Коэффициенты распыления бериллия и вольфрама различными атомами от водорода до вольфрама
- Авторы: Михайлов В.С.1, Бабенко П.Ю.1, Шергин А.П.1, Зиновьев А.Н.1
-
Учреждения:
- Физико-технический институт им. А.Ф. Иоффе
- Выпуск: Том 50, № 1 (2024)
- Страницы: 15-27
- Раздел: ВЗАИМОДЕЙСТВИЕ ПЛАЗМЫ С ПОВЕРХНОСТЯМИ
- URL: https://journal-vniispk.ru/0367-2921/article/view/260990
- DOI: https://doi.org/10.31857/S0367292124010022
- EDN: https://elibrary.ru/SKSYWL
- ID: 260990
Цитировать
Полный текст
Аннотация
С помощью компьютерного моделирования рассчитаны коэффициенты распыления мишеней из Be и W, перспективных материалов для первой стенки и дивертора в токамаке ИТЭР, в широком диапазоне энергий налетающих атомов 10–100 000 эВ. В качестве налетающих частиц выбраны атомы: H, D, T, He, Be, C, N, O, Ne, Ar, W. Показано сильное влияние формы поверхности на получаемые результаты. Рассмотрены предельные случаи плоского потенциального барьера (гладкая поверхность) и сферического потенциального барьера (шероховатая поверхность). Получены данные о средней энергии и угловых распределениях распыленных атомов, необходимые для расчета поступления примесей в плазму токамака. Оценено поступление атомов материала стенки в плазму токамака ИТЭР при распылении стенки потоками быстрых атомов дейтерия и трития, покидающими плазму.
Ключевые слова
Полный текст
ВВЕДЕНИЕ
Международный проект по созданию токамака-реактора ИТЭР является важным шагом в осуществлении управляемого термоядерного синтеза. Материалы первой стенки и дивертор (бериллий и вольфрам) во время работы реактора будут подвергаться воздействию интенсивных потоков быстрых атомов, ионов, электронов, нейтронов и излучения. Поступление в плазму сколько-нибудь значительного количества примесей может привести к затуханию термоядерной реакции.
Коэффициенты распыления бериллия и вольфрама изотопами водорода были рассчитаны в наших работах [1–3]. Также были получены и энергетические распределения распыленных частиц. Эти данные важны для расчета поступления распыленных частиц в горячую зону плазмы.
Как известно, гелий будет нарабатывается в ходе термоядерной реакции. Углерод, азот и кислород являются примесями в плазме. Их источником, как правило, является восстановление этих атомов из карбидов, нитридов или окислов при бомбардировке конструкционных материалов изотопами водорода. Азот, неон и аргон могут добавляться в плазму для понижения температуры плазмы в пристеночной области.
Чтобы значительно уменьшить радиационные потери энергии плазмой при поступлении в плазму материала стенки планируется выполнить ее из бериллия, материала с небольшим Z. Как было показано в работе [4], распыление стенки атомами дейтерия и трития может привести к поступлению в район сепаратрисы бериллия, при этом концентрация Be может составлять 2–4% от плотности плазмы.
Электронная температура в районе сепаратрисы может составлять 100–150 эВ, электронная плотность – 1013 частиц/см3 [5]. При этих параметрах частицы примесей присутствуют в плазме в виде многозарядных ионов. При бомбардировке дивертора ионы примесей ускоряются потенциалом плазма-стенка, их энергия существенно увеличивается. Тем самым, ионы примесей могут вызвать значительно большее распыление дивертора, по сравнению с распылением водородными частицами. Таким образом, достоверная информация о коэффициентах распыления бериллия и вольфрама примесями важна для оценки работоспособности материалов, применяемых в токамаке ИТЭР.
Популярный код SRIM [6] дает неверные результаты при расчете распыления, когда доминирует распыление потоком обратно рассеянных частиц. Это связано с тем, что для расчета рассеяния в коде используются магические формулы, которые дают неверные результаты при рассеянии на большие углы. Имеется модификация кода SDTrimSP (SP – Sputtering), где этот недостаток устранен. Подробные расчеты коэффициентов распыления с использованием кода SDTrimSP для различных материалов в рамках приближения парных взаимодействий с использованием потенциала межатомного взаимодействия KrC представлены в работах [7, 8]. В задачи настоящей работы входило проведение более точных расчетов с использованием современной информации о многочастичных потенциалах [9–13] и предложенной нами коррекции представлений об электронных тормозных способностях с учетом многократности соударений [14].
ОПИСАНИЕ МЕТОДИКИ
Расчеты были проведены с помощью разработанного нами кода, основанного на методе Монте-Карло. Вначале рассчитывалась траектория налетающей частицы. Расчет прекращался при вылете частицы в вакуум (обратное рассеяние), либо когда энергия частицы вследствие торможения в веществе становилась меньше заданной (2 эВ). Обычно рассчитывался 1 млн траекторий налетающих частиц со случайно выбранными начальными условиями для набора требуемой статистики, а в случае расчета коэффициента распыления вблизи порога число налетающих частиц доходило до 100 млн. При расчете траекторий налетающих частиц нами использовались парные потенциалы, полученные в рамках теории функционала плотности, которые согласуются с данными экспериментов по изучению рассеяния в газовой фазе [15]. Вносилась коррекция на параметры потенциальной ямы в соответствии с работой [16].
Для описания электронных тормозных потерь мы использовали надежные экспериментальные данные для алюминия [17] с применением масштабирования на различие в электронной плотности бериллия, вольфрама и алюминия с использованием методики, предложенной в работе [18], и с учетом поправки на многократность соударений [14].
