Complex for Thomson Scattering Diagnostics on the TRT Tokamak
- Authors: Mukhin E.E.1, Tolstyakov S.Y.1, Kurskiev G.S.1, Zhiltsov N.S.1, Ermakov N.V.1, Tkachenko E.E.1, Koval A.N.1, Solovey V.A.1, Aleksandrov S.A.1, Nikolaev A.V.1, Antropov D.A.2, Bondar A.V.2, Kedrov I.V.2, Marchenko T.A.2, Kornev A.F.3, Makarov A.M.3, Bogachev D.L.4, Samsonov D.S.1, Guk E.G.1, Klimov V.N.1, Smirnova E.P.1, Sotnikov A.V.1, Razdobarin A.G.1, Bazhenov A.N.1, Bocharov I.V.1, Bocharnikov V.A.1, Bukreev I.M.1, Dmitriev A.M.1, Elets D.I.1, Tereshchenko I.B.1, Varshavchik L.A.1, Chernakov A.P.1, Pankrat’ev P.A.1, Marchii G.V.1, Minbaev M.1, Nikolaenko K.O.1, Kungurtsev N.A.4, Sakharov N.V.1, Petrov Y.V.1, Mokeev A.N.5
-
Affiliations:
- Ioffe Institute, Russian Academy of Sciences
- Efremov Institute of Electrophysical Apparatus
- Lasers & Optical Systems Company
- Spectral-Tech LLC
- Private Institution “ITER Center”
- Issue: Vol 50, No 4 (2024)
- Pages: 373-389
- Section: TOKAMAKS
- URL: https://journal-vniispk.ru/0367-2921/article/view/271558
- DOI: https://doi.org/10.31857/S0367292124040021
- EDN: https://elibrary.ru/QEAOOW
- ID: 271558
Cite item
Full Text
Abstract
A diagnostic system for Thomson scattering of the central, edge and divertor plasma regions of a tokamak with reactor technologies is discussed. The rationale and choice of technical solutions are given, the composition of the Thomson scattering diagnostic complex is discussed, as well as an estimate of the accuracy of measuring the electron temperature and plasma density in the central edge and divertor regions of the TRT tokamak. Particular attention is paid to ensuring the functionality of the proposed diagnostics in the reactor mode of the tokamak operation and the results of testing diagnostic equipment in experiments on the Globus-M2 tokamak.
Keywords
Full Text
1. ВВЕДЕНИЕ
Томсоновское рассеяние (ТР) на свободных электронах — это проверенный диагностический метод измерения профилей важных параметров электронного компонента плазмы: электронной температуры Te и концентрации ne с минимумом модельных предположений. Практически все существующие токамаки снабжены одной или несколькими системами ТР и к настоящему времени накоплен значительный опыт практических методов их реализации. Комплекс диагностик томсоновского рассеяния на токамаке ТРТ включает диагностику центральной и краевой плазмы при зондировании из экваториального патрубка, а также области наружного дивертора и Х-точки. Диагностические системы ТРТ будут иметь существенное отличие от большей части своих современных аналогов. Значительные размеры вакуумной камеры и большое расстояние от границы вакуума до плазмы предполагают наличие внутрикамерных диагностических элементов, входящих в конструкцию токамака, что, в свою очередь, диктует необходимость разработки вакуумной камеры ТРТ одновременно с их диагностическими комплексами. При их разработке следует учитывать ряд факторов, действующих в рабочем вакуумном объеме, а именно интенсивный радиационный фон, осаждение распыленных материалов конструкции, а также сильное магнитное поле (~5 Тл) сверхпроводящих обмоток. Повышенные требования к оперативности и надежности диагностических комплексов следующего поколения продиктованы необходимостью управлять работой токамака в режиме реального времени. Работа диагностики ТР в мониторинговом режиме и демонстрация управления концентрацией в режиме реального времени, продемонстрированная на токамаке “Глобус-М2”, позволит включать диагностику ТР в обратную связь, играя важную роль в программах исследований, как эффективности нагрева центральной плазмы, так и отработки режимов работы дивертора. Срок службы первых зеркал, расположенных в прямом видении термоядерной плазмы, может быть очень коротким из-за интенсивного загрязнения материалами первой стенки, разрушаемыми плазмой. Загрязнение может приводить к ухудшению зеркального отражения. Кроме того, даже достаточно тонкие прозрачные пленки оксидов могут кардинально изменить форму спектров отражения, особенно для зеркал с достаточно низкой отражательной способностью, таких как молибден. Искажение данных, полученных с помощью различных оптических диагностик, может повлиять на безопасную эксплуатацию ТРТ. Поэтому разработка методов очистки оптики и от осаждений является ключевым фактором в построении и эксплуатации оптической диагностики в ТРТ. Коллектив авторов данной статьи имеет большой опыт разработки внутривакуумной оптики, а также защиты и чистки оптических компонент, накопленный при разработке диагностики томсоновского рассеяния дивертора токамака ИТЭР [1—10] и предполагает использовать свои знания при детальном проектировании внутривакуумных компонент для токамака ТРТ.
Зондирование центральной и краевой плазмы предлагается проводить вдоль хорды лазерного излучения, вводимого в плазму в экваториальном патрубке ТРТ 8, с ловушкой лазерного излучения в патрубке 13 и сборе рассеянного излучения через экваториальный патрубок 9. При этом зондирование в экваториальной плоскости обеспечивает зондирование плазменного шнура в промежутке значений большого радиуса 1979—2777 мм, что соответствует диапазону –0.3 < r/a < 1.1 (см. рис. 1а). Для обеспечения зондирования в требуемой геометрии на выходе в экваториальных патрубков 8 и 9 предложено сделать вырезы (см. рис. 1б, в). Зондирование диверторной плазмы рассматривается в плоскости полоидального сечения диверторного патрубка 16 вдоль трех хорд, показанных на рис. 1 г. При этом сбор рассеянного излучения хорд 1 и 3 необходимо проводить из патрубка 13 (для этого аналогичными вырезами, показанными на рис. 1в требуется оснастить патрубок 13). Сбор рассеянного излучения хорды 2 можно осуществлять из диверторного патрубка 16.
Рис. 1. Расположение схем зондирования систем томсоновского рассеяния токамака ТРТ: схемы проведения лазерного пучка из патрубка 8 в патрубок 13 и сбора излучения через патрубок 9, а также лучи системы сбора из патрубка 13 для хорды 1 диверторного патрубка 16 (вид сверху) (а). Цифры соответствуют большому радиусу токамака: 2777 мм = r + 1.1a (r/a=1.1); 2720 мм = r + a (r/a = 1); 2634 мм = r + 0.85a (r /a = 0.85); 1979 мм = r — 0,3a (r/a = –0.3); тоже в 3-мерной геометрии (б); вырезы на выходе в экваториальных патрубков 8, 9 и 13, обведены красными линиями (в); хорды зондирования в полоидальной плоскости диверторного патрубка 16 (г).
Экваториальная геометрия зондирования центральной плазмы обеспечивает измерения Te и ne на стороне слабого поля и в паре точек со стороны сильного поля. Это позволяет по профилю давления электронов определять положение как магнитной оси, так и последней замкнутой магнитной поверхности. Задачи ТР центральной плазмы [11] заключаются в определении:
— энергозапаса в электронном компоненте (We, βe);
— градиентов температуры и концентрации (LTe и Lne);
— расчета скорости тороидального вращения плазмы Vtor(R) по шафрановскому сдвигу и положения магнитной оси;
— реконструкции карты полоидального магнитного потока;
— процессов, влияющих на эффективность нагрева и МГД устойчивость.
Надежные мониторинговые измерения We, <ne>, βe необходимы для:
— управления режимом работы реактора;
— предотвращения аварийных ситуаций, связанных со срывом тока плазмы;
— реализации перспективных схем управлением профилем тока плазмы advanced control.
Целью таких схем является оптимизация выхода термоядерной мощности путем управления профилем энерговклада; системами нагрева; генерацией неиндукционного тока.
Задачи ТР в краевой плазме на пьедестале плазменного шнура [11] заключаются в мониторинге
— удержания энергии и частиц в режимах с краевым транспортным барьером;
— условий образования и поддержания транспортного барьера на краю;
— механизмов подавления турбулентности и аномального переноса тепла и частиц;
— эволюции профиля плотности плазмы при пеллет инжекции.
Данные ТР в краевой плазме могут использоваться для обеспечения обратной связи при:
— управлении режимами удержания (H-мода, I-мода и тд), включая формирование транспортного барьера;
— предотвращении развития краевых неустойчивостей ELM, баллонных мод.
Измерение градиента давления электронов на периферии плазмы — основного драйвера развития баллонных мод — предполагается проводить в наиболее интересной области слабого магнитного поля. Параметры, измеряемые диагностиками ТР центральной и краевой плазмы могут быть использованы в качестве входных данных для определения карты полоидального магнитного потока с помощью равновесных кодов типа EFIT, SPIDER и др.
