Features of Plasma Disruption in the Globus-M2 Spherical Tokamak
- Authors: Sakharov N.V.1, Kavin A.A.2, Mineev A.B.2, Bakharev N.N.1, Bondarchuk E.N.2, Gusev V.K.1, Zhil’tsov N.S.1, Kiselev E.O.1, Kurskiev G.S.1, Minaev V.B.1, Petrov Y.V.1, Rodin I.Y.2, Skrekel’ O.M.1, Tel’nova A.Y.1, Tkachenko E.E.1, Tokarev V.A.1, Tyukhmeneva E.A.1, Shchegolev P.B.1
-
Affiliations:
- Ioffe Institute, Russian Academy of Sciences
- JSC “NIIEFA”
- Issue: Vol 49, No 12 (2023)
- Pages: 1337-1347
- Section: TOKAMAKS
- URL: https://journal-vniispk.ru/0367-2921/article/view/233145
- DOI: https://doi.org/10.31857/S0367292123601157
- EDN: https://elibrary.ru/CFDDWE
- ID: 233145
Cite item
Full Text
Abstract
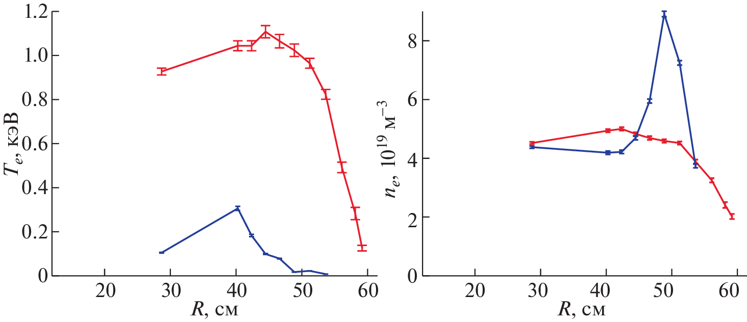
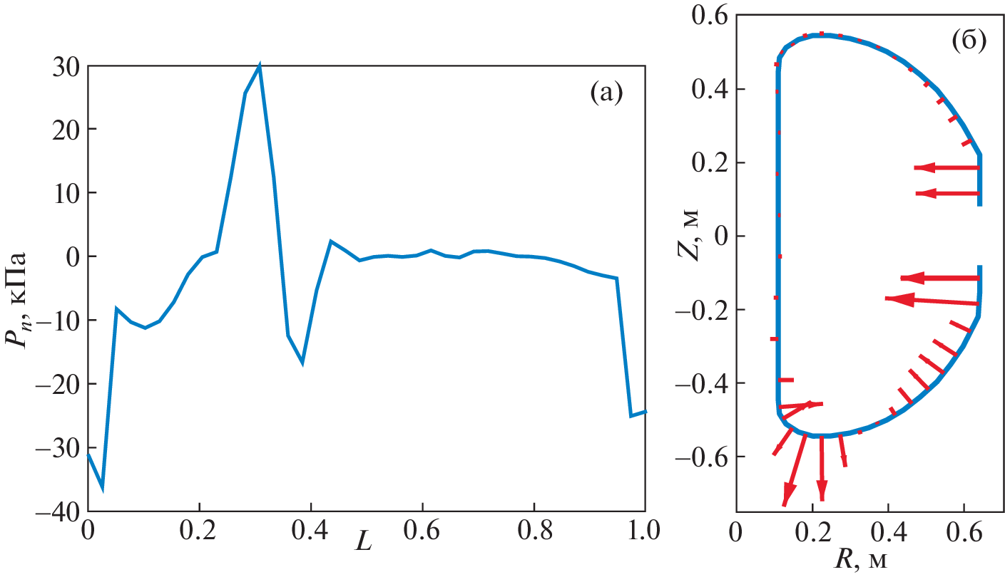
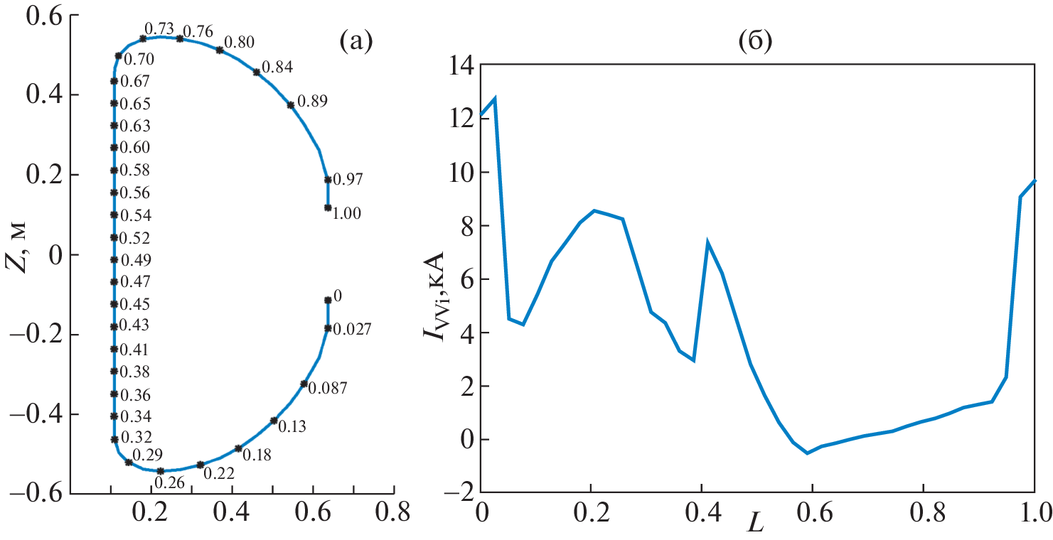
Data on plasma disruption processes in the modernized Globus-M2 spherical tokamak are presented.
Electron temperature and density profiles before the disruption, immediately after thermal quench
and in the stage of plasma current quench are measured using the diagnostics of Thomson scattering of laser
radiation. The dependence of the plasma current decay time during disruption on the pre-disruption current
value is determined. The distribution of the toroidal current, which is induced during disruption, in the shell
of the vessel is determined on the basis of magnetic measurements. Electromagnetic loads on the vessel are
calculated.
Keywords
About the authors
N. V. Sakharov
Ioffe Institute, Russian Academy of Sciences
Email: nikolay.sakharov@mail.ioffe.ru
St. Petersburg, Russia
A. A. Kavin
JSC “NIIEFA”