Мишень описывалась как набор микрокристаллов рассматриваемого материала мишени размером в одну постоянную решетки, случайно ориентированных в пространстве. Поверхность мишени задавалась как случайный срез кристалла. Учитывались тепловые колебания атомов мишени, при этом амплитуда колебаний задавалась для комнатной температуры.
Налетающая частица при соударениях с атомами мишени образует быстрые частицы отдачи. Массив координат, энергий и векторов скорости этих частиц записывался в массив данных. Частицы отдачи в свою очередь могут генерировать появление каскадных частиц, которые дополнялись в этот массив. Траектории частиц отдачи вычислялись с использованием многочастичных потенциалов, полученных с использованием теории функционала плотности [9–13]. Частицы, преодолевшие поверхностный потенциальный барьер и вышедшие в вакуум, считались распыленными.
Модель потенциального барьера на границе твердое тело – вакуум [19] заметно влияет на результаты расчетов. Эта модель зависит от топографии поверхности (см. рис. 1). Для поверхности, состоящей из остриев атомного масштаба, поверхностный потенциал может быть принят изотропным (сферическим). В этом случае энергия распыленной частицы E2 должна быть больше энергии сублимации Es. Для гладкой поверхности используется модель плоскостного потенциала. В этом случае для распыленной частицы должно выполняться условие E2 · cos2(Θ) > Es, где Θ – угол вылета распыленной частицы, отсчитываемый от нормали к поверхности.
Рис. 1. Форма потенциального барьера для различных поверхностей: (а) плоскостной барьер (гладкая поверхность), (б) сферический барьер (поверхность, состоящая из остриев). Жирной стрелкой указано направление вылета распыленной частицы. Пунктирными стрелками показаны направления силовых линий электрического поля
При расчете распыления поверхности с макроскопическими шероховатостями следует учитывать зависимость коэффициента распыления от угла падения пучка на мишень и эффекты перенапыления. В реальных условиях работы токамака шероховатость поверхности может значительно меняться, поэтому мы рассчитывали коэффициенты распыления для рассмотренных выше двух предельных случаев.
КОЭФФИЦИЕНТЫ РАСПЫЛЕНИЯ БЕРИЛЛИЯ И ВОЛЬФРАМА АТОМАМИ H, D, T, He, C, N, O, Ne, Ar, W
На рис. 2 приведены коэффициенты распыления бериллия атомами H, D, T, He, C, N, O, Ne, Ar в зависимости от энергии налетающих частиц для двух предельных случаев поверхностного потенциального барьера.
Рис. 2. Коэффициенты распыления для мишени из бериллия атомами H, D, T, He, C, N, O, Ne, Ar для нормального падения пучка на мишень в зависимости от энергии налетающих атомов: (а) – плоскостной барьер, плоская поверхность, (б) – сферический барьер, поверхность, состоящая из отдельных атомов
Из рис. 2 видно, что расчетные данные для сферического барьера дают большие значения коэффициента распыления, что связано с условием отбора распыленных частиц. Как видно из рис. 2, зависимости коэффициента распыления от энергии соударения для случаев M1 > M2 и M1 < M2 резко различаются. Здесь M1 и M2 – масса налетающей частицы и масса атома мишени, соответственно. С изменением массы налетающей частицы меняется положение энергетического порога для зависимости коэффициента распыления от энергии налетающих частиц. Для этих случаев различна физическая модель распыления. При M1 < M2, когда легкая частица налетает на более тяжелый атом, доминирует распыление приповерхностных слоев потоком обратно рассеянных легких атомов. Этот случай был рассмотрен в работе [20]. При M1 > M2, однократное рассеяние налетающей частицы на угол больше arcsin(M1 /M2) невозможно. Распыление происходит вследствие развития каскадов столкновений частиц мишени. Этот случай описывается теорией Зигмунда [21].
На рис. 3 представлены расчетные коэффициенты распыления для мишени из вольфрама. В данном случае масса налетающих частиц во всех случаях (кроме W–W), меньше, чем масса атома мишени. При увеличении массы налетающей частицы растет коэффициент распыления. Как и в случае бериллия коэффициенты распыления для сферического потенциального барьера больше, чем для случая плоскостного барьера.
Рис. 3. Коэффициенты распыления для мишени из вольфрама атомами H, D, T, He, C, N, O, Ne, Ar, W для нормального падения в зависимости от энергии налетающих атомов: (а) – плоскостной барьер, плоская поверхность, (б) – сферический барьер, поверхность, состоящая из отдельных атомов
Сравнение рис. 2 и 3 показывает, что существенным фактором, влияющим на поведение зависимости коэффициента распыления от энергии падающих частиц при нормальном падении, является соотношение масс взаимодействующих частиц.
АНАЛИЗ ВЕЛИЧИН ПОРОГОВ РАСПЫЛЕНИЯ
Под порогом для распыления будем понимать значение энергии соударения, когда коэффициент распыления стремится к 0. Рассмотрим вначале случай распыления легкой частицей тяжелой мишени. Переданная поверхностному атому энергия Q должна превышать поверхностную энергию связи Es, т.е. Q = γ · E1>Es. Здесь γ = 4M1M2/(M1 +M2)2, M1 и M2 – массы налетающей частицы и атома мишени, E1 – максимальная энергия обратно рассеянных частиц.