Задачи ТР в диверторной плазме [12] разделяются на изменение параметров плазмы вдоль сепаратрисы на входе в дивертор и в районе Х-точки; вдоль поверхности наружной диверторной пластины в районе strike-point, а также ниже сепаратрисы в области private flux region. Эти данные необходимы для определения скорости реакций с участием электронной компоненты — ионизация, рекомбинация и излучение примеси, которые играют важную роль в охлаждении и рекомбинации плазмы. Эта информация необходима при оптимизации режима работы дивертора по снижению нагрузки на диверторные пластины. Ослабление нагрузки может достигаться при поддержании повышенного давления нейтрального компонента в диверторной области камеры, например, путем подачи в диверторную плазму примесных газов (неон, азот или аргон). В этом случае мощность, поступающая в дивертор из центральной плазмы, достигает поверхности диверторных пластин преимущественно в форме излучения и энергии нейтральных частиц. При нейтрализации плазмы из энергии передаваемой диверторным пластинам ионной компонентой уходит вклад потенциала ионизации атома водорода (13.6 эВ). Вдобавок, нейтральные частицы не удерживаются магнитным полем и поэтому связанный с ними поток энергии распределяется по поверхности первой стенки более равномерно. Такой режим “отрыва” плазмы от диверторных пластин необходимо оптимизировать таким образом, чтобы скорость и место напуска излучающей примеси приводило к переизлучению бόльшей части мощности вне зоны удержания. На сегодняшний день теоретические модели пристеночной и диверторной плазмы, а также режима “отрыва” плазмы от диверторных пластин окончательно не разработаны. Исследования плазмы в области дивертора активно ведутся на всех ведущих токамаках. Наиболее интересные результаты получены диагностиками томсоновского рассеяния дивертора на токамаках ASDEX-U [13], DIII-D [14] и МАST-U [15]. Эти данные требуются как для подтверждения моделей и расчетов численными кодами, так и для определения преимущественных физических процессов в пристеночной плазме.
Диапазоны параметров, которые предполагается измерять соответствующими диагностическими системами томсоновского рассеяния, приведены в табл. 1.
Таблица 1. Диапазоны параметров, измеряемые разными диагностическими системами томсоновского рассеяния
Диагностическая система | Параметр | Диапазон | Точность |
Диагностика центральной плазмы | ne, м−3 | 1019—3·1020 | Δne< 5% |
Te, кэВ | 0.2—25 | ΔTe< 10% | |
Диагностика краевой плазмы и области Х-точки | ne, м−3 | 5·1018—3·1020 | Δne< 5% |
Te, кэВ | 0.025—10 | ΔTe< 10% | |
Диагностика диверторной плазмы | ne, м−3 | 1019—1022 | Δne< 5% |
Te, эВ | 0.3—100 | ΔTe< 10% |
Данная статья является продолжением серии статей, посвященных разработке концептуального проекта диагностического комплекса томсоновского рассеяния токамака ТRТ. Во введении приводится краткое описание задач диагностического комплекса томсоновского рассеяния центральной, краевой и диверторной областей плазмы токамака с реакторными технологиями. В разд. 2 приводится обоснование и выбор технических решений. В разд. 3 определение состава диагностического комплекса токамака ТРТ. В разд. 4 приводятся результаты тестирования диагностического оборудования в экспериментах на токамаке “Глобус-М2”.
2. ОБОСНОВАНИЕ И ВЫБОР ТЕХНИЧЕСКИХ РЕШЕНИЙ
Выбор технических решений при разработке диагностической системы ТР определяется требованиями к пространственному и временному разрешению, диапазону измерения температуры и концентрации электронов, а также максимально допустимой погрешности измерения, сформулированным на предыдущей стадии формирования технических требований. Основные параметры оптических систем сбора рассеянного излучения ТР центральной и краевой плазмы приведены в табл. 2.
Таблица 2. Основные параметры систем сбора рассеянного излучения ТР центральной и краевой плазмы (см. рис. 1а)
Параметр | Значение |
Область измерений | –0.3 < r / a < 1.1, включая: –0.3 < r / a < 0.85 центр 0.85 < r / a < 1.1 периферия |
Область измерений ΔR, мм | 1980—2780 |
Длина хорды L, включая перекрытие центральной и периферийной хорд рассеяния, мм | 985 (ΔR = 655) центр 315 (ΔR = 245) периферия |
Телесный угол, 10–3 ср | 11—18 |
Угол рассеяния, o | 119—60 |
Апертура первого зеркала системы сбора, мм | 360 × 210 |
Измерение спектральных контуров, соответствующих Te величиной 20—25 кэВ при углах рассеяния 100—120°, требует регистрации сигналов ТР в широком спектральном диапазоне от длины волны зондирующего излучения 1064 нм вплоть до сине-зеленой области спектра. Для краевой системы предполагается проведение измерений более низких значений электронной температуры Te < 10 кэВ. Для обеих диагностик предлагается использовать схожую конфигурацию спектральных каналов спектрометров, например конфигурацию спектральных каналов спектрометров, приведенную на рис. 2 [16].
Рис. 2. Конфигурация спектральных каналов фильтрового полихроматора для диагностики центральной и краевой плазмы в сравнении со спектром тормозного и линейчатого фонового излучения плазмы, рассчитанного в коде Cherab командой томсоновского рассеяния центральной плазмы (CPTS) ИТЭР [16]. Расчет выполнен для первого зеркала системы сбора CPTS при использовании первой стенки из бериллия.
Выбранная конфигурация позволяет отстроиться от наиболее интенсивных спектральных линий фонового излучения плазмы [17] и работать одновременно с тремя зондирующими Nd: YAG-лазерами с длинами волн 1064, 946, 532 нм. При анализе точности измерений, оценка фонового сигнала делалась на основании работы [18] в предположении, что он обусловлен преимущественно тормозным излучением, собираемым вдоль хорды наблюдения. Для оценки уровня фонового излучения использовались радиальные профили основных параметров шнура для разряда ТРТ в D/D-плазме для режима B0 = 8 T, Ip = 5 MA, ⟨ne⟩ = 1020 м−3, (см. рис. 11 в [19]). Для учета других возможных вкладов в фоновый сигнал, вызванных отражением излучения плазмы от внутренней стенки реактора, неопределенностью профиля эффективного заряда плазмы и линейчатым излучением, рассчитанное среднее значение интенсивности тормозного излучения вдоль хорды наблюдения было увеличено в пять раз. Распределение чувствительности по спектральным каналам представлено на рис. 3.
Рис. 3. Распределение чувствительности по спектральным каналам, оптимизированное при оценке ошибок. Расчет проводился в предположении значения квантового выхода 0.42 (1051.5 нм), 0.68 (1027 нм), 0.78 (985 нм), 0.91 (884.25 нм), 0.93 (776, 647, 562 нм), что соответствует лучшим показателям, достигнутым производителями кремниевых ЛФД фирмами Hamamatsu, Excelitas, Ioffe-APD.
На рис. 4 представлено сравнение сигналов рассеяния в спектральных каналах, рассчитанных для центральной и периферийной систем, в сравнении с уровнем фона в зависимости от локальной температуры плазмы.
Рис. 4. Сравнение рассчитанных сигналов рассеяния в сравнении с уровнем фона в зависимости от Te. Сплошными линиями на рисунках (а), (б) и (в) показан сигнал ТР в спектральном канале, а штриховая линия такого же цвета соответствует уровню фонового сигнала в этом канале. Уровень тормозного излучения рассчитан для хордовых измерений и включает в себя совокупность сигналов из разных областей плазмы с разной температурой для разряда ТРТ [35] с 10% содержанием лития при ⟨ne⟩ = 2·1020 м−3: (а) для центральной системы в сравнении с фоном (E1064нм = 2.4 Дж, ne = 1∙1019 м−3); (б) для краевой систем в сравнении с фоном (E1064нм = 4,8 Дж, ne = 0.5∙1019 м−3); (в) для диверторной системы в сравнении с фоном (E1064нм = 1.5 Дж, ne = 1∙1019 м−3); (г) фон характерный для диагностик в области дивертора ТРТ.
