О процессах зарядки стенки разрядной трубки при внешнем освещении
- Авторы: Мещанов А.В.1, Ионих Ю.З.1
-
Учреждения:
- Санкт-Петербургский государственный университет
- Выпуск: Том 50, № 8 (2024)
- Страницы: 936-945
- Раздел: НИЗКОТЕМПЕРАТУРНАЯ ПЛАЗМА
- URL: https://journal-vniispk.ru/0367-2921/article/view/280626
- DOI: https://doi.org/10.31857/S0367292124080098
- EDN: https://elibrary.ru/OALVSS
- ID: 280626
Цитировать
Полный текст
Аннотация
Проведены экспериментальные исследования пробоя и зажигания разряда в разрядных трубках диаметром порядка 1 см и длиной 80 см в инертных газах (неон, аргон, криптон, ксенон) при давлении порядка 1 Торр. Трубка освещалась излучением постоянных или импульсных источников света видимого диапазона спектра. К аноду трубки прикладывалось линейно-растущее напряжение с малой крутизной фронта (около 50 В/с). В предыдущих работах авторов было установлено, что в этих условиях внешнее освещение может в несколько раз увеличивать напряжение пробоя. Этот эффект объяснялся появлением заряда на стенке трубки в результате фотодесорбции электронов с ее внутренней поверхности. В данной работе установлено, что процесс зарядки стенки начинается только когда потенциал анода приближается к потенциалу пробоя, измеренному в отсутствие освещения. Кроме того, обнаружено, что в процессе роста напряжения на аноде и зарядки стенки потенциал анода отличается от пробивного потенциала на постоянную и небольшую величину (меньше 200 В).
Ключевые слова
Полный текст
1. Введение
Освещение разрядной трубки излучением видимого диапазона может заметно влиять на характеристики пробоя в трубке – пробивное напряжение U b и время запаздывания пробоя (см. [1] и приведенные там ссылки). В недавних работах [2–4] обнаружено, что, в зависимости от скорости роста приложенного напряжения dU / dt, потенциал U b при освещении может меняться: как уменьшаться, так и увеличиваться. Первое реализуется при большой скорости роста напряжения, второе – при малой (рис. 1). Согласно [3, 4], исходной причиной в обоих случаях является вызванная освещением фотоэмиссия слабосвязанных электронов, адсорбированных на внутренней поверхности разрядной трубки. Эти электроны попадают под действие поля, существующего между стенкой и анодом. При быстром росте приложенного напряжения они с большой вероятностью оказываются в фазе сильного поля, что приводит к их размножению и формированию электронной лавины, инициирующей волну ионизации (ВИ) и последующее развитие пробоя. В результате уменьшается время запаздывания пробоя, что в условиях фронта импульса конечной длительности снижает пробивной потенциал. При медленном росте напряжения десорбированные электроны бóльшую часть времени находятся в фазе слабого поля, в котором ионизация невозможна. Однако, двигаясь в этом поле, они создают ток, заряжающий стенку области вблизи анода. Разность потенциалов между анодом и стенкой уменьшается, в результате чего для создания ВИ и пробоя требуется повышение анодного напряжения. В работе [3] это наблюдается в ксеноне, а в [4] еще и в неоне, аргоне и криптоне при низких давлениях (~1 Торр) и dU / dt ~ 10–100 В/с. Результаты этих работ привели к заключению, что напряжение пробоя при освещении трубки U b связано с напряжением пробоя без освещения U b 0 соотношением
(1)
где U w – потенциал заряженной стенки. Наличие заряда на стенке вблизи анода подтверждается поведением ВИ: при своем движении от анода к катоду она ускоряется, в противоположность тому, что наблюдается при импульсном пробое с крутым фронтом напряжения [1, 4].
Рис. 1. Зависимость потенциала пробоя от скорости роста анодного напряжения в темноте (1) и при освещении трубки люминесцентными лампами (2) [3].
За рамками обсуждения в работах [3, 4] остался вопрос о том, каким образом развивается во времени процесс зарядки стенки после начала роста потенциала анода. Эксперименты [4] с освещением трубки импульсными источниками света показали лишь, что повышение пробивного потенциала при освещении наблюдается только если световые импульсы начинаются не позднее или закачиваются не ранее, чем анодное напряжение достигает значения U b 0. В данной работе проводятся исследования, которые позволяют ответить на поставленный выше вопрос, а также уточнить механизм зарядки стенки при фотодесорбции электронов.