Чтобы налетающая частица выбила поверхностный атом, она должна развернуться на угол 90–180°. Энергия частицы после однократного рассеяния на угол q в лабораторной системе координат описывается выражением:
(1)
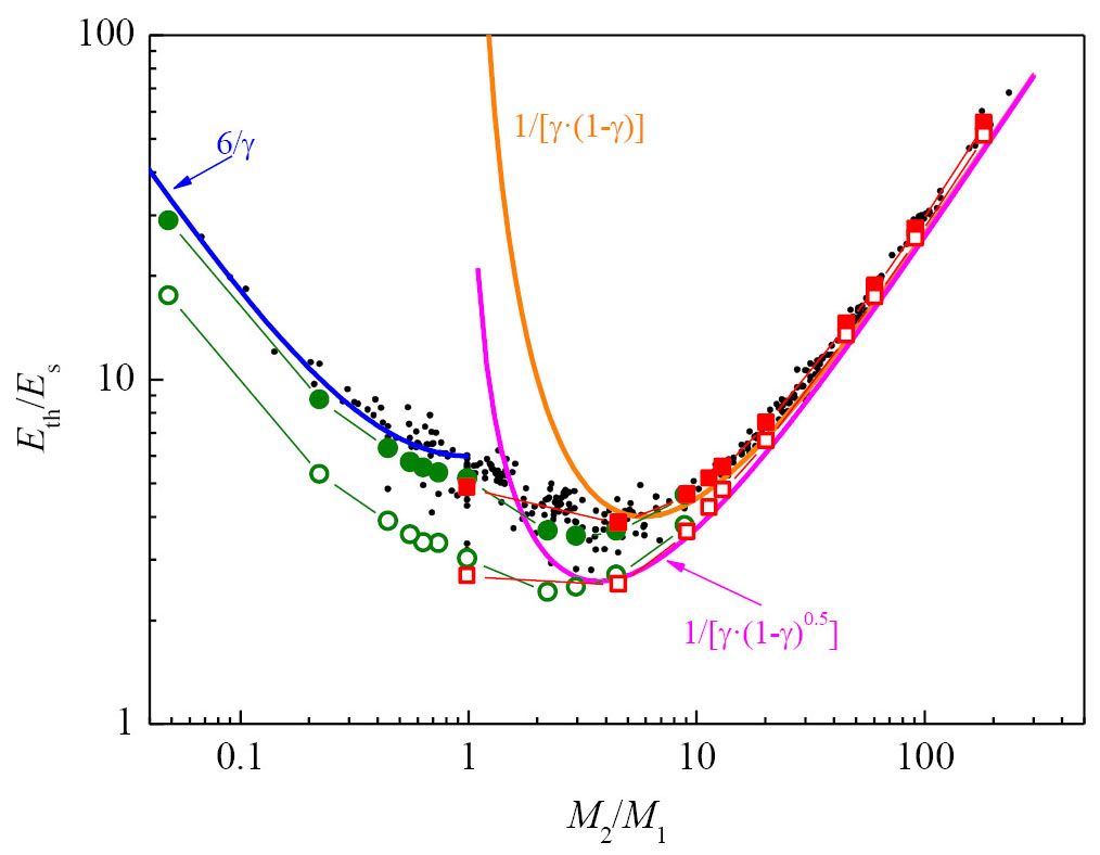
При развороте на 90° ее энергия E1=(M2 – M1)/(M1+M2) · E0, где E0 – начальная энергия. При развороте на 180° энергия E1= (M2 – M1)2/(M1+ M2)2·E0. Объединяя условия передачи энергии частице отдачи и потерю энергии на поворот траектории, получаем: для угла разворота 90° величина Q = γ · E1 = γ · (1 – γ)0.5 · E0, а для угла разворота 180° величина Q = γ · E1= γ · (1 – γ) · E0. Таким образом для пороговой энергии Eth > Es /[γ · (1 – γ)0.5] для угла поворота 90°, а для угла поворота 180° получаем условие Eth > Es /[γ · (1 – γ)], ранее полученное в работе [22].
Как видно из рис. 4, условие для разворота на 180° хорошо описывает данные для M2/M1 > 4 для плоскостного барьера, предложенное нами условие лучше описывает данные для сферического барьера. Следует отметить, что многократные соударения дают большие значения энергии E1 чем однократные. Как показано в работе [2], эта поправка существенно влияет на значение порога для случаев H,D,T-Be.
Рис. 4. Зависимость отношения пороговой энергии для распыления к энергии сублимации от соотношения масс сталкивающихся частиц. Результаты наших расчетов: мишень из Be, открытые кружки – сферический барьер, заполненные кружки – плоскостной барьер; мишень из W, открытые квадраты – сферический барьер, заполненные квадраты – плоскостной барьер. Маленькие черные точки – результаты работы [6]. Линии – аппроксимации (см. текст)
Рассмотрим случай M2 > M1. Механизм распыления потоком обратно рассеянных ионов в этом случае не работает. Переданная при первом столкновении энергия частицы отдачи Q = γ · E0. Затем частица отдачи летит вглубь твердого тела. Требуется хотя бы несколько столкновений частиц равной массы, чтобы произошел разворот траектории примерно на 90–180°. Как видно из рис. 4, эмпирическая зависимость Eth /Es= 6/γ неплохо описывает данные для случая M2 /M1<1.