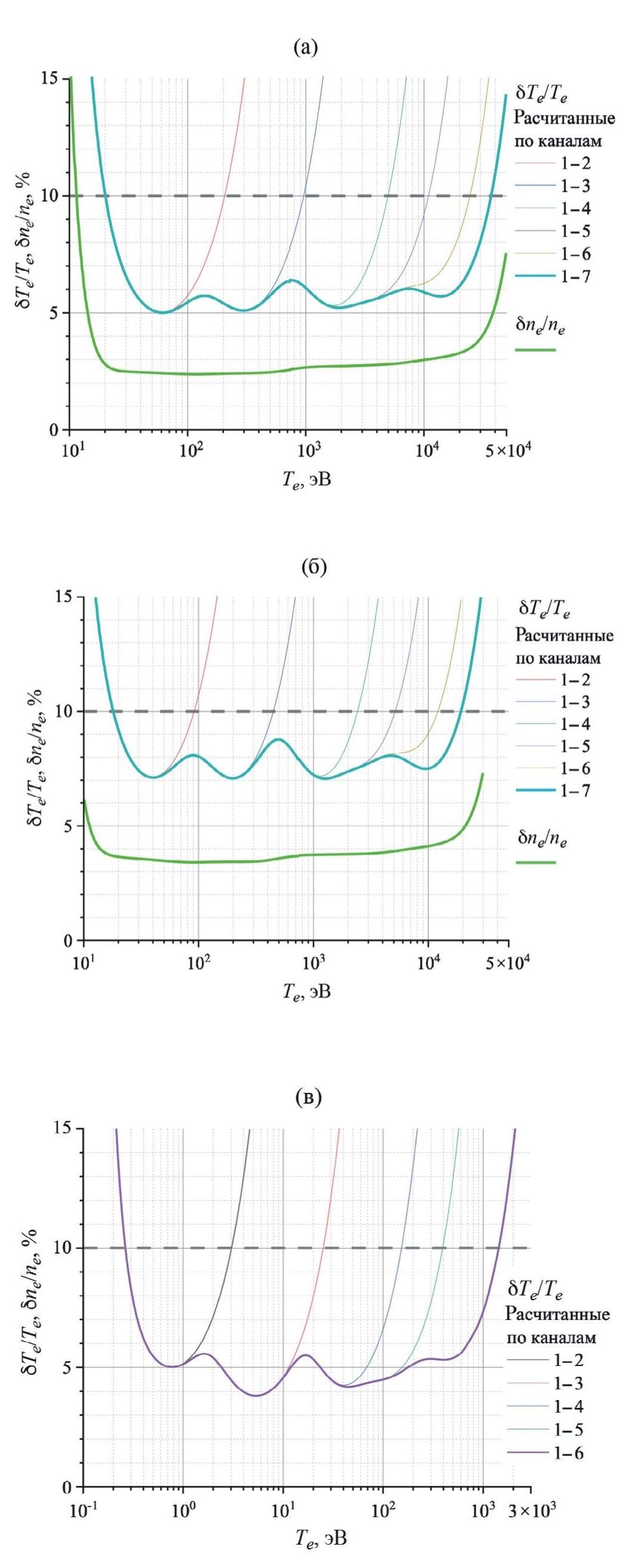
Из рис. 4 видно, что интенсивность сигналов рассеяния находится на уровне нескольких тысяч фотоэлектронов, что в несколько раз меньше ожидаемого уровня фона. Учитывая, что шум измеряемого сигнала пропорционален корню из количества измеряемых фотоэлектронов, уровень сигналов ТР вполне достаточен для их надежного измерения. Для центральной системы ТР, при энергии лазера EL = 2.4 Дж в области наблюдения, возможно измерение Te = 0.03—30 кэВ с погрешностью δTe < 7.5 % при ne = 1019 м−3 (см. рис. 5а). В случае измерений на периферии плазменного шнура (при условии низкой плотности плазмы ne = 0.5∙1019 м−3 и высокого пространственного разрешения) для обеспечения удовлетворительной точности требуется увеличение энергии лазерного импульса вдвое, до 4.8 Дж, см. рис. 5б.
Рис. 5. Ожидаемая погрешность измерения Te и ne для: (а) центральной (EL = 2.4 Дж, ne = 1∙1019 м−3); (б) краевой (EL = 4.8 Дж, ne = 0,5∙1019 м−3); (в) диверторной плазмы (EL = 1.5 Дж, ne = 1∙1019 м−3).
Всю совокупность плазменных параметров в районе Х-точки, их изменение от Х-точки вдоль сепаратрисы до наружной диверторной пластины и вдоль ее поверхности предлагается решать с помощью совмещенной лазерной диагностики ТР/ЛИФ [20]. Компоненты оптических систем ввода лазерного излучения располагаются под кассетами дивертора. Лазерная хорда 1 (рис. 1г), направленная вдоль сепаратрисы наружной диверторной ноги, падает под углом ~5° к поверхности на элемент первой стенки (ПС) в ряду № 1. Лазерная хорда 2 (см. рис. 1г), направленная вдоль поверхности наружной диверторной пластины, заканчивается на задней поверхности загиба элемента ПС № 10. Лазерная хорда 3 (рис. 1г) пересекает область private region и SOL — scrape-off-layer с наружной стороны от X-точки. Зондирование вдоль хорд 1 и 2 предполагается проводить через щель между диверторными кассетами, а хорды 3 через отверстие в центре кассеты в диверторном патрубке ТРТ № 16. Сбор рассеянного излучения хорды 1 проводится через ту же щель между диверторными кассетами, что и используемая для зондирования плазмы дивертора. Сбор излучения хорд зондирования 2 и 3 предполагается проводить из патрубка 13. При зондировании вдоль хорд 1 и 2, лазерный луч попадает в лазерную ловушку на расстоянии менее полуметра от зоны измерений (см. рис. 1г). Для этих хорд проблемы с паразитно-рассеянным излучением для хорд 1 и 2 требуют аккуратной работы с системой сбора рассеянного излучения. Перед реализации этих систем необходима демонстрация работы этих систем на стенде. Пример реализации такой системы сбора показан на рис. 6 для хорды зондирования 1. Основные параметры оптических систем сбора рассеянного излучения ТР области Х-точки (хорды 1 и 3) приведены в табл. 3, а наружной ноги дивертора (хорда 2) в табл. 4.
Таблица 3. Основные параметры систем сбора рассеянного излучения ТР области Х-точки (хорды 1 и 3)
Параметр | Значение |
Длина хорды рассеяния, мм | 450 |
Телесный угол, 10–3 ср | 80 |
Угол рассеяния, o | 90 |
Апертура первого зеркала, мм | 340 × 340 |
Таблица 4. Основные параметры систем сбора рассеянного излучения ТР наружной ноги дивертора (хорда 2)
Параметр | Значение |
Область покрытия, мм | 350 |
Телесный угол, 10–3 ср | 50 |
Угол рассеяния, o | 100—120 |
Апертура первого зеркала, мм | 200 × 200 |
Рис. 6. Геометрия сбора рассеянного излучения с хорды зондирования № 1, расположенной вдоль сепаратрисы. Приведенные кривые проекции на полоидальную плоскость в тороидальной системе координат оптических осей системы сбора из разных точек хорды зондирования важны для корректной оценки фонового излучения. Кривые проекции представляют собой группу точек пересечения хордами зондирования всех полоидальных сечений.
Пространственное распределение электронной температуры Te и концентрации плазмы ne вблизи диверторных пластин характеризуется, как правило, большими градиентами, экстремально плотной плазмой (до 2·1021 м−3) и низкими значениями температуры (в области 0.3 эВ). По мере отдаления от диверторных пластин и приближения к Х-точке, диапазоны изменения ne и Te становятся близки к параметрам, характерным для пристеночной плазмы токамака в основной камере. Для плазмы диверторной ноги с высокой концентрацией и низкой температурой, длина Дебая приближается к лазерной длине волны, и отклонение формы спектра ТР от гауссовой становится очень заметным из-за эффекта коллективного рассеяния. Поэтому стандартный алгоритм обработки сигналов ТР с разделением переменных Te и ne, справедливый для рассеяния излученияна свободных электронах, не годится, так как и форма спектра ТР является функцией не только Te, но и ne. Влияние коллективных эффектов на дифференциальное сечение томсоновского рассеяния обсуждались в работах [12, 20].
3. ОПРЕДЕЛЕНИЕ СОСТАВА ДИАГНОСТИЧЕСКОГО КОМПЛЕКСА
Оптическая схема всех систем ТР построена по классической схеме лазерных диагностик, предполагающей поперечное расположение хорд зондирования и хорд наблюдения рассеянного излучения. Предлагаемое использование для зондирования плазмы нескольких длин волн одновременно было предложено в конце 1990-х гг. [21], и стало возможным в настоящее время благодаря развитию лазерной техники. Из комбинации рассеянных спектров, генерируемых лазерами, излучающих на разных длинах волн, можно определить температуру и неизвестное, медленно меняющееся спектральное пропускание разных каналов. Наборы лазерных длин волн были предложены ранее в работе [22]. Так, для зондирования центральной и краевой плазмы предлагается использовать длины волн 1064, 946 и 532 нм, а для диверторной плазмы 1064 и 1047 нм. Распределение контуров рассеяния по спектральным каналам приведено для диагностики центральной и краевой плазмы (рис. 7а) и для диагностики диверторной плазмы (рис. 7б).
Рис. 7. Характеристики спектральных каналов полихроматора системы ТР и контуры линии томсоновского рассеяния. Относительная чувствительность спектральных каналов на разных лазерных длинах волн показано прямоугольниками разной высоты. При расчете чувствительности делалась нормировка на одинаковую энергию лазеров, учитывая уменьшение количества более коротковолновых фотонов на единицу лазерной энергии: (а) относительное расположение набора спектральных каналов и томсоновских контуров линий на длинах волн 1064, 1047 нм для электронных температур 0,3, 5, 50, 500 и 2000 эВ; (б) относительное расположение набора спектральных каналов и томсоновских контуров линий на длинах волн 1064, 946 и 532 нм для электронных температур 0.05, 5, 10, 25 и 50 кэВ.
