Преимущества струи холодной атмосферной плазмы, генерируемой положительным импульсным напряжением в противораковой терапии
- Authors: 1, 1,2,3, 1,2,3, 1, 1,4, 1,4
-
Affiliations:
- Институт теоретической и прикладной механики им. С.А. Христиановича СО РАН
- Институт физики полупроводников им. А.В. Ржанова СО РАН
- Новосибирский государственный технический университет
- Институт химической биологии и фундаментальной медицины СО РАН
- Issue: Vol 49, No 11 (2023)
- Pages: 1178-1185
- Section: LOW TEMPERATURE PLASMA
- URL: https://journal-vniispk.ru/0367-2921/article/view/233144
- DOI: https://doi.org/10.31857/S0367292123601042
- EDN: https://elibrary.ru/FYKBFD
- ID: 233144
Cite item
Full Text
Abstract
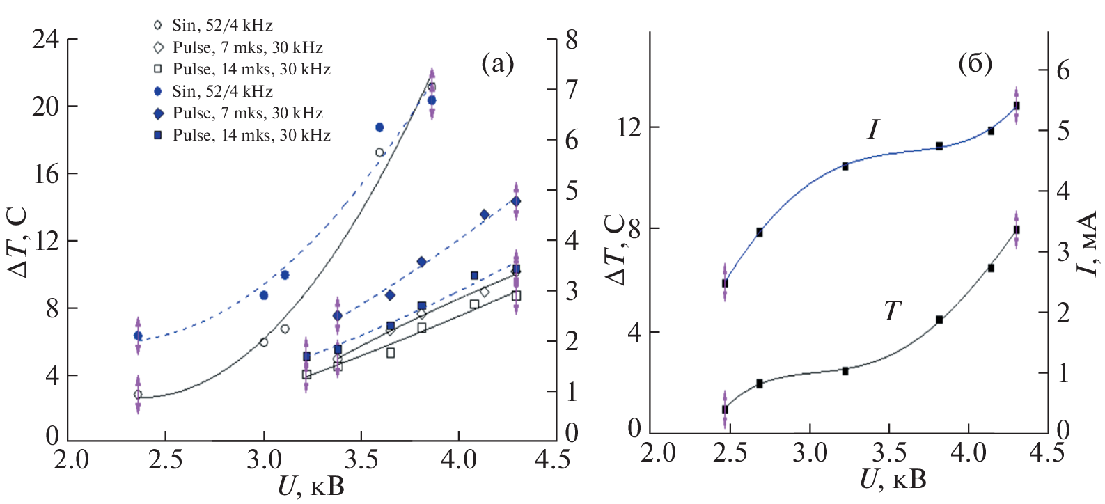
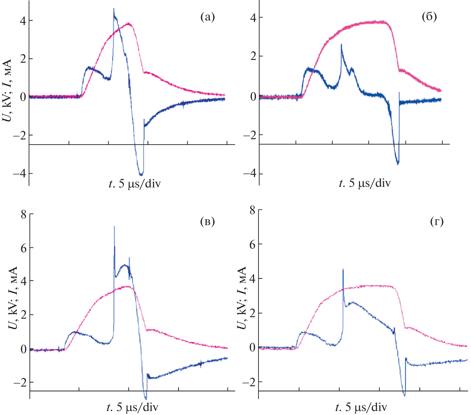
В эксперименте и численном моделировании проводится сравнение интенсивности взаимодействия гелиевой холодной плазменной струи (ХПС) с диэлектрической поверхностью и с кожей животных. ХПС при атмосферном давлении генерируется синусоидальным или положительным импульсным напряжением с различной длительностью импульса в оптимальных режимах. Эффект воздействия оценивается на основе измеренных и рассчитанных токов, интенсивностей линий в спектре ХПС и температурных полей. Измеренные характеристики ХПС показывают, что импульсный характер возбуждения ХПС является предпочтительным по сравнению с синусоидальным режимом. Варьирование длительности импульсов периодического импульсного напряжения позволяет получить максимальные ток и напряженность электрического поля у поверхности в рамках допустимой температуры в зоне контакта ХПС с кожей мышей (<42°C). Показано, что результаты исследования ХПС полученные в физических экспериментах с использованием диэлектрической пластины применимы для воздействия на мышей-опухоленосителей.
About the authors
Институт теоретической и прикладной механики им. С.А. Христиановича СО РАН
Author for correspondence.