СРАВНЕНИЕ ПОЛУЧЕННЫХ КОЭФФИЦИЕНТОВ РАСПЫЛЕНИЯ БЕРИЛЛИЯ И ВОЛЬФРАМА С ДАННЫМИ ДРУГИХ АВТОРОВ
Приведем сопоставление полученных результатов с данными других авторов для ряда случаев. На рис. 5 показаны зависимости коэффициента распыления бериллия от энергии бомбардирующего пучка атомами He, Be, O, Ne, Ar. Показаны наши расчеты для плоскостного и сферического потенциального барьера на границе твердое тело – вакуум. Видно, что экспериментальные данные и расчет группы Экштайна лежат между двумя предельными рассмотренными нами случаями.
Рис. 5. Коэффициент распыления мишени из бериллия атомами: (а) He, (б) Be, (в) O, (г) Ne, (д) Ar в зависимости от энергии бомбардирующих частиц. Наш расчет: для плоского барьера – линия с квадратами, для сферического барьера – линия с кружками. Синяя сплошная линия – расчет группы Экштайна [7]. Точки – результаты экспериментальных работ, приведенных в монографии [6]. На рис. 5a штриховой линией показан расчет по формуле (2) [19]
В случае He-Be наблюдается большой разброс экспериментальных данных. К сожалению, экспериментальные данные для всех случаев вблизи порога отсутствуют. Экспериментальные данные для случаев Be-Be и Ar-Be лежат ближе к нашему расчету для сферического барьера.
Авторы работы [20] предложили формулу для вычисления коэффициента распыления Y тяжелых мишеней при бомбардировке легкими частицами низких энергий в виде:
, (2)
здесь Z1 и Z2 – заряды ядер сталкивающихся атомов, μ = M2/M1.
Пороговая энергия распыления обозначена – Eth, E0 – энергия налетающего атома.
Формула (2) применима только в случае M1< M2, а хорошо работает, если M1 << M2. Как видно из рис. 5, в случае He-Be формула работает неудовлетворительно.
На рис. 6 приведены зависимости коэффициента распыления от энергии бомбардирующих частиц для мишени из вольфрама атомами He, Be, O, Ne, Ar и W. Для пар Ne-W и Ar-W штриховой линией приведен расчет по формуле (2). При энергиях меньше 1000 эВ формула занижает значения коэффициента распыления. Расчет группы Экштайна [7, 8] лежит очень близко к нашему расчету для случая плоской поверхности мишени. Экспериментальные данные для рассматриваемых случаев также группируются вдоль расчета для случая плоской мишени. Возможно, это связано с хорошим качеством поверхности изучаемой мишени.
Рис. 6. Коэффициент распыления мишени из вольфрама атомами: (а) – He, (б) – Be, (в) – O, (г) – Ne, (д) – Ar и (е) – W в зависимости от энергии бомбардирующих частиц. Наш расчет: для плоского барьера – линия с квадратами, для сферического барьера – линия с кружками. Синяя сплошная линия – расчет группы Экштайна [6, 7]. Точки – результаты экспериментальных работ, приведенных в монографии [6]. Штриховая линия – расчет по формуле (2) [19]. Для случая Be-W приведены данные расчетов из работ [22, 23] (квадраты и треугольники) с использованием методов молекулярной динамики, пунктирная кривая – расчет с использованием формул из работы [24], штрихпунктирная линия – расчет программой SDTrimSP из работы [25]
В случае He-W и O-W расчет группы Экштайна лежит между нашими расчетами для двух поверхностных потенциальных барьеров, в случаях Ne-W, Ar-W и W-W имеется хорошее согласие нашего расчета для плоскостного потенциала с расчетом группы Экштайна и экспериментальными данными. В случае He-W эксперимент характеризуется большим разбросом данных, в случае Be-W экспериментальные данные отсутствуют и имеется неплохое согласие с расчетами с использованием методов молекулярной динамики [23, 24], а также с расчетами по формуле из работы [25] и программой SDTrimSP [26]. Расчет с использованием теории Фальконе для случая W-W неприменим. В остальных случаях этот расчет неплохо описывает энергетическую зависимость коэффициента распыления от порога до энергии E0 ≈ 3 кэВ и значительно занижает коэффициент распыления при больших энергиях.
СРЕДНЯЯ ЭНЕРГИЯ РАСПЫЛЕННЫХ ЧАСТИЦ
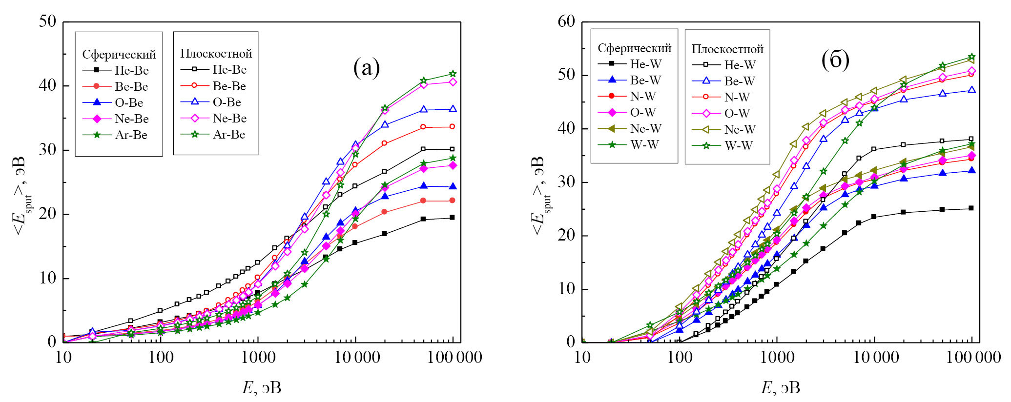
Как видно из рис. 7, с ростом энергии налетающей частицы наблюдается рост средней энергии распыленной частицы. При энергии соударения более 10 кэВ этот рост замедляется. Средняя энергия распыленной частицы растет также с ростом массы налетающей частицы. Для плоскостного поверхностного барьера средняя энергия распыленной частицы больше, так как распыленные частицы с небольшой энергией не удовлетворяют условиям отбора E2 · cos2(Θ) > Es. При энергиях соударения свыше 1 кэВ отношение средних энергий частиц для плоскостного и сферического барьера практически не меняется и лежит в интервале 1.53–1.61 для бериллиевой мишени и 1.45–1.49 для вольфрамовой мишени. Это означает, что среднее значение cos2(Θ) усредненное с учетом углового распределения распыленных частиц равно 0.66–0.71. Это дает оценку угла вылета распыленной частицы Θ ≈ 33–36° (см. разд. 7).