Для анализа спектров томсоновского рассеяния предлагается использовать фильтровые полихроматоры [23, 24], хорошо зарекомендовавшие себя в мировой практике при работе в диагностике томсоновского рассеяния, а также на отечественных токамаках “Глобус-М2” [25, 26] и Т-10 [27]. Длина хорды зондирования центральной плазмы 985 мм, и краевой плазмы 315 мм при угле сбора излучения (11—18)·10–3 ср соответствует ~60 полихроматорам необходимым для регистрации излучения ТР в центральной плазме и 20 в краевой плазме, обеспечивая разрешение ~16 мм вдоль хорд зондирования. Длина хорд 450 мм вдоль направлений 1 и 3 (хорды зондирования 1 и 3) с телесным углом сбора излучения ~80·10–3 ср соответствует ~65 приборам, обеспечивающим пространственное разрешение ~7 мм. Длина хорд 350 мм вдоль направления 2 (хорда зондирования 2) с телесным углом сбора излучения ~50·10–3 ср соответствует ~50 приборам, обеспечивающим пространственное разрешение ~7 мм. Точное количество требуемого спектрального оборудования и распределение пространственного разрешения вдоль хорд зондирования будет определено на следующем этапе при проведении анализа размещения и интеграции диагностического оборудования в патрубках вакуумной камеры ТРТ. Однако уже на данном этапе потребность в спектральном оборудовании можно оценить как ~300 фильтровых полихроматоров.
Применяемый сегодня вариант фильтрового полихроматора имеет высоту 2U использует интерференционные фильтры диаметром 1,25ʺ и может иметь до 7 спектральных каналов, что позволяет расположить 15 таких приборов в стандартной 19ʺ стойке. Подобный подход потребует только для диагностики томсоновского рассеяния использовать 20 стоек. Сейчас в стадии разработки находится конструкция фильтрового полихроматора, который при сохранении светосилы прибора, уже зарекомендовавшего себя при работе на отечественных токамаках, позволит перейти на интерференционные фильтры диаметром 1ʺ. Более компактные размеры оптики, применяемой в таком приборе, позволят расположить в одном корпусе высотой 1U два 4-х канальных фильтровых полихроматора. Такие полихроматоры, при сохранении точности измерения температуры, будут иметь на порядок более узкий диапазон измеряемых температур. Однако предполагается, что обеспечиваемый ими диапазон измеряемых температур ~100, закроет большую часть экспериментальных потребностей. Такой подход позволит пятью стойками обеспечить спектральной аппаратурой 300 пространственных точек. Выбор лазеров с длинами волн 1064, 1047 и 946 нм, которые были разработаны в рамках работ по проекту ИТЭР определяет выбор детекторов на основе кремниевых лавинных фотодиодов (ЛФД). Разработанные полихроматоры [23, 24] оснащены сверхмалошумящей (σ ~ 7 фотоэлектронов приведенных ко входу) и высокоскоростной системой детектирования. Опыт работы на токамаке “Глобус-М2” показал, что такие низкие шумы востребованы далеко не всегда. Точность измерения определяется дробовым шумом самого сигнала, дробовым шумом плазменного фона и шумом усилителя и АЦП. На рис. 8 показан вклад плазменного шума в относительные погрешности измеряемого сигнала, полученные при работе в диагностике томсоновского рассеяния центральной плазмы токамака “Глобус-М2”. Видно, что достигнутый сверхнизкий шум усилителя на основе транзистора pHEMT (Pseudomorphic High-Electron-Mobility-Transistor) оказался значительно ниже шума, определяемого фоновым светом плазменного разряда.
Рис. 8. Вклад шума, определяемого светом плазмы в погрешность измерения сигнала ТР в зависимости от интенсивности сигнала в ходе плазменного эксперимента на установке “Глобус-М2” по сравнению с различными видами предусилителей (показано линиями) [23].
Благодаря компактности и сверхнизкому энергопотреблению современных компьютеров и аналого-цифровых преобразователей (АЦП), полихроматоры, включающие оптический блок и электронику обработки данных с гигабитным оптическим Ethernet легко монтируется в стандартную 19-дюймовую стойку (см рис. 9).
Рис. 9. Набор из 10 фильтровых полихроматоров томсоновского рассеяния, смонтированных в стандартную 19-дюймовую стойку.
Ожидается, что такая конструкция “все в одном” с оптоволоконным входом и цифровым оптическим выходом будет гораздо более устойчивой к электромагнитным помехам. Система сбора данных способна работать с лазерными импульсами длительностью несколько нс. Система сбора данных на базе чипа DRS4 [28] обеспечивает 14-битную оцифровку (11.5 бит с учетом шумов) с амплитудным разрешением ~0.5 мВ и возможностью переключения частоты дискретизации от 1 до 5 ГГц. Такая высокая частота дискретизации в сочетании с осциллографическим режимом работы обеспечивает гибкую обработку цифровых сигналов в отличие от аналоговых методов, чувствительных к заряду. Эта функция открывает новые возможности для проектирования диагностики ТР в современных/будущих термоядерных устройствах, которые включают в себя: работу при высокой фоновой освещенности, измерение очень низкой температуры и концентрации электронов на границе плазмы и SOL, возможность временной отстройки от паразитно рассеянного лазерного излучения, задержанного относительно сигнала ТР. Анализ формы регистрируемого сигнала также дает возможность выделить разнесенное во времени сигналы ТР и рассеяние на пылевых частицах, что важно для измерений в SOL. Испытания на токамаке “Глобус-М2” разработанных для томсоновского рассеяния дивертора ИТЭР прототипов лазеров и полихроматоров, показали отличные характеристики устройств [23]. Продемонстрированно, что один из источников ошибок — тепловой дрейф коэффициента усиления ЛФД, может быть скомпенсирован до уровня ±0.5%, в диапазоне температур окружающей среды от 17.5 до 35 °C [24] (см рис. 10).
Рис. 10. Амплитуда сигнала как функция температуры окружающей среды. Красные точки — нагрев, черные — охлаждение предусилителя с электронной компенсацией термодрейфа, измеренного при коэффициенте усиления ЛФД M = 75 (для 20 °C).
Одним из ключевых моментов для всех диагностик по томсоновскому рассеянию является диапазон рабочих параметров лазера. Для диагностики ТР требуются высокопроизводительные и мощные лазерные системы, работающие в стационарном режиме с высокой частотой повторения. Лазеры характеризуются импульсами джоулевого уровня, короткой наносекундной длительностью импульса, высоким качеством излучения в ближнем и дальнем поле и частотой повторения импульсов десятки герц. Были разработаны лазеры с длительностью импульсов ~3 нс [29—31]. Столь малое время зондирования позволяет снизить накопленный плазменный фон, в том числе тепловое излучение диверторных мишеней, отделить сигналы ТР от паразитно рассеянного излучения, отраженного от обращенных к плазме конструкций, и хорошо согласуется с высокоскоростными малошумящими детекторами на основе ЛФД. Текущая концепция ТР предполагает использование трех лазеров для диагностики плазмы: Nd: YAG-лазер с длиной волны 1064 нм, Nd: YLF-лазер с длиной волны 1047 нм и Nd: YAG-лазер с длиной волны 946 нм. Основной диагностический Nd: YAG-лазер с длиной волны 1064 нм используется для основных экспериментов с плазмой, лазеры с длиной волны 1047 и 946 нм позволяют одновременно калибровать спектры пропускания собирающей оптики внутри вакуумной системы. На рис. 11 представлены лазеры, работающие на длинах волн 1064 нм (слева) и 1047 нм (справа) при работе в составе диагностического комплекса ТР центральной плазмы токамака “Глобус-М2” с длительностью импульса 3 нс и высоким качеством пучка (расходимостью вблизи дифракционного предела).
Рис. 11. Лазеры работающие на длине волны 1064 нм (слева) и 1047 нм (справа) при работе в составе диагностического комплекса ТР центральной плазмы токамака “Глобус-М2”.
Принципиально важной характеристикой лазерных систем, разрабатываемых для купных токамаков с большой длительностью плазменного импульса, является устойчивость рабочих характеристик со временем. Это позволит использовать диагностику томсоновского рассеяния не только для надежного мониторинга плазменных параметров, но и применение в управлении токамаком при включении ТР в обратную связь. Один из разработанных лазеров Nd: YLF с длиной волны 1047 нм был протестирован при выработке 100 миллионов импульсов, что соответствует непрерывной работе лазера в течение ~567 ч. В ходе испытаний лазер продемонстрировал отличную 24-часовую стабильность энергии импульса со среднеквадратичным значением ~1%. За время испытаний энергия выходного импульса снизилась на ~9% с 2.0 до 1.85 Дж. Постепенное снижение энергии в основном было связано с медленной деградацией лазерных диодных матриц в одном из усилительных каскадов лазера (см. рис. 12).
Рис. 12. Выходная энергия в импульсе лазера Nd: YLF с длиной волны 1047 нм. За 100 миллионов импульсов наработки энергия выходного импульса снизилась на ~9% с 2.0 до 1.85 Дж.
