Нульмерная модель СВЧ - разряда в воде при барботировании метана через разрядную зону
- Авторы: Лебедев Ю.А.1, Батукаев Т.С.1, Билера И.В.1, Татаринов А.В.1, Титов А.Ю.1, Эпштейн И.Л.1
-
Учреждения:
- Институт нефтехимического синтеза им. А.В. Топчиева РАН
- Выпуск: Том 50, № 8 (2024)
- Страницы: 946-958
- Раздел: НИЗКОТЕМПЕРАТУРНАЯ ПЛАЗМА
- URL: https://journal-vniispk.ru/0367-2921/article/view/280627
- DOI: https://doi.org/10.31857/S0367292124080108
- EDN: https://elibrary.ru/NZRWWM
- ID: 280627
Цитировать
Полный текст
Аннотация
В нульмерном приближении проведено моделирование СВЧ-разряда внутри пузырька с метаном в кипящей воде с учетом изменения размера плазменного пузыря. Также проведено моделирование процесса закалки продуктов реакций после отрыва пузыря от поверхности электрода. Рабочее давление – одна атмосфера. Показано, что основными продуктами являются H2, CO2 и CO. Отношение концентраций CO2 и CO зависит от отношения начальных потоков паров воды и метана. Рассчитанные концентрации основных продуктов разложения метана и воды хорошо согласуются с экспериментальными данными.
Ключевые слова
Полный текст
1. Введение
В последнее время растет интерес к получению водорода и водородсодержащих газов. Ожидается, что водородное топливо станет безопасным и доступным источником энергии для устойчивого развития с точки зрения загрязнения воздуха, энергетической безопасности и изменения климата.
В настоящее время ведутся обширные исследования по использованию водорода в качестве замены традиционных источников энергии. Водород удовлетворяет главному условию – экологичности и при этом обладает самой высокой теплотворной способностью по сравнению с другими видами топлива (тепло, выделяемое при сгорании водорода, составляет 142 кДж∙г–1 по сравнению с 47 кДж∙г–1 для бензина, 29.7 кДж∙г–1 для этанола, 15 кДж∙г–1 для древесины, 27 кДж∙г–1 для угля и 54 кДж∙г–1 для природного газа [1]).
Ответ на вопрос, сможет ли водород удовлетворить мировые потребности в качестве энергоносителя, не столь очевиден. Эта проблема подробно рассмотрена в [2] и обоснован вывод о том, что на начальном этапе развития водородной энергетики наиболее реальным способом преодоления сложных проблем транспортировки и хранения водорода является его рассредоточенное малотоннажное производство непосредственно в местах потребления.
Основными рассматриваемыми методами получения водорода из углеводородов (чаще всего используется метан) являются паровой риформинг, углекислотный риформинг, парциальное окисление и пиролиз [3–5]. При этом основным промышленным методом получения водорода является паровой риформинг в присутствии катализатора, но ведутся широкие исследования по поиску альтернативных путей получения водорода.
В последнее время большое внимание уделяется проблеме получения водорода с использованием низкотемпературной плазмы [6–23]. Для этого используются различные типы электрических разрядов. Это барьерные, высокочастотные, СВЧ, дуговые разряды в газовых средах, содержащих углеводороды или пары спирта.
Одним из новых типов разряда, изучаемых для решения различных прикладных задач и, в частности, для получения водорода, является СВЧ-разряд в жидких углеводородах и водных растворах спиртов [24–41]. Разряд является нестационарным, и плазмохимические процессы протекают в газовом пузыре, расположенном внутри жидкости на конце СВЧ-антенны. По истечении определенного времени, необходимого для увеличения размеров пузыря до значений, которое обеспечивает равенство нулю результирующих сил гравитации, поверхностного натяжения и возникающей разности давлений, пузырь отрывается от антенны, и плазма в нем исчезает. При этом за счет испарения жидкости в объем пузыря происходит естественная закалка продуктов реакций.
В настоящей работе представлена нестационарная нульмерная модель процессов в СВЧ-разряд в воде при атмосферном давлении при барботировании метана через область разряда с учетом закалки продуктов после прекращения разряда. Результаты моделирования сопоставлены с результатами экспериментов. Эксперименты проводились на установке, предназначенной для получения и исследования СВЧ-разряда в жидкостях при атмосферном давлении и подробно описанной в [40, 41]. В качестве жидкости использовалась вода, измерения проводились при падающей СВЧ-мощности 600 Вт и расходах метана 25–75 мл/мин.
Заметим, что известны результаты экспериментов по проведению парового риформинга метана в СВЧ-разряде в воде при давлении около 10 кПа [42–44].