Рис. 7. Зависимость средней энергии распыленного атома от начальной энергии бомбардирующей частицы при облучении различными атомами: (а) – мишень из Be, (б) – мишень из W. Сплошные точки – плоскостной поверхностный барьер, открытые точки – сферический барьер
Сведения о средних энергиях распыленных атомов нужны для оценки вероятности прохождения распыленных частиц через пристеночный слой плазмы.
УГЛОВЫЕ РАСПРЕДЕЛЕНИЯ РАСПЫЛЕННЫХ ЧАСТИЦ
Угловое распределение распыленных частиц, нормированное на значение в максимуме угловой зависимости, для широкого диапазона энергий соударения (E0 >1 кэВ) для всех исследованных случаев носит универсальный характер. Как видно из рис. 8, максимум угловой зависимости лежит при Θ ≈ 35°. Небольшие отличия наблюдаются только для энергий соударения вблизи порога распыления. Сравнение случаев (а) и (б) демонстрирует универсальность угловой зависимости также от массы атома мишени, а сравнение случаев (б) и (в) от массы налетающей частицы. В случае сферического потенциального поверхностного барьера угловое распределение отражает распределение по углу распыленных частиц до выхода из твердого тела.
Рис. 8. Нормированное угловое распределение распыленных частиц для сферического поверхностного потенциального барьера: (а) случай He-Be; (б) случай He-W; (в) W-W
Как видно из рис. 8в, при малых энергиях соударения, т.е. вблизи порога распыления, наблюдаются частицы, вылетевшие под углом 60–75° к нормали поверхности. В данном случае имеет место многократное (двух-трехкратное) рассеяние, суммарный угол отклонения траектории частицы составляет примерно 105–120°. В случае M2 ≥ M1 однократное рассеяние не дает вклада в распыление.
На рис. 9 представлены нормированные угловые распределения для плоскостного поверхностного барьера.
Рис. 9. Нормированные угловые зависимости распыленных частиц для случая плоскостного потенциального поверхностного барьера: (а) случай He-Be; (б) случай He-W; (в) случай W-W
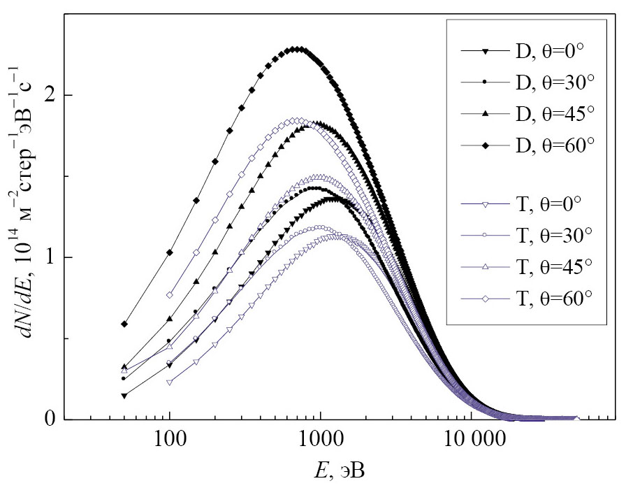
Рис. 10. Энергетический спектр dN/dE атомов дейтерия и трития, бомбардирующих первую стенку токамака. θn – угол падения относительно нормали к поверхности, φn = 0°. Рисунок взят из нашей работы [4]
В случае плоскостного потенциального поверхностного барьера нормированное угловое распределение уже не носит универсальный характер, что связано с условием отбора распыленных частиц: E2 · cos2(Θ) > Es. С увеличением энергии налетающей частицы угловое распределение приближается к форме, характерной для сферического потенциального барьера.
В случае W-W отсутствует вклад однократного рассеяния. В связи с критерием отбора распыленных частиц для плоскостного потенциала вблизи порога наблюдаются частицы, вылетевшие под углом примерно 20° к нормали. Это означает, что в результате многократного рассеяния набирается больший суммарный угол отклонения примерно 160°, что приводит к большей потере энергии распыленных частиц. Наблюдаемая разница в суммарном угле отклонения траектории частицы при многократных соударениях для сферического и плоскостного потенциального барьеров приводит к изменению отношения Eth /Es для этих случаев (см. рис. 4). Для пояснения приведем пример: рассмотрим случай трехкратного рассеяния частиц равной массы. После каждого соударения при рассеянии на угол Θ энергия частицы E2 = E0 · cos2Θ, а после трех соударений на угол Θ энергия распыленной частицы будет E4 = E0 · cos6Θ. Для сферического барьера при энергии соударения вблизи порога достаточен суммарный угол отклонения ΘS = 120°, E4 = E0· cos6(ΘS/3) = E0· 0.202. Для плоскостного барьера ΘS = 160°, E4 = E0· 0.045, т.е. потеря в этом случае в 4 раза больше. Это объясняет разницу в отношении Eth/Es для различных барьеров.