4. ТЕСТИРОВАНИЕ ОБОРУДОВАНИЯ В ПЛАЗМЕННОМ ЭКСПЕРИМЕНТЕ
Функционирование ТР в режиме реального времени (real-time) важно для предотвращения аварийных ситуаций, связанных со срывом тока плазмы [32]. Диагностика ТР в режиме реального времени также требуется для реализации перспективных схем управления профилями концентрации, тока, электронной и ионной температур плазмы для оптимизации выхода реакции термоядерного синтеза в токамаках-реакторах [33, 34]. На токамаке ИТЭР именно диагностика ТР призвана обеспечить обратную связь для управления гибридными режимами [32]. Одной из приоритетных задач российского проекта ТRТ [19, 35] также является реализация управления профилями различных параметров плазмы, для решения этой задачи перспективно использование диагностики ТР [11]. На сегодняшний день, обработка данных диагностики ТР в режиме реального времени реализована на ряде установок: KSTAR [36], NSTX-U [37, 38], LHD [39, 40], MAST [41, 42], TCV [43] и DIII-D [44]. В работе [25] продемонстрировано управление средней концентрацией в токамаке “Глобус-М2” на основании данных диагностики ТР в омическом режиме с низкой средней концентрацией электронов (<2·1019 м−3) (см рис. 13). Для демонстрации применения диагностики ТР в системе управления токамака в качестве управляемого параметра была выбрана средняя концентрация электронов, а в качестве исполняющего устройства использован пьезоклапан MaxTec MV-112, регулирующий поток водорода в камеру. Для демонстрации возможности управления средней концентрацией в токамаке на основании данных диагностики ТР был выбран омический режим с низкой средней концентрацией электронов (<2·1019 м−3) и предварительной боронизацией первой стенки. Для данного режима работы токамака “Глобус-М2” не ожидается перехода в режим улучшенного удержания, сопровождающегося резким изменением коэффициента диффузии частиц, что позволяет использовать простую модель управления ne пропорциональным регулятором. На рис. 13 приведены основные параметры плазмы для двух разрядов токамака “Глобус-М2”: разряда № 42613 с включенной системой управления концентрацией и контрольного разряда № 42611 без управления. Для измерения величины nel использовались две независимые диагностики: методом ТР [45] и с помощью СВЧ-интерферометра (характерная длина хорды ~ 0.6 м). В результате, в разряде с включенной системой управления ne по сигналу обратной связи от системы диагностики ТР монотонное снижение nel было подавлено.
Рис. 13. Основные параметры эксперимента для двух разрядов токамака “Глобус-М2”: разряда № 42613 с включенной системой управления концентрацией и контрольного разряда № 42611 без управления: (а) интегральная концентрация, полученная с помощью СВЧ-интерферометра (1, 3) и методом ТР (2, 4), 5 — ток плазмы; (б) измеренная локальная концентрация neR=49: выход ЦАП в режиме реального времени (1) и результаты постобработки (2), 3 — заданная программа управления концентрацией, 4 — разность заданного и измеренного значений, вертикальными линиями показаны моменты зондирования; (в) напряжение на пьезоклапане: 1 — в цепи обратной связи, 2 — на вспомогательном клапане. Область серого цвета — мертвая зона клапана. Суммарная интенсивность излучения линий H и D в разряде № 42613: 3 — для хорды наблюдения, направленной на капилляр газонапуска, 4 — для фонового сигнала [25].
На токамаке “Глобус-М2” профиль концентрации, измеренный методом томсоновского рассеяния, обрабатывается в режиме реального времени для каждого плазменного разряда (начиная с декабря 2022 г.). Время от момента измерения до готовности полного профиля не превышает 2.4 мс. Достигнутое время быстродействия находится на мировом уровне [37, 38, 46] и удовлетворяет требованию 2.5 мс для включения диагностики ТР в систему управления параметрами плазмы ИТЭР [32]. Время обработки можно сократить до ~1 мс за счет оптимизации системы передачи данных. Дополнительное увеличение быстродействия возможно при использовании операционной системы реального времени и более высокопроизводительного процессора. Показано соответствие между данными, измеряемыми в режиме реального времени, и результатами стандартной постобработки.
Важной частью подготовки оборудования для диагностики диверторной плазмы ТРТ является испытание оборудования на специфической для токамака холодной и плотной плазме дивертора, имеющей температуру, при которой начинают проявляться процессы рекомбинации. Первые измерения диагностики ТР, работающей в области нижнего дивертора токамака “Глобус-М2” показали, что в определенных режимах, плазма внутренней ноги дивертора подходит для испытания оборудования диагностики томсоновского рассеяния дивертора [47]. В описываемом эксперименте источником зондирующего излучения был Nd: YAG лазер с длиной волны 1064 нм с энергией в импульсе 2 Дж, длительностью импульсов 3 нс и с частотой повторения 100 Гц. Вертикальная хорда зондирования (R = 24 см) располагалась в области внутренней диверторной ноги, а рассеянное излучение собиралось из 9 пространственных точек, вдоль хорды длиной 110 мм. Спектрально-аналитический комплекс собран на базе фильтровых полихроматоров. Диагностическая система по своим показателям соответствует целям и задачам программы научных исследований плазмы на токамаке “Глобус-М2”, выполняемых в рамках проекта РНФ № 23-79-00033, позволяя проводить анализ различных плазменных конфигураций в режимах работы с “отрывом” плазмы от диверторных пластин. В термоядерных установках режим с “отрывом” плазмы в диверторе является основным решением, позволяющим снизить нагрузку на диверторные пластины. Несмотря на то, что из-за короткого импульса в токамаке “Глобус-М2” данная проблема не существенна, здесь могут быть решены многие вопросы по отработке технологии снижения тепловой нагрузки на диверторные пластины токамака-реактора. Первые измерения электронной температуры диверторной плазмы в одной пространственной точке, проведенные в экспериментальной кампании 2022 г., составили в ряде режимов несколько электронвольт, что сопоставимо с электронной температурой диверторной плазмы крупных токамаков. Видно, что в интервале времени с 166 до 196 мс, плазменный шнур смещался по диагонали вверх относительно точки измерения. Рисунок 14 построен в предположении, что параметры плазмы на стационарной фазе в области Х-точки оставались неизменными. Магнитные конфигурации были совмещены по положению Х-точки на 166 мс. Эволюция конфигурации плазменного шнура во времени позволила говорить об измерении градиента температуры снаружи от сепаратрисы на внутреннем обходе вблизи Х-точки. Проведенные измерения продемонстрировали возможность проведения апробации диагностического оборудования томсоновского рассеяния, разрабатываемого для диагностики дивертора.
Рис. 14. Результаты измерения электронной температуры диверторной плазмы в одной пространственной точке, проведенные в интервале времени с 166 до 196 мс, в процессе смещения плазменного шнура по диагонали вверх относительно точки измерения.
5. ЗАКЛЮЧЕНИЕ
На данном этапе разработки диагностической системы ТР токамака ТРТ поведен выбор технических решений в соответствие с требованиями к пространственному и временному разрешению, диапазону измерения температуры и концентрации электронов, а также максимально допустимой погрешности измерения, сформулированным на предыдущей стадии формирования технических требований. Для предложенных параметров систем сбора рассеянного излучения ТР центральной, краевой и диверторной плазмы проведен анализ распределения по спектру каналов фильтровых полихроматоров и сделана оценка величин ожидаемых сигналов, уровня фона.
В связи с изменением распределения диагностических патрубков, предложено внести изменение в конструкцию 8, 9 и 13 экваториальных патрубков, оснастив их вырезами во фланцах, расположенных на границе патрубков и вакуумного объема. Такие вырезы в 8 патрубке используемом для ввода лазерного излучения и 9 патрубке для сбора рассеянного излучения при одной хорде зондирования в экваториальной плоскости обеспечивают область исследования в диапазоне –0.3 < r / a < 1.1, включая диагностику центральной области в диапазоне –0.3 < r / a < 0.85 и краевой области в диапазоне 0.85 < r / a < 1.1. Экваториальный патрубок 13 предполагается использовать для расположения ловушки лазерного излучения выходящего из патрубка 8 и сбора рассеянного излучения из области дивертора от хорд зондирования расположенных в экваториальном сечении диверторного патрубка 16.
При развитии диагностики и использования ее для управления плазмой целесообразно расширить возможности диагностической системы ТР путем применения мультиволнового (мультилазерного) режима зондирования с помощью дополнительных Nd: YAG-лазеров с генерацией на длинах волн 946 нм и 532 нм. Это позволит увеличить эффективное спектральное разрешение диагностики, достоверно измерить электронную температуру плазмы в требуемом диапазоне значений, даже в случае незапланированного изменения спектральной характеристики системы сбора излучения. Такой подход предоставляет возможность определить искажение спектральной характеристики системы сбора излучения в случае ее деградации из-за осаждения продуктов эрозии первой стенки на оптических элементах, а также спектрально-селективного снижения пропускания линз и световодов вследствие воздействия нейтронного и гамма-облучения.
Для диагностики диверторной плазмы на установке ТРТ предложен диагностический комплекс для измерения параметров плазмы в диверторе и в области Х-точки совмещенной лазерной диагностикой томсоновского рассеяния и лазерно-индуцированной флуоресценции. Измерения предлагается проводить вдоль трех хорд лазерного излучения, вводимого в плазму в диверторном патрубке ТРТ 16. Системы наблюдения при этом предлагается размещать в диверторном патрубке 16 и экваториальном патрубке 13. Каждая из хорд лазерного зондирования предназначена для решения своей функциональной задачи: хорда зондирования вдоль наружной диверторной мишени служит для измерения распределения тепловой нагрузки на наружную диверторную пластину, положение и ширину области максимальной нагрузки (strike point); хорда, направленная вдоль сепаратрисы, позволит измерить градиенты параметров электронного, ионного и нейтрального компонентов плазмы от Х-точки до области strike point; хорда зондирования, направленная вертикально из-под диверторной кассеты, позволит измерить плазменные параметры в области Х-точки на входе в дивертор и под сепаратрисой (private region).