2. Постановка задачи
Разряд представляет собой последовательность растущих на торце электрода-антенны пузырей, которые, достигнув определенного размера, отрываются от электрода, всплывают и схлопываются на поверхности воды. После отрыва от электрода разряд в пузыре прекращается, газовая температура внутри пузыря резко падает до температуры кипения воды и пузырь с продуктами, образовавшимися в результате плазмохимических процессов и последующей закалки, поднимается вверх (рис. 1, 2).
Рис. 1. Схема образования плазменных пузырей в воде. Стрелками внутри центральной трубки-антенны показана подача метана. Стрелки вне трубки-антенны – СВЧ-волны. На торце центрального электрода-антенны расположен пузырь с плазмой. Всплывающие пузыри находятся вне зоны разряда, они содержат продукты химических реакций, происходящих в процессе закалки.
Рис. 2. Эволюция пузыря в нульмерной модели: 1 – пузырь в начальный момент, 2 – пузырь в момент отрыва, 3 – всплытие пузыря.
В работе описана нестационарная нульмерная модель при условии постоянства давления, равного 1 атмосфере. Через внешние стенки пузыря задается поток паров испаряющейся воды, а также вводится газ метан. Поток вводимого пара соответствует испарению кипящей воды внутрь пузыря (рис. 2).
Модель включает в себя уравнения неразрывности для всех нейтральных и заряженных компонент плазмы вида
(1)
Здесь – мольные концентрации компонент, моль/м3; a = 1 при и b = 1 при соответственно, в остальных случаях: a = b = 0. Vr – текущий объем пузыря, м3; Ri – суммарная скорость реакции i-й компоненты, моль⋅м–3∙с–1; – объемная скорость поступления метана в плазменный пузырь, м3/с, – объемная скорость поступления испаряемого водяного пара в плазменный пузырь в момент времени t, – константа, величина которой примерно равна потоку водяного пара внутрь пузыря при обычном кипении на ранней стадии [45], м3/с. Ее значение в расчетах являлось варьируемым параметром. Т – текущая газовая температура внутри пузыря, Т0 = 373 К – температура кипения воды. Константы скоростей реакций электронных процессов рассчитывались как функции значений приведенного поля Emw/N с помощью программы BOLSIG+ [46]. Здесь Еmw – некоторое однородное по пространству пузыря поле внутри плазмы, В⋅м–1, N – концентрация тяжелых частиц, м–3. Ссылки на используемые сечения взаимодействия электронов с нейтральными частицами приведены в табл. 1 [47–56].
Таблица 1. Схема плазмохимических процессов для заряженных частиц, дополненная реакциями для O 1 (D), С, С 2 в смеси паров воды и метана.
№ | Реакции | Константы скоростей реакций м 3(n –1) моль –1 ∙с –1, n – порядок реакции. Энергия активации – Дж/моль. T (К), T e (эВ) | Лит-ра |
№ | Реакции | Константы скоростей реакций м 3(n –1) моль –1 ∙с –1, n – порядок реакции. Энергия активации – Дж/моль. T (К), T e (эВ) | Лит-ра |
Диссоциация электронным ударом | |||
1 | CH 4 + e → CH 3 + H + e | k (E/N) | [ 47, 48 ] |
2 | CH 4 + e → CH 2 + H 2 + e | k (E/N) | [ 47, 48 ] |
3 | CH 4 + e → CH + H 2 + H + e | k (E/N) | [ 47, 48 ] |
4 | C 2 H 2 + e → C 2 H + H + e | k (E/N) | [ 49, 5 0 ] |
5 | C 2 H 4 + e → C 2 H 3 + H + e | k (E/N) | |
6 | C 2 H 4 + e → C 2 H 2 + H 2 + e | k (E/N) | [ 49, 5 0 ] |
7 | C 2 H 6 + e → C 2 H 5 + H + e | k (E/N) | [ 49, 5 0 ] |
8 | C 2 H 6 + e → C 2 H 2 + 2H 2 + e | k (E/N) | [ 49, 5 0 ] |
9 | C 2 H 6 + e → C 2 H 2 + H 2 + e | k (E/N) | [ 49, 5 0 ] |