2. Эксперимент
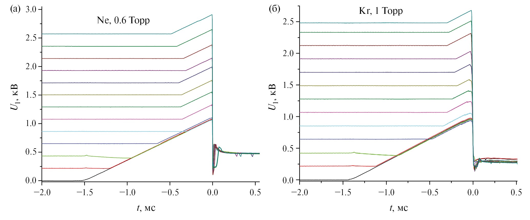
Измерения проводились на установке, описанной в работах [3, 4]. Использовались отпаянные разрядные трубки внутренним диаметром 8–13 мм и длиной 75–80 см. Трубки наполнялись инертным газом (Ne, Ar, Kr, Xe); исходная чистота газов была 99.99%, перед наполнением трубки проводилась их доочистка молекулярными ситами. К аноду трубки прикладывали линейно растущее напряжение U 1 (t) крутизной dU / dt = 40–50 В/с (прямая CD на рис. 2). При такой крутизне, согласно данным [3, 4], наблюдается сильное увеличение напряжения пробоя при освещении трубки. Потенциал U 1 (t), однако, обрывали раньше, чем происходил пробой, при некотором значении U A (точка D на рис. 2), но одновременно на анод подавали импульс длительностью 10 мс и фронтом U 2 (t) большой крутизны – 7×10 5 В/с (прямая DE). Этот импульс уже приводил к пробою, причем фронт такой крутизны обеспечивает наименьшее напряжение пробоя U b = U b m (минимум на кривой зависимости U b от dU / dt [3, 4], рис. 1). Кроме того, при такой величине dU / dt влияние освещения трубки на потенциал пробоя тоже минимально, или отсутствует совсем [3, 4], т.е. U b m = U b 0. Потенциал U 2 возрастал до тех пор, пока не происходил пробой (точка E), из-за чего напряжение падало до уровня FG – напряжения горения разряда. Эта процедура, таким образом, позволяла измерить напряжение пробоя в условиях, когда стенка предварительно заряжена одновременным воздействием освещения и анодного напряжения U A.
Рис. 2. Пример эпюры анодного напряжения (для наглядности промежуток DE FG растянут).
Для облучения трубки использовались люминесцентные лампы общего лабораторного освещения плюс люминесцентная 30-ваттная лампа, установленная вдоль трубки на расстоянии 0.5 м. Применялись также импульсные источники: светодиод, излучающий в полосе 395 –410 нм, и диодный лазер (λ = 405 нм). Все приведенные ниже результаты, даже если это не оговорено специально, получены в условиях освещения трубки.
3. Результаты и обсуждение
На рис. 3 представлены осциллограммы анодного напряжения для двух газов – неона и криптона. Регистрировался короткий промежуток времени вблизи момента пробоя. На таком промежутке отрезок осциллограммы, отвечающий наклонной прямой CD рисунка 2, выглядит горизонтальным. Самая нижняя траектория соответствует случаю, когда напряжени е U 1 (t) отсутствовало, то есть при U А = 0. Остальные осциллограммы отвечают разной задержке t 0 импульса U 2 относительно начала роста U 1 (t), о т 5 до 60 с, что соответствует значениям U А ≈ 200 ÷ ÷ 2500 В. Видно, что потенциал U 1 влияет на напряжение пробоя, но только если U А превышает некоторое критическое значение ; последнее близко к потенциалу пробоя без освещения U b 0 [4]. При меньших U А наличие потенциала U 1 не меняет потенциал пробоя или меняет незначительно.
Рис. 3. Осциллограммы анодного напряжения при подаче на анод последовательности двух импульсов с линейно растущим фронтом крутизной 43.5 В/с и 7.2∙10 5 В/с и при освещении люминесцентными лампами. Значение t = 0 отвечает моменту пробоя.
На рис. 4 представлены результаты обработки осциллограмм рисунка 3, а также аналогичных данных для других газов. На оси абсцисс приведены значения анодного потенциала U A, по оси ординат отложены значения потенциала пробоя (точка Е на рис. 2). Во всех случаях проявляется та же закономерность, что и на рис. 3. Для значений U А, не превышающих некоторой величины, пробивное напряжение остается тем же, что и при U A = 0. При превышении этой величины напряжение пробоя начинает расти. На рис. 4в показан также результат применения альтернативного метода измерения потенциала пробоя U b. В этом случае в момент времени t 0 прикладывался импульс не с линейно растущим фронтом, а прямоугольный. Его амплитуда подбиралась такой, чтобы при минимальном ее значении происходил пробой. Видно, что оба метода дают близкие результаты.