РАСПЫЛЕНИЕ СТЕНКИ ИЗ БЕРИЛЛИЯ И ВОЛЬФРАМА БЫСТРЫМИ АТОМАМИ D И T В ТОКАМАКЕ ИТЭР
Как уже упоминалось, стенка камеры в токамаке ИТЭР будет подвергаться распылению потоками быстрых атомов D и T, покидающих плазму. Эти атомы возникают вследствие перезарядки и фоторекомбинации ионов плазмы. Потоки атомов D и T для типичных параметров стационарного режима работы токамака ИТЭР [27] были рассчитаны в работе с помощью программы DOUBLE-MC [28].
Потоки нейтральных атомов рассчитывались для следующей геометрии. Точка наблюдения расположена на расстоянии r = 8.5 м от центральной оси тора и на высоте Z = 0.5 м относительно экваториальной плоскости. Угол θn – это угол между направлением на центр тора и линией наблюдения. Угол φn измеряется от горизонтальной плоскости.
На рис. 11 представлены энергетические спектры dN/dE атомов дейтерия и трития, бомбардирующих первую стенку токамака, полученные с помощью программы DOUBLE-MC в работе [4]. Видно, что спектр содержит частицы в широком диапазоне энергий, а максимум распределения лежит в районе 1 кэВ. При увеличении угла θn увеличивается интенсивность потока атомов, покидающих плазму, и спектр смещается в сторону меньших энергий.
Рис. 11. Зависимость вклада быстрых атомов D и T, покидающих плазму, от их энергии в распыление стенки из Be и W для различных поверхностных потенциальных барьеров. Сплошные линии – плоскостной барьер, штриховые линии – сферический барьер
Распыление первой стенки в зависимости от энергии частиц, вылетающих из плазмы, можно рассчитать следующим образом:
, (4)
где NI – число атомов дейтерия или трития, бомбардирующих стенку токамака, YI(E, θ) – коэффициент распыления материала стенки в зависимости от энергии и угла падения q для рассматриваемого вида бомбардирующих атомов.
Как видно из рис. 11, основной вклад в распыление Be вносят частицы с энергиями от 100 до 2000 эВ, а в распыление стенки из W основной вклад вносят частицы с энергиями от 500 до 4000 эВ. Наблюдаемое значительное смещение энергетических спектров к большим энергиям для случая W связано с большими значениями порогов распыления.
Проинтегрировав данные спектры по энергии, получаем потоки распыленных атомов в плазму для различных случаев поверхностного потенциального барьера (см. табл. 1).
Таблица 1. Потоки распыленных атомов для различных материалов стенки, создаваемые быстрыми атомами D и T и суммарный поток. Потоки даны в единицах – частиц/(м2 · с). В правой колонке оценка относительной концентрации примеси в плазме в процентах
Поток | D | T | D+T | nZ /ne, % | |
Be | Плоскостной | 5.24 · 1017 | 5.99 · 1017 | 1.12 · 1018 | 3.82 |
Сферический | 8.22 · 1017 | 9.27 · 1017 | 1.75 · 1018 | 5.96 | |
W | Плоскостной | 9.60 · 1016 | 1.46 · 1017 | 2.42 · 1017 | 0.824 |
Сферический | 1.97 · 1017 | 2.78 · 1017 | 4.76 · 1017 | 1.62 | |
Оценим возможную концентрацию примеси в модели: рассчитанный поток поступает в плазму со всей поверхности стенки токамака S = 937 м2 и равномерно заполняет весь объем плазмы V = 838 м3. Время удержания частиц в плазме t примем равным t = 3 с, среднюю плотность плазмы считаем равной ne= 1 · 1020 м-3. Тогда отношение концентрации примеси nZ к средней плотности плазмы ne равно
, (5)
где NZ – суммарный поток атомов, распыленных быстрыми атомами D и T. Наша оценка концентрации Be в плазме 4–6% от электронной плотности несколько больше оценки 2.5–4.2%, приведенной в работе [4]. Полученные оценки потоков для стенки из Be в 3–6 раз больше, по сравнению с результатами работы [29], где для нашей геометрии получено значение QBe= 3 · 1017 атомов/(с · м2), что, по-видимому, связано с использованием в работе [29] заниженных значений коэффициентов распыления, даваемых программой SRIM [6]. На наш взгляд, подобная концентрация Be не опасна для работы токамака, поскольку она заметно меньше летальной концентрации ≈25% [30].
В случае W наша оценка концентрации вольфрама в плазме 0.8–1.6% от электронной плотности заметно больше летальной концентрации 0.2% [31]. Таким образом, рассчитанная нами величина потока распыленных атомов W при бомбардировке вольфрамовой стенки быстрыми атомами D и T, покидающими плазму, вызывает сомнение в перспективности использования вольфрамовой стенки.
Оценим прохождение распыленных атомов Be и W через пристеночный слой плазмы. Пространственное распределение электронной температуры Te(x) и электронной плотности ne(x) бралось из работы [29]. Расстояние до сепаратрисы L принималось равным 10 см. Согласно нашим расчетам, средняя энергия распыленных атомов Be составляла Eav≈12.5 эВ, а для W составляла Eav≈20 эВ. Ослабление пучка при прохождении длины L рассчитывалось по формуле
, (6)
где R[Te(x)] = ⟨σi· ve⟩ – скоростной коэффициент ионизации, σi – сечение ионизации, ve – скорость электрона. Усреднение произведения σi · ve ведется с учетом максвелловского распределения электронов по скоростям для конкретной электронной температуры. vat – средняя скорость распыленных атомов. Значения R(Te) для Be бралось из работы [32], а значения R(Te) для вольфрама рассчитаны нами с использованием сечения ионизации из работы [33].