Для использования данных диагностики в обратной связи для реализации перспективных схем управления профилями концентрации, тока, электронной и ионной температур плазмы и предотвращения аварийных ситуаций, связанных со срывом тока плазмы, предлагается использовать разработанное оборудование, позволяющее получать данные диагностики ТР в режиме реального времени. Диагностика ТР в режиме реального времени также требуется для оптимизации выхода реакции термоядерного синтеза в токамаках-реакторах. На токамаке ИТЭР именно диагностика ТР призвана обеспечить обратную связь для управления гибридными режимами. Одной из приоритетных задач российского проекта ТРТ также является реализация управления профилями различных параметров плазмы, для решения этой задачи перспективно использование диагностики ТР. Ожидается, что предложенный состав диагностического комплекса позволит реализовать управление режимами работы ТРТ. Рассмотрено применение диагностики томсоновского рассеяния в режиме реального времени для управления концентрацией плазмы сферического токамака “Глобус-М2”, с обработкой сигналов лазерного рассеяния из 11 пространственных точек в реальном времени с задержкой менее 2.4 мс. Возможности диагностики ТР, созданной для токамака “Глобус-М2”, достаточны для реконструкции профиля тока плазмы равновесными кодами в режиме реального времени, для систем управления пространственными распределениями параметров плазмы в токамаке-реакторе и источнике нейтронов. Достигнутая скорость обработки сигналов ТР соответствует требованиям к системам регистрации диагностики томсоновского рассеяния современных термоядерных установок, в том числе проекта ИТЭР.
Для отладки оборудования диагностики диверторной области предлагается использовать область внутренней ноги дивертора токамака “Глобус-М2”. В пилотном эксперименте, проведенном 2022 году показано, что в определенных режимах в этой области реализуется область плазмы с параметрами, характерными для режимов “отрыва” от диверторных пластин.
ФИНАНСИРОВАНИЕ
Постановка задач, выполняемых диагностикой ТР, а также формулировка технических требований, предъявляемых к системе ТР (разд. 1 и 2) выполнены при поддержке Министерства образования и науки РФ в рамках государственного задания FFUG-2024-0034, а также при частичной финансовой поддержке за счет средств государственного контракта № Н.4к.241.09.23.1060 от 17.04.2023. Демонстрация возможностей диагностического комплекса томсоновского рассеяния при исследовании диверторной плазмы, описание которой приведено в разд. 4, проводилась на токамаке “Глобус-М2” в рамках проекта РНФ № 23-79-00033.
About the authors
E. E. Mukhin
Ioffe Institute, Russian Academy of Sciences
Author for correspondence.
Email: e.mukhin@mail.ioffe.ru
Russian Federation, St. Petersburg, 194021
S. Yu. Tolstyakov
Ioffe Institute, Russian Academy of Sciences
Email: e.mukhin@mail.ioffe.ru
Russian Federation, St. Petersburg, 194021
G. S. Kurskiev
Ioffe Institute, Russian Academy of Sciences
Email: e.mukhin@mail.ioffe.ru
Russian Federation, St. Petersburg, 194021
N. S. Zhiltsov
Ioffe Institute, Russian Academy of Sciences
Email: e.mukhin@mail.ioffe.ru
Russian Federation, St. Petersburg, 194021
N. V. Ermakov
Ioffe Institute, Russian Academy of Sciences
Email: e.mukhin@mail.ioffe.ru
Russian Federation, St. Petersburg, 194021
E. E. Tkachenko
Ioffe Institute, Russian Academy of Sciences
Email: e.mukhin@mail.ioffe.ru
Russian Federation, St. Petersburg, 194021
A. N. Koval
Ioffe Institute, Russian Academy of Sciences
Email: e.mukhin@mail.ioffe.ru
Russian Federation, St. Petersburg, 194021
V. A. Solovey
Ioffe Institute, Russian Academy of Sciences
Email: e.mukhin@mail.ioffe.ru
Russian Federation, St. Petersburg, 194021
S. A. Aleksandrov
Ioffe Institute, Russian Academy of Sciences
Email: e.mukhin@mail.ioffe.ru
Russian Federation, St. Petersburg, 194021
A. V. Nikolaev
Ioffe Institute, Russian Academy of Sciences
Email: e.mukhin@mail.ioffe.ru
Russian Federation, St. Petersburg, 194021
D. A. Antropov
Efremov Institute of Electrophysical Apparatus
Email: e.mukhin@mail.ioffe.ru
Russian Federation, St. Petersburg
A. V. Bondar
Efremov Institute of Electrophysical Apparatus
Email: e.mukhin@mail.ioffe.ru
Russian Federation, St. Petersburg
I. V. Kedrov
Efremov Institute of Electrophysical Apparatus
Email: e.mukhin@mail.ioffe.ru
Russian Federation, St. Petersburg
T. A. Marchenko
Efremov Institute of Electrophysical Apparatus
Email: e.mukhin@mail.ioffe.ru
Russian Federation, St. Petersburg
A. F. Kornev
Lasers & Optical Systems Company
Email: e.mukhin@mail.ioffe.ru
Russian Federation, St. Petersburg
A. M. Makarov
Lasers & Optical Systems Company
Email: e.mukhin@mail.ioffe.ru
Russian Federation, St. Petersburg
D. L. Bogachev
Spectral-Tech LLC
Email: e.mukhin@mail.ioffe.ru
Russian Federation, St. Petersburg
D. S. Samsonov
Ioffe Institute, Russian Academy of Sciences
Email: e.mukhin@mail.ioffe.ru
Russian Federation, St. Petersburg, 194021
E. G. Guk
Ioffe Institute, Russian Academy of Sciences
Email: e.mukhin@mail.ioffe.ru
Russian Federation, St. Petersburg, 194021
V. N. Klimov
Ioffe Institute, Russian Academy of Sciences
Email: e.mukhin@mail.ioffe.ru
Russian Federation, St. Petersburg, 194021
E. P. Smirnova
Ioffe Institute, Russian Academy of Sciences
Email: e.mukhin@mail.ioffe.ru
Russian Federation, St. Petersburg, 194021
A. V. Sotnikov
Ioffe Institute, Russian Academy of Sciences
Email: e.mukhin@mail.ioffe.ru
Russian Federation, St. Petersburg, 194021
A. G. Razdobarin
Ioffe Institute, Russian Academy of Sciences
Email: e.mukhin@mail.ioffe.ru
Russian Federation, St. Petersburg, 194021
A. N. Bazhenov
Ioffe Institute, Russian Academy of Sciences
Email: e.mukhin@mail.ioffe.ru
Russian Federation, St. Petersburg, 194021
I. V. Bocharov
Ioffe Institute, Russian Academy of Sciences
Email: e.mukhin@mail.ioffe.ru
Russian Federation, St. Petersburg, 194021
V. A. Bocharnikov
Ioffe Institute, Russian Academy of Sciences
Email: e.mukhin@mail.ioffe.ru
Russian Federation, St. Petersburg, 194021
I. M. Bukreev
Ioffe Institute, Russian Academy of Sciences
Email: e.mukhin@mail.ioffe.ru
Russian Federation, St. Petersburg, 194021
A. M. Dmitriev
Ioffe Institute, Russian Academy of Sciences
Email: e.mukhin@mail.ioffe.ru
Russian Federation, St. Petersburg, 194021
D. I. Elets
Ioffe Institute, Russian Academy of Sciences
Email: e.mukhin@mail.ioffe.ru
Russian Federation, St. Petersburg, 194021
I. B. Tereshchenko
Ioffe Institute, Russian Academy of Sciences
Email: e.mukhin@mail.ioffe.ru
Russian Federation, St. Petersburg, 194021
L. A. Varshavchik
Ioffe Institute, Russian Academy of Sciences
Email: e.mukhin@mail.ioffe.ru
Russian Federation, St. Petersburg, 194021
A. P. Chernakov
Ioffe Institute, Russian Academy of Sciences
Email: e.mukhin@mail.ioffe.ru