Рис. 4. Зависимость напряжения пробоя от потенциала анода в различных газах. На рис. 4а приведены также значения поверхностного заряда стенки, на рис. 4в RP – пробой прямоугольным импульсом. Скорость роста анодного напряжения dU 1 / dt = 37–48 В/с, освещение люминесцентными лампами.
При U b > U b 0 зависимость U b от U A линейная, причем с угловым коэффициентом, близким к единице (от 0.99 до 1.05), и может быть описана соотношением
(2)
где константа u лежит в диапазоне 130–200 В, в зависимости от рода газа. Физический смысл величины u будет прояснен ниже.
Таким образом, наличие медленно растущего потенциала U 1 влияет на напряжение пробоя только если в момент t 0 старта пробивного импульса U 2 величина U 1 (t 0) = U A превышает значение, близк ое к потенциалу пробоя без освещения U b 0. Как указывалось во Введении, в предыдущих работах [3, 4] было предложено объяснение роста потенциала пробоя при освещении трубки в случае медленно растущего напряжения. Оно заключалось в том, что под действием освещения происходит фотоэмиссия слабосвязанных электронов, адсорбированных на внутренней поверхности трубки. Десорбированные электроны, двигаясь в поле высоковольтного анода, создают ток, заряжающий стенку и повышающий ее потенциал. Это приводит к росту потенциала анода, необходимого для генерации ВИ, которая обеспечивает дальнейшее развитие пробоя, то есть к увеличению напряжения пробоя. Из результатов измерений, проведенных в данной работе, следует, что процесс зарядки освещенной стенки происходит не в течение всего времени, когда потенциал приложен к аноду; он начинается только после того, как этот потенциал достигает определенного критического значения, близкого к U b 0. При этом из равенства (2) следует, что после того, как потенциал анода превысил U b 0, он поддерживается на уровне, меньшем U b на сравнительно небольшую величину u < 200 В.
Это подтверждают дополнительные эксперименты, результаты которых представлены на рис. 5 и 6. Они иллюстрируют влияние на напряжение пробоя импульсного освещения. На первом из них световой импульс варьируемой длительности τ начинается в момент начала роста анодного напряжения. Видно, что U b остается неизменным и близким к U b 0 вплоть до значения τ = τ с ≈ 13 с. Осциллограмма анодного напряжения U (t), изображенная на врезке, показывает, что при t = τ с напряжение становится равным или близким к U b 0. И только с этого момента начинается рост пробивного напряжения. П рименительно к концепции зарядки стенки это означает, что при U (t) < U b 0 зарядка не происходит, несмотря на наличие освещения и электрического поля между анодом и стенкой. На рис. 6 варьируется запаздывание Δ t переднего фронта светового импульса по отношению к началу роста анодного напряжения. Импульс заканчивается значительно позже, уже после того, как произошел пробой. Видно, что пробивное напряжение значительно превышает U b 0 во всем интервале изменения Δ t и падает до U b 0 при значении Δ t > Δ t с ≈ 25 с. Осциллограмма анодного напряжения на врезке показывает, что при t = Δ t с значение U (t) ≈ U b 0. Таким образом, если световой импульс начинается позднее, чем анодное напряжение достигло U b 0 – пробивного значения в отсутствие освещения, то пробой произойдет именно при U b 0, и освещение не играет роли. Такой результат кажется вполне очевидным безотносительно к механизму влияния облучения. Интереснее другая закономерность – то, что U b остается постоянным на всем промежутке Δ t от 0 до Δ t с. Другими словами, воздействие освещения не зависит от длительности такого воздействия. Это, как и в предыдущем случае, согласуется с предположением о том, что зарядка стенки происходит в самом конце светового импульса, когда анодное напряжение достигает значения, близкого к U b 0. При меньшем напряжении зарядка не происходит, несмотря на наличие освещения и электрического поля между анодом и стенкой.
Рис. 5. Зависимость пробивного напряжения от длительности светового импульса. Передний фронт импульса совпадает с моментом начала роста анодного напряжения. На врезке – зависимость анодного напряжения от времени. Источник освещения – диодный лазер.