Email: min-anat@mail.ru
St. Petersburg, Russia
A. B. Mineev
JSC “NIIEFA”
Email: min-anat@mail.ru
St. Petersburg, Russia
N. N. Bakharev
Ioffe Institute, Russian Academy of Sciences
Email: min-anat@mail.ru
St. Petersburg, Russia
E. N. Bondarchuk
JSC “NIIEFA”
Email: min-anat@mail.ru
St. Petersburg, Russia
V. K. Gusev
Ioffe Institute, Russian Academy of Sciences
Email: min-anat@mail.ru
St. Petersburg, Russia
N. S. Zhil’tsov
Ioffe Institute, Russian Academy of Sciences
Email: min-anat@mail.ru
St. Petersburg, Russia
E. O. Kiselev
Ioffe Institute, Russian Academy of Sciences
Email: min-anat@mail.ru
St. Petersburg, Russia
G. S. Kurskiev
Ioffe Institute, Russian Academy of Sciences
Email: min-anat@mail.ru
St. Petersburg, Russia
V. B. Minaev
Ioffe Institute, Russian Academy of Sciences
Email: min-anat@mail.ru
St. Petersburg, Russia
Yu. V. Petrov
Ioffe Institute, Russian Academy of Sciences
Email: min-anat@mail.ru
St. Petersburg, Russia
I. Yu. Rodin
JSC “NIIEFA”
Email: min-anat@mail.ru
St. Petersburg, Russia
O. M. Skrekel’
Ioffe Institute, Russian Academy of Sciences
Email: min-anat@mail.ru
St. Petersburg, Russia
A. Yu. Tel’nova
Ioffe Institute, Russian Academy of Sciences
Email: min-anat@mail.ru
St. Petersburg, Russia
E. E. Tkachenko
Ioffe Institute, Russian Academy of Sciences
Email: min-anat@mail.ru
St. Petersburg, Russia
V. A. Tokarev
Ioffe Institute, Russian Academy of Sciences
Email: min-anat@mail.ru
St. Petersburg, Russia
E. A. Tyukhmeneva
Ioffe Institute, Russian Academy of Sciences
Email: min-anat@mail.ru
St. Petersburg, Russia
P. B. Shchegolev
Ioffe Institute, Russian Academy of Sciences
Author for correspondence.
