовича. М.: Госатомиздат, 1963.
Supplementary files