Email: ivschweigert@gmail.com
Россия, Новосибирск
Институт теоретической и прикладной механики им. С.А. Христиановича СО РАН; Институт физики полупроводников им. А.В. Ржанова СО РАН; Новосибирский государственный технический университет
Email: ivschweigert@gmail.com
Россия, Новосибирск; Россия, Новосибирск; Россия, Новосибирск
Институт теоретической и прикладной механики им. С.А. Христиановича СО РАН; Институт физики полупроводников им. А.В. Ржанова СО РАН; Новосибирский государственный технический университет
Email: ivschweigert@gmail.com
Россия, Новосибирск; Россия, Новосибирск; Россия, Новосибирск
Институт теоретической и прикладной механики им. С.А. Христиановича СО РАН
Email: ivschweigert@gmail.com
Россия, Новосибирск
Институт теоретической и прикладной механики им. С.А. Христиановича СО РАН; Институт химической биологии и фундаментальной медицины СО РАН
Email: ivschweigert@gmail.com
Россия, Новосибирск; Россия, Новосибирск
Институт теоретической и прикладной механики им. С.А. Христиановича СО РАН; Институт химической биологии и фундаментальной медицины СО РАН
Email: ivschweigert@gmail.com
Россия, Новосибирск; Россия, Новосибирск
References
- Živani M., Espona-Noguera A., Lin A., Canal C. // Adv. Sci. 2023. V. 10 (8). P. 2205803. https://doi.org/10.1002/advs.202205803
- Keidar M., Shashurin A., Volotskova O., Stepp M., Srinivasan P., Sandler A., Trink B. // Phys. Plasmas 2013. V. 20 (5). P. 057101. https://doi.org/10.1063/1.4801516
- Fridman G., Fridman G., Gutsol A., Shekhter A., Vasi-lets V., Fridman A. // Plasma Process. Polym. 2008. V. 5. P. 503–533. https://doi.org/10.1002/ppap.200700154
- Huang J., Li H., Chen W., Lv G., Wang X., Zhang G., Ostrikov K., Wang P., Yang S. // Appl. Phys. Lett. 2011. V. 99. P. 253701. https://doi.org/10.1063/1.3666819
- Keidar M., Walk R., Shashurin A., Srinivasan P., Sandler A., Dasgupta S., Ravi R., Guerrero-Preston R., Trink B. // Brit. J. Cancer. 2011. V. 105. P. 1295. https://doi.org/10.1038/bjc.2011.386
- Graves D. // J. Phys. D: Appl. Phys. 2012. V. 45 (26). P. 263001. https://doi.org/10.1088/0022-3727/45/26/263001
- Lya L., Chenga X., Murthya S., Zhuang T., Jones O., Basadonna G., Keidar M., Canady J. // Clinical Plasma Medicine, 2023, in press.
- https://www.shebaonline.org/canady-helios-cold-plasma-scalpel-for-breast-cancer-treatment (Пpимeнeниe Canady Helios™ Cold Plasma).
- Bekeschus S., Schmidt A., Weltmann, K., von Woedtke T. // Clinical Plasma Medicine, 2016. V. 4 (1). P. 19. https://doi.org/10.1016/j.cpme.2016.01.001
- Kim S., Chung T. // Sci. Rep. 2016. V. 6. P. 20332. https://doi.org/10.1038/srep20332
- Yan D., Xu W., Yao X., Lin L., Sherman J., Keidar M. // Sci. Rep. 2018. V. 8. P. 15418. https://doi.org/10.1038/s41598-018-33914-w
- Schweigert I.V., Zakrevsky D.E., Gugin P.P, Milakhi-na E.V., Biryukov M.M., Keidar M., Koval O.A. // Plasma Sources Sci. Technol. 2022. V. 31. P. 114004. https://doi.org/10.1088/1361-6595/aca120
- Швейгерт И.В., Закревский Д.Э., Милахина Е.В., Гугин П.П., Бирюков М.М., Патракова Е.А., Троицкая О.С., Коваль О.А. // Физика плазмы. 2023. Т. 49. № 5. С. 447. https://doi.org/10.31857/S0367292122601400
- Akishev Yu.S., Karalnik V.B., Medvedev M.A., Petrya-kov A.V., Trushkin N.I., Shafikov A.G. // Journal of Physics: Conf. Series. 2017. V. 927. P. 012040. https://doi.org/10.1088/1742-6596/927/1/012040
- Schweigert I.V., Alexandrov A.L., Zakrevsky D.E. // Plasma Sources Sci. Technol. 2020. V. 29. P. 12LT02. https://doi.org/10.1088/1361-6595/abc93f
- Schweigert I., Zakrevsky Dm., Gugin P., Yelak E., Golubitskaya E., Troitskaya O., Koval O. // Applied Sciences, 2019. V. 9. P. 4528. Schweigert I., Zakrevsky D., Milakhina E., Gugin P., Biryukov M., Patrakova E., Ko-val O. // Plasma Phys. Control. Fusion, 2022. V. 64. P. 044015.https://doi.org/10.1088/1361-6587/ac53fl10.1088/1361-6587/ac53flhttps://doi.org/10.3390/app9214528
- Зарубин И.А., Лабусов В.А., Бабин С.А. // Заводская лаборатория. Диагностика материалов. 2019. Т. 85. № 1 (II). С. 117. .
- Schweigert I., Vagapov S., Lin L., Keidar M. // J. Phys. D: Appl. Phys. 2019. V. 52 (29). P. 295201. https://doi.org/10.1088/1361-6463/ab1319
- Боровикова А.С., Гугин П.П., Закревский Д.Э., Милахина Е.В., Швейгерт И.В. // Письма в ЖТФ, 2022. Т. 48. № 19. С. 8. https://doi.org/10.21883/PJTF.2022.19.53587.19308
- Babaeva N.Y. and Naidis G.V. // Plasma Sources Sci. Technol. 2018. V. 27. P. 075018. https://doi.org/10.1088/1361-6595/aad0d9
Supplementary files