Как показывают наши оценки, распыленные атомы при типичных параметрах плазмы ИТЭР будут полностью ионизоваться вблизи стенки. Ослабление потока атомов Be при прохождении пучка от стенки в e раз происходит на пробеге 5 см, при пробеге до сепаратрисы h = 6.7 · 10-3, ослабление потока для атомов W в e раз происходит на пробеге 2 см внутрь плазмы, при пробеге до сепаратрисы ослабление очень велико – h = 1.5 · 10-34. Района сепаратрисы атомы не достигают и ионизуются. Чтобы более точно рассчитать поступление ионов примесей в горячую зону плазмы, необходимо применять сложные транспортные коды [34–38].
Наши оценки дают граничные условия потоков распыленных частиц и их энергий у границы плазмы. В наших расчетах мы учитывали только распыление стенки потоками нейтральных атомов, покидающими плазму. Воздействие ионов плазмы и облучение нейтронами могут только увеличить эти потоки. При выборе материала стенки должны учитываться и другие параметры материалов: хрупкость, образование дефектов, насыщение тритием, вопросы утилизации и другое.
ЗАКЛЮЧЕНИЕ
Приведены результаты моделирования коэффициентов распыления бериллия и вольфрама атомами H, D, T, He, Be, C, N, O, Ne, Ar, W в диапазоне энергий соударения 10–100 000 eV, необходимые для оценки распыления первой стенки из бериллия и пластин дивертора из вольфрама в токамаке ИТЭР.
Показано сильное влияние рельефа поверхности на получаемые результаты. Расчет для случая плоской поверхности и поверхности, состоящей из остриев, показывает, что эти два предельных случая задают диапазон значений коэффициента распыления. То есть экспериментальные данные должны укладываться в этот “коридор”, в соответствии с качеством обработки поверхности мишени.
Получена информация о средних энергиях распыленных атомов и их угловых распределениях, которая важна для оценки поступления распыленных частиц в плазму токамака.
С использованием полученных коэффициентов распыления рассчитаны потоки распыленных атомов при бомбардировке стенки из Be и W быстрыми атомами D и T, покидающими плазму.
КОНФЛИКТ ИНТЕРЕСОВ
Авторы заявляют, что у них нет конфликта интересов.
Об авторах
В. С. Михайлов
Физико-технический институт им. А.Ф. Иоффе
Email: babenko@npd.ioffe.ru
Россия, Санкт-Петербург
П. Ю. Бабенко
Физико-технический институт им. А.Ф. Иоффе
Автор, ответственный за переписку.
Email: babenko@npd.ioffe.ru
Россия, Санкт-Петербург
А. П. Шергин
Физико-технический институт им. А.Ф. Иоффе
Email: babenko@npd.ioffe.ru
Россия, Санкт-Петербург
А. Н. Зиновьев
Физико-технический институт им. А.Ф. Иоффе
Email: babenko@npd.ioffe.ru
Россия, Санкт-Петербург
Список литературы
- Бабенко П.Ю., Михайлов В.С., Зиновьев А.Н. // Письма в ЖТФ. 2023. Т. 49. №8. С. 42. doi: 10.21883/PJTF.2023.08.55138.19432
- Бабенко П.Ю., Михайлов В.С., Шергин А.П., Зиновьев А.Н. // ЖТФ. 2023. Т. 93. №5. С. 709. doi: 10.21883/JTF.2023.05.55467.12-23
- Михайлов В.С., Бабенко П.Ю., Шергин А.П., Зиновьев А.Н. // ЖЭТФ. 2023. Т. 163.
- Babenko P.Yu., Mironov M.I., Mikhailov V.S., Zinoviev A.N. // Plasma Phys. Control. Fusion. 2020. V. 62. N4. ArtNo: 045020. doi: 10.1088/1361-6587/ab7943
- Afanasyev V.I., Mironov M.I., Nesenevich V.G., Petrov M.P., Petrov S.Y. // Plasma Phys. Control. Fusion. 2013. V. 55. N4. P. 045008. doi: 10.1088/0741-3335/55/4/045008
- Ziegler J.F., Biersack J.P. SRIM. http://www.srim.org.
- Behrisch R., Eckstein W. Sputtering by Particle Bombardment. Berlin: Springer, 2007. doi: 10.1007/978-3-540-44502-9
- Clark R.E.H. Atomic and plasma-material interaction data for fusion, V. 7. Part B. Viena: IAEA, 2001.
- Granberg F., Byggmästar J., Nordlund K. // J. Nucl. Mater. 2021. V. 556. P. 153158. doi: 10.1016/j.jnucmat.2021.153158
- Bjorkas C., Nordlund K. // J. Nucl. Mater. 2013. V. 439. P. 174. doi: 10.1016/j.jnucmat.2013.04.036
- Lyashenko A., Safi E., Polvi J., Djurabekova F., Nordlund K. // J. Nucl. Mater. 2020. V. 542. P. 152465. doi: 10.1016/j.jnucmat.2020.152465
- Bjorkas C., Juslin N., Timko H., Vortler K., Nordlund K., Henriksson K., Erhart P. // J. Phys.: Condens. Matter. 2009. V. 21. P. 445002. doi: 10.1088/0953-8984/21/44/445002
- Прокофьев М.В., Светухин В.В., Тихончев М.Ю. // Изв. Самарского НЦ РАН. 2013. Т. 15. №4. С. 1024.