Рис. 6. Зависимость напряжения пробоя от длительности задержки переднего фронта светового импульса относительно начала роста анодного напряжения. Импульс заканчивается позднее пробоя и зажигания разряда. На врезке показана зависимость анодного напряжения от времени. Освещение светодиодом
С другой стороны, очевидно, что процесс зарядки стенки занимает какое-то конечное время. Для оценки этого времени был проведен следующий эксперимент. Линейно растущее анодное напряжение начиналось не с нулевого, а некоторого конечного значения U 0. На рис. 7 показаны осциллограммы этого напряжения с различными U 0 для пробоя в аргоне. Для других газов картина аналогична. Точка t = 0 («аппаратный нуль») отвечает моменту запуска схемы формирования линейного напряжения. Осциллограммы с U 0 > 0 сдвинуты по горизонтали таким образом, чтобы совместить моменты пробоя. При этом оказывается, как видно из рисунка, что напряжение пробоя для всех значений U 0 одинаковое, несмотря на то, что длительность процесса зарядки стенки до момента, когда U = U b 0, для них разная. Это опять согласуется с тем, что зарядка происходит тогда, когда анодное напряжение достигает значения, близкого к U b 0. Отметим, что для всех приведенных осциллограмм U 0 < U b 0. Рис унки 8а,б показывают область, где U 0 ≈ U b 0, более детально. На обоих графиках две первые осциллограммы смещены для наглядности вверх. Для них, аналогично рис. 7, U 0 < U b 0. Их верхние, почти горизонтальные, отрезки есть, очевидно, начальные участки наклонных прямых рис. 7. Таким образом, они соответствуют ситуации, когда стенка заряжается и поэтому пробой при U = U b 0 не происходит. Две другие осциллограммы соответствуют обратному неравенству, U 0 > U b 0, в этом случае стенка в момент скачка потенциала не заряжена, и тогда пробой происходит на его переднем фронте. Короткий зашумленный отрезок отвечает протеканию разрядного тока (длительность разрядного импульса 10 мс). Переход от одной картины к другой происходит за время, не превышающее 0.1 с. Таким образом, этого интервала достаточно, чтобы стенка зарядилась до потенциала, при котором пробой при U = U b 0 произойти не может.
Рис. 7. Временнáя зависимость потенциала анода при наличии начального скачка.
Рис. 8. Временнáя зависимость потенциала анода при наличии начального скачка в укрупненном масштабе.
Рассмотрим подробнее случай, когда U 0 < U b 0. Можно предложить следующий сценарий происходящего в этом случае. Поскольку время зарядки стенки не превышает 0.1 с, в масштабе времени рис. 7 она происходит мгновенно, и в точке, где U = U b 0, потенциал стенки U w меняется скачком на некоторую величину u (рис. 9). Так как стенка становится заряженной, пробой в этот момент не происходит, потенциал U продолжает расти, что приводит к дальнейшему заряду стенки, поддерживающему постоянную разность между ее потенциалом и потенциалом анода:
(3)
Этот процесс происходит до тех пор, пока заряд стенки не достигнет насыщения [3, 4]. После этого потенциал анода возрастает еще немного, до уровня, когда U – U w = U b 0, и в этот момент, согласно (1), происходит пробой.
Рис. 9. Эпюры анодного потенциала и (предположительно) потенциала стенки.
Если пробой, на фоне медленного роста анодного напряжения, в точке, где U = U A, инициируется скачком напряжения, как это описано в начале раздела (рис. 2, 3), то из (1) и (3) получается
то есть соотношение (2). Тем самым проясняется физический смысл величины u, полученной ранее при обработке результатов рис. 4: u – это скачок по тенциала стенки, возникающий при приближении потенциала анода к значению U b 0.