Email: min-anat@mail.ru
St. Petersburg, Russia
References
- Сахаров Н.В., Гусев В.К., Ибляминова А.Д., Ка-вин А.А., Каменщиков С.Н., Курскиев Г.С., Лоба-нов К.М., Минаев В.Б., Минеев А.Б., Патров М.И., Петров Ю.В., Толстяков С.Ю. // Физика плазмы. 2017. Т. 43. С. 344.
- Сахаров Н.В., Гусев В.К., Кавин А.А., Каменщи-ков С.Н., Лобанов К.М., Минеев А.Б., Патров М.И., Петров Ю.В. // Физика плазмы. 2018. Т. 44. С. 335.
- ITER Physics Basis. // 1999. Nuclear Fusion. V. 39. P. 2137.
- Eidietis N.W., Gerhardt S.P., Granetz R.S., Kawano Y., Lehnen M., Pautasso G., Riccardo V., Tanna R.L., Thornton A.J. // 2015. Nuclear Fusion. V. 55. P. 063030.
- Mineev A.B., Bondarchuk E.N., Kavin A.A., Konin A.Yu., Rodin I.Yu., Tanchuk V.N., Filatov O.G., Bakha-rev N.N., Zhilzov N.S., Kurskiev G.S., Kiselev E.O., Minaev V.B., Sakharov N.V., Petrov Yu.V., Telnova A.Yu. // Physics of Atomic Nuclei. 2022. V. 85. P. 1194.
- Mineev A.B., Bondarchuk E.N., Kavin A.A., Konin A.Yu., Rodin I.Yu., Tanchuk V.N., Trofimov V.A., Filatov O.G., Bakharev N.N., Zhilzov N.S., Kurskiev G.S., Kise-lev E.O., Minaev V.B., Sakharov N.V., Petrov Yu.V., Telnova A.Yu. // Physics of Atomic Nuclei. 2022. V. 85. P. 1205.
- Mineev A.B., Minaev V.B., Sakharov N.V., Bakharev N.N., Bondarchuk E.N., Voronova A.A., Glushaev A.M., Grigoriev S.A., Gusev V.K., Zhiltsov N.S., Zapretilina E.R., Kavin A.A., Kiselev E.O., Konin A.Yu., Kudriavtseva A.M., Kurskiev G.S., Labusov A.N., Petrov Yu.V., Rodin I.Yu., Tanchuk V.N., Tel’nova A.Yu., Trofimov V.A., Fila-tov O.G. // Physics of Atomic Nuclei. 2022. V. 85. P. S17.
- Vasiliev V.I., Kostsov Yu.A., Lobanov K.M., Makaro-va L.P., Mineev A.B., Gusev V.K., Levin R.G., Petrov Yu.V., Sakharov N.V. // Nuclear Fusion. 2006. V. 46. P. S625.
- Сахаров Н.В., Воронин А.В., Гусев В.К., Кавин А.А., Каменщиков С.Н., Лобанов К.М., Минаев В.Б., Новохацкий А.Н., Патров М.И., Петров Ю.В., Щего-лев П.Б. // Физика плазмы. 2015. Т. 41. С. 1076.
- Gerhardt S.P., Menard J.E. and the NSTX Team // N-uclear Fusion. 2009. V. 49. P. 025005
Supplementary files


