- Зиновьев А.Н., Бабенко П.Ю. // ПЖЭТФ. 2022. Т. 115. №9. С. 603. doi: 10.31857/S1234567822090105
- Zinoviev A.N., Nordlund K. // Nucl. Instr. Meth. Phys. Res. Sect. B. 2017. V. 406. P. 511. doi: 10.1016/J.NIMB.2017.03.047
- Zinoviev A.N., Babenko P.Yu., Nordlund K. // Nucl. Instr. Meth. Phys. Res. Sect. B. 2021. V. 508. P. 10. doi: 10.1016/j.nimb.2021.10.001
- Primetzhofer D., Rund S., Roth D., Goebl D., Bauer P. // Phys. Rev. Lett. 2011. V. 107. N16. P. 163201. doi: 10.1103/PhysRevLett.107.163201
- Mann A., Brandt W. // Phys. Rev. B. 1981. V. 24. N9. P. 4999. doi: 10.1103/PhysRevB.24.
- Экштайн В. Компьютерное моделирование взаимодействия частиц с поверхностью твердого тела. М.: Мир, 1995.
- Falcone G., Gullo F. // Phys. Lett. A. 1987. V. 125. Iss. 8. P. 432. doi: 10.1016/0375-9601(87)90178-2
- Sigmund P. // Phys. Rev. 1969. V. 184. P. 383. doi: 10.1103/PhysRev.184.383
- Behrisch R., Maderlechner G., Scherzer B.M.U., Robinson M.T. // Appl. Phys. 1979. V. 18. Iss. 4. P. 391. doi: 10.1007/BF00899693
- Мелузова Д.С., Бабенко П.Ю., Зиновьев А.Н., Шергин А.П. // Письма в ЖТФ. 2020. Т. 46. №24. С. 19. doi: 10.21883/PJTF.2020.24.50422.18487
- Yang X., Hassanein A. // Appl. Surf. Sci. 2014. V. 293. P. 187. doi: 10.1016/j.apsusc.2013.12.129
- Yamamura Y., Tawara H. // Atom. Data Nucl. Data Tabl. 1996. V. 62. P. 149. doi: 10.1006/ADND.1996.0005
- Brezinsek S. // J. Nucl. Mater. 2015. V. 463. P. 11. doi: 10.1016/j.jnucmat.2014.12.007
- Afanasyev V.I., Chernyshev F.V., Kislyakov A.I., Kozlovsky S.S., Lyublin B.V., Mironov M.I., Melnik A.D., Nesenevich V.G., Petrov M.P., Petrov S.Ya. // Nucl. Instrum. Methods Phys. Res. A. 2010. V. 321. P. 456. doi: 10.1016/j.nima.2010.06.201
- Миронов М.И., Чернышев Ф.В., Афанасьев В.И., Мельник А.Д., Наволоцкий А.С., Несеневич В.Г., Петров М.П., Петров С.Я. // Физика плазмы. 2021. Т. 47. №1. С. 29. doi: 10.31857/S0367292121010108
- Makarov S., Kaveeva E. // MATEC Web of Conferences. EECE-2018 V. 245 P. 13002. doi: 10.1051/matecconf/201824513002
- Gervids V.I., Kogan V.I. // JETP Lett. 1975. V. 21 № 6. P. 150.
- Meade D.M. // Nucl. Fusion. 1974. V. 14. Iss. 2. P. 289. doi: 10.1088/0029-5515/14/2/017
- Bell K.L., Gilbody H.B., Hughes J.G., Kingston A.E., Smith F.J. // J. Phys. Chem. Ref. Data. 1983. V. 12. Iss.4. P. 891. doi: 10.1063/1.555700
- Kwon D.-H., Rhee Y.-J., Kim Y.-K. // Int. J. Mass Spectrom. 2006. V. 252. Iss. 3. P. 213. doi: 10.1016/j.ijms.2006.03.007
- Kukushkin A.S., Pacher H.D., Kotov V., Pacher G.W., Reiter D. // Fusion Eng. Des. 2011. V. 86 Iss.12. P. 2865. doi: 10.1016/j.fusengdes.2011.06.009
- Senichenkov I.Yu., Kaveeva E.G., Sytova E.A., Rozhansky V.A., Voskoboynikov S.P., Veselova I.Yu., Coster D.P., Bonnin X., Reimold F., ASDEX-Upgrade Team // Plasma Phys. Control. Fusion. 2019. V. 61 Iss.4. P. 045013. doi: 10.1088/1361-6587/ab04d0
- Jesko K., Marandet Y., Bufferand H., Gunn J.P., van der Meiden H.J., Ciraolo G. // Contrib. Plasma Phys. 2018. V. 58. Iss. 6–8. P. 798. doi: 10.1002/ctpp.201700186
- Rozhansky V., Kaveeva E., Senichenkov I., Vekshina E. // Plasma Phys. Control. Fusion. 2018. V. 60. Iss. 3. P. 035001. doi: 10.1088/1361-6587/aaa11a
- Köchl F., Loarte A., de la Luna E., Parail V., Corrigan G., Harting D., Nunes I., Reux C., Rimini F.G., Polevoi A. // Plasma Phys. Control. Fusion. 2018. V. 60. Iss. 7. P. 074008. doi: 10.1088/1361-6587/aabf52
Дополнительные файлы