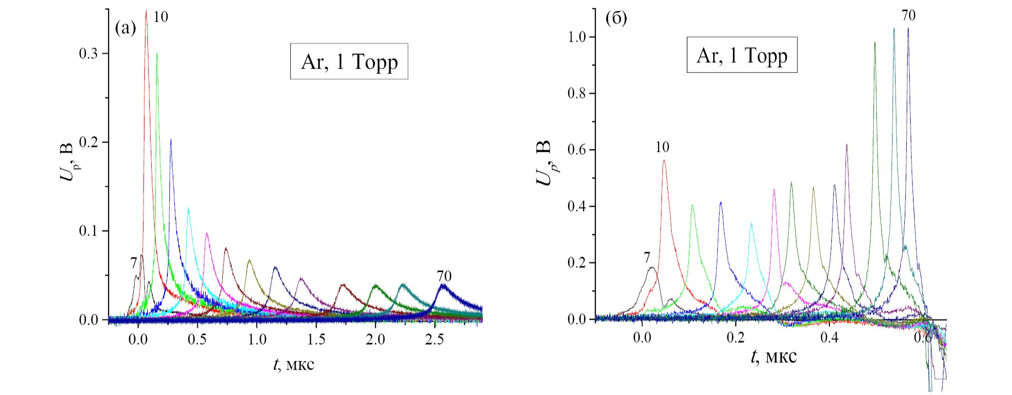
Поверхностный заряд стенки может влиять на прохождение предпробойной волны ионизации (ВИ). Согласно модели Недоспасова [5], движение волны контролируется локальным пробоем между фронтом волны и стенкой. Наличие заряда на стенке меняет разность потенциалов между ними. Если она уменьшается при движении волны, то волна замедляется и ослабевает, вплоть до полного затухания. Это наблюдалось в работах [3, 4], где к аноду трубки было приложено линейно растущее напряжение, а когда потенциал анода достигал некоторого значения (ниже пробивной величины U b 0), на катод подавался положительный импульс прямоугольной формы. Этот импульс генерировал положительную волну ионизации, двигавшуюся к аноду. Волна при приближении к аноду попадала в область одноименно заряженной стенки, из-за чего при своем движении теряла скорость и тем сильнее, чем выше был потенциал анода U. Начиная с некоторых значений U, волна затухала, не достигнув анода. Это подтверждало существование стеночного заряда
В данной работе был проведен подобный эксперимент, только на катод трубки подавался отрицательный прямоугольный импульс длительностью 10 мс. Этот импульс также генерировал волну ионизации, двигавшуюся к аноду. Волна регистрировалась с помощью емкостного зонда, перемещавшегося вдоль трубки [4]. Рис. 10 а иллюстрирует ее движение в ситуации, когда потенциал анода равен нулю (U = 0). Выходной сигнал зонда ослабевает по мере удаления от катода, как это обычно и происходит [1]. В момент прихода ВИ на анод происходит пробой. На рис. 10б потенциал анода отличен от нуля. Видно сильное изменение характера движения волны: она заметно ускоряется (время пробега длины трубки уменьшается), а изменение амплитуды сигнала становится немонотонным.