Russian Federation, St. Petersburg, 194021
P. A. Pankrat’ev
Ioffe Institute, Russian Academy of Sciences
Email: e.mukhin@mail.ioffe.ru
Russian Federation, St. Petersburg, 194021
G. V. Marchii
Ioffe Institute, Russian Academy of Sciences
Email: e.mukhin@mail.ioffe.ru
Russian Federation, St. Petersburg, 194021
M. Minbaev
Ioffe Institute, Russian Academy of Sciences
Email: e.mukhin@mail.ioffe.ru
Russian Federation, St. Petersburg, 194021
K. O. Nikolaenko
Ioffe Institute, Russian Academy of Sciences
Email: e.mukhin@mail.ioffe.ru
Russian Federation, St. Petersburg, 194021
N. A. Kungurtsev
Spectral-Tech LLC
Email: e.mukhin@mail.ioffe.ru
Russian Federation, St. Petersburg
N. V. Sakharov
Ioffe Institute, Russian Academy of Sciences
Email: e.mukhin@mail.ioffe.ru
Russian Federation, St. Petersburg, 194021
Y. V. Petrov
Ioffe Institute, Russian Academy of Sciences
Email: e.mukhin@mail.ioffe.ru
Russian Federation, St. Petersburg, 194021
A. N. Mokeev
Private Institution “ITER Center”
Email: e.mukhin@mail.ioffe.ru
Russian Federation, Moscow
References
- Mukhin E., Vukolov K., Semenov V., Tolstyakov S., Kochergin M., Kurskiev G., Podushnikova K., Razdobarin A., Gorodetsky A., Zalavutdinov R., Bukhovets V., Zakharov A., Bulovich S., Veiko V., Shakshno E. // Nucl. Fusion. 2009. V. 49. P. 085032. https://doi.org/10.1088/0029-5515/49/8/085032
- Mukhin E. E., Semenov V. V., Razdobarin A. G., Tolstyakov S. Yu., Kochergin M. M., Kurskiev G. S., Podushnikova K. A., Masyukevich S. V., Kirilenko D. A., Sitni-kova A. A., Chernakov P. V., Gorodetsky A. E., Bukhovets V. L., Zalavutdinov R. Kh., Zakharov A. P., Arkhipov I. I., Khimich Yu.P., Nikitin D. B., Gorshkov V. N., Smirnov A. S., Chernoizumskaja T. V., Khilkevitch E. M., Bulovich S. V., Voitsenya V. S., Bondarenko V. N., Konovalov V. G., Ryzhkov I. V., Nekhaieva O. M., Skorik O. A., Vukolov K. Yu., Khripunov V. I., Andrew P. // Nucl. Fusion. 2012. V. 52. P. 013017. https://doi.org/10.1088/0029-5515/52/1/013017
- Nemov A., Modestov V., Buslakov I., Loginov I., Ivashov I., Lukin A., Borovkov A., Kochergin M., Mukhin E., Litvinov A., Koval A., Tolstyakov S., Andrew P. // Fusion Eng. Des. 2014. V. 89. P. 1241—1245. https://doi.org/10.1016/j.fusengdes.2014.04.008
- Razdobarin A. G., Dmitriev A. M., Bazhenov A. N., Bukreev I. M., Kochergin M. M., Koval A. N., Kurskiev G. S., Litvinov A. E., Masyukevich S. V., Mukhin E. E., Samsonov D. S., Semenov V. V., Tolstyakov S. Yu., Andrew P., Bukhovets V. L., Gorodetsky A. E., Markin A. V., Zakharov A. P., Zalavutdinov R. Kh., Chernakov P. V., Chernoizumskaya T. V., Kobelev A. A., Miroshnikov I. V., Smirnov A. S. // Nucl. Fusion. 2015. V. 55. P. 093022. https://doi.org/10.1088/0029-5515/55/9/093022
- Bukreev I. M., Mukhin E. E., Bulovich S. V., Matyushenkov A. A., Babinov N. A., Dmitriev A. M., Litvinov A. E., Razdobarin A. G., Samsonov D. S., Varshavchick L. A., Zatilkin P. A. // J. Phys.: Confer. Ser. 2019. V. 1400. P. 077040. https://doi.org/10.1088/1742-6596/1400/7/077040
- Kobelev A., Babinov N., Barsukov Yu., Chernoizumskaya T., Dmitriev A., Mukhin E., Razdobarin A., Smirnov A. // Phys. Plasmas. 2019. V. 26. P. 013504. https://doi.org/10.1063/1.5051314
- Varshavchik L. A., Babinov N. A., Zatylkin P. A., Chironova A. A., Lyullin Z. G., Chernakov A. P., Dmitriev A. M., Bukreev I. M., Mukhin E. E., Razdobarin A. G., Samsonov D. S., Senitchenkov V. A., Tolstyakov S. Yu., Serenkov I. T., Sakharov V. I. // Plasma Phys. Control. Fusion. 2021. V. 63. P. 025005. https://doi.org/10.1088/1361-6587/abca7e
- Babinov N. A., Razdobarin A. G., Bukreev I. M., Kirilenko D. A., Lyullin Z. G., Mukhin E. E., Sitnikova A. A., Varshavchik L. A., Zatylkin P. A., Putrik A., Klimov N. S., Kovalenko D. V., Zhitlukhin A. M., Morgan T., Brons S., De Temmerman G., Serenkov I. T., Sakharov V. I., Bulovich S. V., Gorodetsky A. E., Zalavutdinov R. Kh. // Nucl. Fusion. 2022. V. 62. P. 126004. https://doi.org/10.1088/1741-4326/ac8b1f
- Mukhin E. E., Nelyubov V. M., Yukish V. A., Smirnova E. P., Solovei V. A., Kalinina N. K., Nagaitsev V. G., Valishin M. F., Belozerova A. R., Enin S. A., Borisov A. A., Deryabina N. A., Khripunov V. I., Portnov D. V., Babinov N. A., Dokhtarenko D. V., Khodunov I. A., Klimov V. N., Razdobarin A. G., Alexandrov S. E., Kempenaars M. // Fusion Eng. Des. 2022. V. 176. P. 113017. https://doi.org/10.1016/j.fusengdes.2022.113017
- Samsonov D., Tereschenko I., Mukhin E., Gubal A., Kapustin Yu., Filimonov V., Babinov N., Dmitriev A., Nikolaev A., Komarevtsev I., Koval A., Litvinov A., Marchii G., Razdobarin A., Snigirev L., Tolstyakov S., Marinin G., Terentev D., Gorodetsky A., Zalavutdinov R., Markin A., Bukhovets V., Arkhipushkin I., Borisov A., Khripunov V., Mikhailovskii V., Modestov V., Kirienko I., Buslakov I., Chernakov P., Mokeev A., Kempenaars M., Shigin P., Drapiko E. // Nucl. Fusion. 2022. V. 62. P. 086014. https://doi.org/10.1088/1741-4326/ac544d
- Курскиев Г. С., Мухин Е. Е., Коваль А. Н., Жильцов Н. С., Соловей В. А., Толстяков С. Ю., Ткаченко Е. Е., Раздобарин А. Г., Дмитриев А. М., Корнев А. Ф., Макаров А. М., Горшков А. В., Асадулин Г. М., Кукушкин А. Б., Сдвиженский П. А., Чернаков П. В. // Физика плазмы. 2022. Т. 48. С. 711. https://doi.org/10.31857/S0367292122100134
- Мухин Е. Е., Толстяков С. Ю., Курскиев Г. С., Жильцов Н. С., Коваль А. Н., Соловей В. А., Горбунов А. В., Горшков А. В., Асадулин Г. М., Корнев А. Ф., Макаров А. М., Богачев Д. Л., Бабинов Н. А., Самсонов Д. С., Раздобарин А. Г., Баженов А. Н., Букреев И. М., Дмитриев А. М., Елец Д. И., Сениченков В. А., Терещенко И. Б., Варшавчик Л. А., Ходунов И. А., Чернаков Ан.П., Марчий Г. В., Николаенко К. О., Ермаков Н. В. // Физика плазмы. 2022. Т. 48. С. 722. https://doi.org/10.31857/S0367292122100146
- Kurzan B., Lohs A., Sellmair G., Sochor M. and ASDEX Upgrade team. // J. Instrumentation. 2021. V. 16. P. C09012.
- Glass F., Carlstrom T. N., Du D., McLean A.G., Taussig D. A., Boivin R. L. // Rev. Sci. Instrum. 2016. V. 87. P. 11E508. https://doi.org/10.1063/1.4955281
- Hawke J., Scannell R., Harrison J., Huxford R., Bohm P. // J. Instrumentation. 2013. V. 8. P. C11010.
- Bassan M. Performance analysis of the 55.C1 CPTS Diagnostic. https://user.iter.org/default.aspx?uid=UG2AFL, https://www.cherab.info/demonstrations/demonstrations.html#creating-plasmas.
- Kurskiev G. S., Sdvizhenskii P. A., Bassan M., Andrew P., Bazhenov A. N., Bukreev I. M., Chernakov P. V., Kochergin M. M., Kukushkin A. B., Kukushkin A. S., Mukhin E. E., Razdobarin A. G., Samsonov D. S., Semenov V. V., Tolstyakov S. Yu., Kajita S., Masyukevich S. // Nucl. Fusion. 2015. V. 55. 5. https://doi.org/ 10.1088/0029-5515/55/5/053024
- Kukushkin A. S., Kukushkin A. B. On the calculation of Bremsstrahlung from ITER divertor. https://user.iter.org/default.aspx?uid=3338YT.