Рис. 10. Сигналы емкостного зонда при регистрации волны ионизации, инициированной приложенным к катоду импульсом отрицательной полярности амплитудой –1.5 кВ. Потенциал анода равен 0 (а) и +3.5 кВ (б). Цифры у кривых – расстояние от катода в сантиметрах.
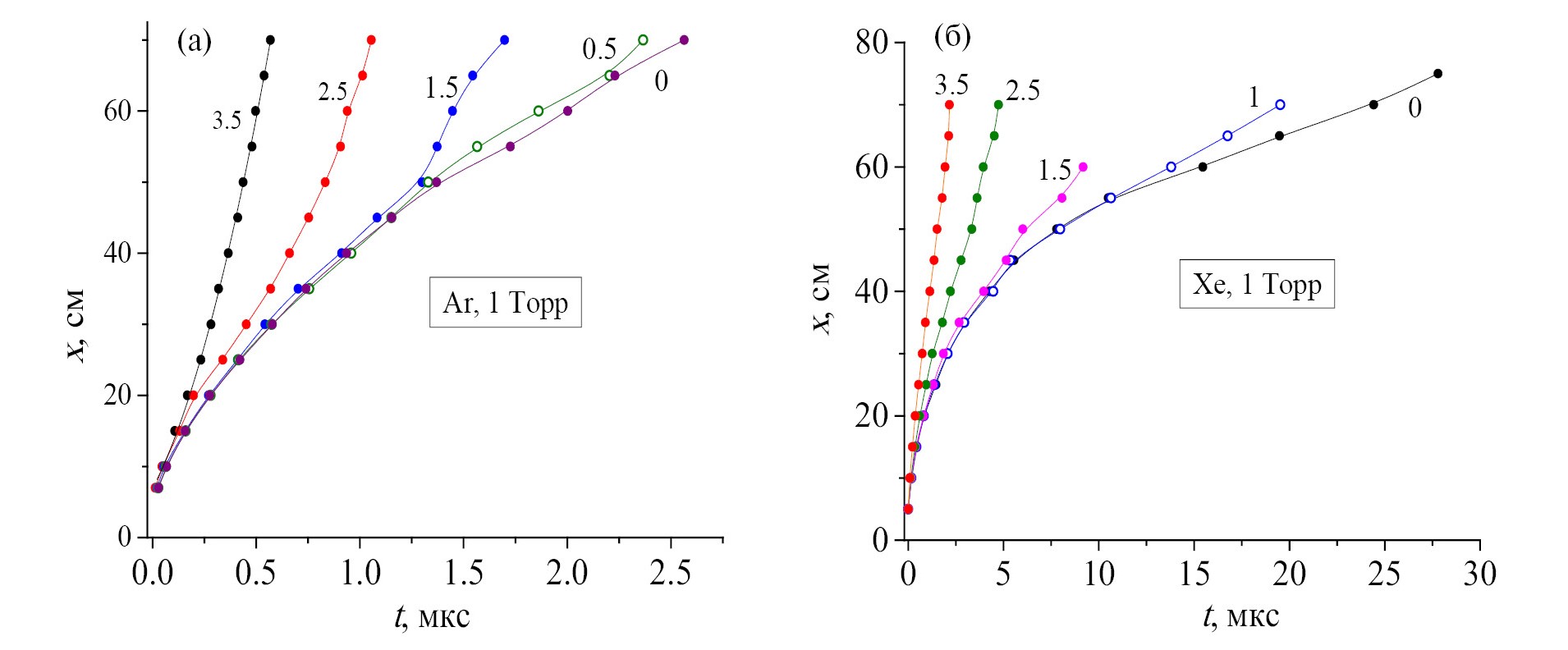
На рис. 11 представлены результаты обработки данных рисунков 10 и подобных графиков – зависимость длины пробега ВИ от времени (xt - диаграммы) для различных значений U. Обращает на себя внимание то, что эти кривые заметно меняются только начиная с достаточно больших значений U, а именно с таких, которые близки к потенциалу U b 0. Причина искажения xt -диаграмм при подаче потенциала на анод может быть объяснена следующим. Здесь, в отличие от предыдущего случая, от катода движется отрицательная ВИ, и, оказываясь в области положительно заряженной стенки, она усиливается и ускоряется. Эффект проявляется тем сильнее, чем выше потенциал анода, так как при этом увеличивается заряд стенки. А тот факт, что это наблюдается только для U > U b 0, подтверждает, что при более низком анодном потенциале зарядки стенки не происходит.
Рис. 11. xt -диаграммы волны ионизации, инициированной приложенным к катоду импульсом отрицательной полярности амплитудой –1.5 кВ, при различных значениях потенциала анода (указаны цифрами у кривых).
Если исходить из того, что рост напряжения пробоя при потенциалах анода, превышающих U b 0, связан с зарядом стенки, можно оценить среднюю по длине трубки величину этого заряда, накопленную к моменту пробоя
где С – емкость трубки. Согласно измерениям и оценкам [6, 7], у разрядных трубок, аналогичных использованным в данной работе, С ≈ 15 пФ. Полученные значения Q для одной из них показаны на графике рис. 4а. Близкие величины получатся, очевидно, и для других трубок. Уточним, что речь идет об усредненном по длине трубки значении. На самом деле плотность заряда, очевидно, максимальна вблизи анода и спадает при удалении от него.
Полученные в данной работе результаты, таким образом, свидетельствуют о том, что механизм зарядки освещенной стенки, описанный в [3, 4], должен быть уточнен. А именно, заметная зарядка начинается не сразу с момента приложения потенциала к аноду, а только при достижении анодом достаточно высокого потенциала, близкого к U b 0. Для объяснения этого факта можно предположить, что квантовый выход фотодесорбции электронов γ des настолько мал, что сам по себе фотоэмиссионный ток не приводит к заметной зарядке стенки. В [3] приводится оценка величины γ des, необходимой для того, чтобы в условиях, аналогичных условиям данной работы, освещение увеличивало напряжение пробоя на 1 кВ : γ des ≈ ≈ 10 –6. Но эта оценка получена в предположении, что зарядка стенки происходит в течение всего интервала роста потенциала анода, то есть является средней по этому интервалу. Если значение γ des на самом деле хотя бы на 1–2 порядка меньше, то заряд стенки оказывается слишком мал, чтобы вызвать заметный рост пробивного напряжения. Однако при этом с ростом потенциала анода становится заметной ионизация в промежутке между стенкой и анодом (ионизационное усиление). Эффективность этого процесса зависит от приведенной напряженности электрического поля E / p. При зазоре между анодом и стенкой 1 см, давлении 1 Торр и напряжении 1 кВ получается E / p = 10 3 В/(см∙Торр). Ионизационный коэффициент Таунсенда η для инертных газов в этом случае ≈ 10 –2 В –1 (см. [8], табл. 2.1), что дает увеличение фотоэмиссионного тока на три порядка. Поскольку зависимость η от E / p очень резкая, максимальный ток на анод получается при наибольшем напряжении U ≈ U b 0. Стенка при таком сценарии заряжается в основном в результате дрейфа на нее ионов из области вблизи анода. Очевидно, что приведенное объяснение является чисто качественным и лишь одним из возможных.
4. Заключение
В предыдущих работах авторов [3, 4] было обнаружено, что при достаточно медленном росте потенциала анода разрядной трубки (~10–100 В/с) напряжение пробоя U b в инертных газах может существенно возрасти, если прианодная область трубки освещается излучением видимого диапазона.
В качестве механизма этого эффекта предлагается вызванная освещением фотоэмиссия слабосвязанных электронов, адсорбированных на внутренней поверхности разрядной трубки. Эти электроны под действием электрического поля между стенкой и анодом создают ток, заряжающий стенку вблизи анода. Разность потенциалов между анодом и стенкой уменьшается, в результате чего для создания предпробойной волны ионизации и пробоя требуется более высокое анодное напряжение. В данной работе этот эффект изучается в тех же газах – Ne, Ar, Кr, Xe и смеси Ne-Ar.
Схема питания разряда позволяла измерять напряжение пробоя в условиях, когда стенка предварительно заряжена до определенного потенциала.
Проведенные исследования уточняют описанный выше механизм. Выяснено, что зарядка стенки трубки начинается не от момента начала роста анодного напряжения, а только когда оно приближается к напряжению пробоя, измеренному в отсутствие освещения (U b 0). При этом внутренняя поверхность стенки за время, не превышающее 0.1 с, приобретает потенциал 130–200 В. В результате в момент, когда потенциал анода становится равным U b 0, пробой освещаемой трубки не происходит. При дальнейшем росте напряжения разность потенциалов между анодом и стенкой сохраняется вплоть до достижения анодом потенциала пробоя, существенно превышающего U b 0. Вывод о том, что зарядка стенки трубки начинается только когда потенциал анода приближается к U b 0, подтверждается экспериментами с импульсным освещением трубки, а также наблюдением движения волны ионизации, инициируемой дополнительным импульсом, подаваемым на катод до пробоя при заданном анодном напряжении.
Об авторах
А. В. Мещанов
Санкт-Петербургский государственный университет
Автор, ответственный за переписку.
Email: y.ionikh@spbu.ru
Россия, Санкт-Петербург
Ю. З. Ионих
Санкт-Петербургский государственный университет
Email: y.ionikh@spbu.ru
Россия, St. Petersburg
Список литературы
- Ионих Ю.З. // Физика плазмы. 2020. Т. 46. С. 928.
- Meshchanov A.V., Shishpanov A.I, Bazhin P.S., Ionikh Y.Z. // Plasma Sources Sci. Technol. 2022. V. 31.114010.
- Мещанов А. В., Дьячков С. А., Ионих Ю. З. // Физика плазмы. 2023. Т. 49. С. 924.
- Meshchanov A.V., Shishpanov A.I., Ionikh Y.Z. // J. Phys. D: Appl. Phys. 2024. V. 57. 015204.
- Недоспасов А. В., Новик А. Е. // ЖТФ. 1960. Т. 30. С. 1329.
- Калинин С.А., Капитонова М.А., Матвеев Р.М. и др. // Физика плазмы. 2018. T. 44. C. 870.
- Мещанов А.В., Ионих Ю.З., Акишев Ю.С. // Физика плазмы. 2020. Т. 46. С. 1043
- Грановский В.Л. Электрический ток в газе. Установившейся ток. М.: Наука, 1971.
Дополнительные файлы