- Леонов В. М., Коновалов С. В., Жоголев В. Е., Кавин А. А., Красильников А. В., Куянов А. Ю., Лукаш В. Э., Минеев А. Б., Хайрутдинов Р. Р. // Физика плазмы. 2021. Т. 47. С. 986. https://doi.org/10.31857/S0367292121120040
- Mukhin E. E., Kurskiev G. S., Gorbunov A. V., Samsonov D. S., Tolstyakov S. Yu., Razdobarin A. G., Babinov N. A., Bazhenov A. N., Bukreev I. M., Dmitriev A. M., Elets D. I., Koval A. N., Litvinov A. E., Masyukevich S. V., Senitchenkov V. A., Solovei V. A., Tereschenko I. B., Varshavchik L. A., Kukushkin A. S., Khodunov I. A., Levashova M. G., Lisitsa V. S., Vukolov K. Yu., Berik E. B., Chernakov P. V., Chernakov Al.P., Chernakov An.P., Zatilkin P. A., Zhiltsov N. S., Krivoruchko D. D., Skrylev A. V., Mokeev A. N., Andrew P., Kempenaars M., Vayakis G., Walsh M. J. // Nucl. Fusion. 2019. V. 59. P. 086052. https://doi.org/10.1088/1741-4326/ab1cd5
- Smith O. R.P., Gowers C., Nielsen P., Salzmann H. // Rev. Sci. Instrum. 1997. V. 68. P. 725. https://doi.org/10.1063/1.1147686
- Mukhin E. E., Pitts R. A., Andrew P., Bukreev I. M., Chernakov P. V., Giudicotti L., Huijsmans G., Kochergin M. M., Koval A. N., Kukushkin A. S., Kurskiev G. S., Litvinov A. E., Masyukevich S. V., Pasqualotto R., Razdobarin A. G., Semenov V. V., Tolstyakov S. Yu., Walsh M. J. // Nucl. Fusion. 2014. V. 54. P. 043007. https://doi.org/10.1088/0029-5515/54/4/043007
- Kurskiev G. S., Chernakov Al.P., Solovey V. A., Tolstyakov S. Yu., Mukhin E. E., Koval A. N., Bazhenov A. N., Aleksandrov S. E., Zhiltsov N. S., Senichenkov V. A., Lukoyanova A. V., Chernakov P. V., Varfolomeev V. I., Gusev V. K., Kiselev E. O., Petrov Yu.V., Sakharov N. V., Minaev V. B., Novokhatsky A. N., Patrov M. I., Gorshkov A. V., Asadulin G. M., Belabas I. S. // Nuclear Inst. Methods in Phys. Res. A. 2020. V. 963. P. 163734. https://doi.org/10.1016/j.nima.2020.163734
- Zhiltsov N. S., Kurskiev G. S., Mukhin E. E., Solovey V. A., Tolstyakov S. Yu., Aleksandrov S. E., Bazhenov A. N., Chernakov Al.P. // Nuclear Inst. Methods in Phys. Res. A. 2020. V. 976. P. 164289. https://doi.org/10.1016/j.nima.2020.164289
- Жильцов Н. С., Курскиев Г. С., Соловей В. А., Гусев В. К., Кавин А. А., Киселёв Е. О., Минаев В. Б., Мухин Е. Е., Петров Ю. В., Сахаров Н. В., Солоха В. В., Новохацкий А. Н., Ткаченко Е. Е., Толстяков С. Ю., Тюхменева Е. А. // Письма в ЖТФ. 2023. Т. 49. С. 13.
- Kurskiev G. S., Zhiltsov N. S., Koval A. N., Kornev A. F., Makarov А. М., Mukhin E. E., Petrov Yu.V., Sakharov N. V., Solovey V. A., Тkachenko Е. Е., Tolstyakov S. Yu., Chernakov P. V. // Tech. Phys. Lett. 2022. V. 48. P. 78. https://doi.org/10.21883/TPL.2022.15.54273.19019
- Асадулин Г. М., Баженов А. Н., Бельбас И. С., Горшков А. В., Коваль А. Н., Курскиев Г. С., Соловей В. А., Солоха В. В., Чернаков Ал.П. // ВАНТ. Сер. Термоядерный синтез. 2019. Т. 42. С. 89. https://doi.org/10.21517/0202-3822-2019-42-1-89-94
- Ritt S., Dinapoli R., Hartmann U. // Nuclear Inst. Methods in Phys. Res. A. 2010. V. 623. P. 486. https://doi.org/10.1016/j.nima.2010.03.045
- Kornev A. F., Davtian A. S., Kovyarov A. S., Makarov A. M., Oborotov D. O., Pokrovskii V. P., Porozov A. A., Sobolev S. S., Stupnikov V. K., Kurskiev G. S., Mukhin E. E., Tolstyakov S. Yu., Andrew P., Kempenaars M., Vayakis G., Walsh M. // Fusion Eng. Design. A. 2019. V. 146. P. 1019. https://doi.org/10.1016/j.fusengdes.2019.01.147
- Annex 1 to DTS DDD (UVFXVC). https://user.iter.org/?uid=UVFXVC&version=v1.0.
- Makarov A. M., Kornev A. F., Katsev Yu.V., Stupnikov V. K. // Appl. Optics. 2021. V. 60. P. 547. https://doi.org/10.1364/AO.41290
- ITER System Requirements Document for diagnostics (SRD-55) from DOORS (Dynamic Object-Oriented Requirements System). https://user.iter.org/default.aspx?uid=28B39L.
- Litaudon X., Barbato E., Becoulet A., Doyle E. J., Fujita T., Gohil P., Imbeaux F., Sauter O., Sips G. // Plasma Phys. Control. Fusion. 2024. V. 46. P. A19.
- Boyer M. D., Battaglia D. J., Mueller D., Eidietis N., Erickson K., Ferron J., Gates D. A., Gerhardt S., Johnson R., Kolemen E., Menard J., Myers C. E., Sabbagh S. A., Scotti F., Vail P. // Nucl. Fusion. 2018. V. 58. P. 036016. https://doi.org/10.1088/1741-4326/aaa4d0
- Красильников А. В., Коновалов С. В., Бондарчук Э. Н., Мазуль И. В., Родин И. Ю., Минеев А. Б., Кузьмин Е. Г., Кавин А. А., Карпов Д. А., Леонов В. М., Хайрутдинов Р. Р., Кукушкин А. С., Портнов Д. В., Иванов А. А., Бельченко Ю. И., Денисов Г. Г. // Физика плазмы. 2021. Т. 47. С. 970. https://doi.org/10.31857/S0367292121110196
- Lee J.-H., Lee S. J., Kim H. J., Hahn S. H., Yamada I., Funaba H. // Fusion Eng. Design. 2023. V. 190. P. 113532. https://doi.org/10.1016/j.fusengdes.2023.113532
- Laggner F. M., Diallo A., LeBlanc B.P., Rozenblat R., Tchilinguirian G., Kolemen E. and NSTX-U Team // Rev. Sci. Instrum. 2019. V. 90. P. 043501. https://doi.org/10.1063/1.5088248
- Rozenblat R., Kolemen E., Laggner F. M., Freeman C., Tchilinguirian G., Sicht P., Zimmer G. // Fusion Sci. Technol. 2019. V. 75. P. 835. https://doi.org/10.1080/15361055.2019.1658037
- Hammond K. C., Laggner F. M., Diallo A., Doskoczynski S., Freeman C., Funaba H., Gates D. A., Rozenblat R., Tchilinguirian G., Xing Z., Yamada I., Yasuhara R., Zimmer G., Kolemen E. // Rev. Sci. Instrum. 2021. V. 92. P. 063523. https://doi.org/10.1063/5.0041507
- Yamada I., Funaba H., Lee J.-H., Huang Y., Liu C. // Plasma Fusion Res. 2022. V. 17. P. 2402061. https://doi.org/10.1585/pfr.17.2402061
- Shibaev S., Naylor G., Scannell R., McArdle G.J., Walsh M. J. // 17th IEEE-NPSS Real Time Conf. Lisbon, Portugal. 2010. P. 1. https://doi.org/10.1109/RTC.2010.5750394
- Shibaev S., Naylor G., Scannell R., McArdle G.J., O’Gorman T., Walsh M. J. // Fusion Eng. Design. 2010. V. 85. P. 683. https://doi.org/10.1016/j.fusengdes.2010.03.035
- Arnichand H., Andrebe Y., Blanchard P., Antonioni S., Couturier S., Decker J., Duval B. P., Felici F., Galperti C., Isoz P.-F., Lavanchy P., Llobet X., Marletaz B., Marmillod P., Masur J. // J. Instrumentation. 2019. V. 14. P. C09013. https://doi.org/10.1088/1748-0221/14/09/C09013
- Carlstrom T. N., Campbell G. L., DeBoo J.C., Evanko R., Evans J., Greenfield C. M., Haskovec J., Hsieh C. L., McKee E., Snider R. T., Stockdale R., Trost P. K., Thomas M. P. // Rev. Sci. Instrum. 1992. V. 63. P. 4901. https://doi.org/10.1063/1.1143545.25
- Курскиев Г. С., Сахаров Н. В., Щёголев П. Б., Бахарев Н. Н., Киселев E. O., Авдеева Г. Ф., Гусев В. K., Ибляминова A. Д., Минаев В. Б., Мирошников И. В., Патров M. И., Петров Ю. В., Тельнова А. Ю., Толстяков С. Ю., Токарев В. А. // Вопр. атомной науки и техники. Сер. Термоядерный синтез. 2016. Т. 39. С. 86. https://doi.org/10.21517/0202-3822-2016-39-4-86-94
- Kadziela M., Jablonski B., Perek P., Makowski D. // J. Fusion Energy. 2020. V. 39. P. 261.
- Ермаков Н. В., Жильцов Н. С., Курскиев Г. С., Мухин Е. Е., Толстяков С. Ю., Ткаченко Е. Е., Соловей В.А., Николаенко К. О., Коваль А. Н., Петров Ю. В., Сахаров Н. В., Бочаров И. В., Рожанский В. А., Сениченков И. Ю., Долгова К. В. // Физика плазмы. 2023. Т. 49. C.
Supplementary files

