10 | e + H 2 O → H + OH + e | k(E/N) | [51] |
Ионизация прямым электронным ударом | |||
11 | k (E/N) | [ 47] | |
12 | k (E/N) | [ 49] | |
13 | k (E/N) | [ 49] | |
14 | k (E/N) | [ 49] | |
15 | CO + e → co + + 2 e | k (E/N) | [4 7] |
16 | k (E/N) | [4 7] | |
17 | k (E/N) | [4 7] | |
18 | H 2 O + e → H 2 O + + 2 e | k (E/N) | [5 1] |
Реакции возбуждения | |||
19 | e + O → e + O 1 (D) | k (E/N) | [ 49] |
Прилипание | |||
20 | e + H 2 O → H – + OH | k (E/N) | [5 1] |
21 | e + H 2 O → O - + H 2 | k (E/N) | [5 1] |
22 | e + H 2 O → OH – + H | k (E/N) | [5 1] |
23 | e + CO 2 → CO + O – | k (E/N) | [4 7] |
24 | e + CO → C + O – | k (E/N) | [4 7] |
25 | e + O 2 → O - + O | [ 52] | |
Отлипание | |||
26 | e + OH – → OH + 2 e | k (E/N) | [5 3] |
27 | e + H – → H + 2 e | [54] | |
28 | e + O – → O + 2 e | [54] | |
29 | O – + O → O 2 + e | [55] | |
30 | H – + O 2 → H O 2 + e | [55] | |
№ | Реакции | Константы скоростей реакций м 3(n –1) моль –1 ∙с –1, n – порядок реакции. Энергия активации – Дж/моль. T (К), T e (эВ) | Лит-ра |
31 | OH – + H → H 2 O + e | [55] | |
32 | O – + H 2 → H 2 O + e | [55] | |
33 | OH – + H O 2 → H 2 O + O 2 + e | [55] | |
34 | O - + CO → CO 2 + e | [55] | |
Ион-молекулярные реакции | |||
35 | H 2 O + H 2 O + → OH + H 3 O + | [55] | |
36 | H 2 + H 2 O + → H + H 3 O + | [55] | |
37 | H – + H 2 O → OH – + H 2 | [55] | |
38 | [55] | ||
39 | [55] | ||
40 | [55] | ||
41 | [55] | ||
Реакции с участием С, С 2 и O 1 (D) | |||
42 | C 2 H + O H ↔ C 2 + H 2 O | [56] | |
43 | C 2 + H 2 ↔ C 2 H + H | [56] | |
44 | C 2 + O ↔ C + CO | [56] | |
45 | C 2 + O 2 → 2CO | [56] | |
46 | C 2 + OH ↔ C 2 O + H | [56] | |
47 | H 2 O + C ↔ CH + OH | [56] | |
48 | CH + CH ↔ C 2 + H 2 | [56] | |
49 | CH 2 + M ↔ C + H 2 + M | [56] | |
50 | CH + O ↔ C + OH | [56] | |
51 | C + C + M ↔ C 2 + M | [56] | |
52 | C + CH ↔ C 2 + H | [56] | |
53 | O 1 (D) + CO → CO 2 | [55] | |
54 | O 1 (D) + CH 4 → CO 3 + OH | [55] | |
55 | O 1 (D) + H 2 O → 2 OH | [55] | |
Ион-ионная рекомбинация | |||
56 | O – + H 2 O + → O + H 2 O | [55] | |
№ | Реакции | Константы скоростей реакций м 3(n –1) моль –1 ∙с –1, n – порядок реакции. Энергия активации – Дж/моль. T (К), T e (эВ) | Лит-ра |
57 | OH – + H 2 O + → OH + H 2 O | [55] | |
58 | H – + H 2 O + → H + H 2 O | [55] | |
59 | [55] | ||
60 | [55] | ||
61 | [55] | ||
Электрон-ионная рекомбинация | |||
62 | [55] | ||
63 | [55] | ||
64 | [55] | ||
65 | [55] | ||
66 | e + С O + → C + O | [55] | |
67 | [55] | ||
68 | [55] | ||
69 | e + H 3 O + → H + H 2 O | [55] | |
70 | [55] | ||
71 | [5 1] | ||
72 | [51] | ||
Расширение пузыря с плазмой при условии постоянного давления происходит за счет следующих процессов: 1) изменения суммарного числа частиц за счет химических процессов, 2) постоянного потока метана через подводящую трубку, 3) испарения окружающей воды внутрь пузыря с плазмой, 4) изменение температуры плазмы за счет химических реакций и омического нагрева:
(2)
где , – скорость тех реакций, в которых происходит изменение числа частиц, моль м–3∙с–1, p – давление, Па.
Для вычисления температуры использовалось уравнение теплопроводности, записанное в виде
(3)
Здесь – теплоемкость при постоянном давлении i-й компоненты, Дж⋅моль–1⋅К–1; Pin – мощность, поглощенная разрядом от СВЧ источника (f = 2.45 ГГц), являющаяся заданным параметром, которая по оценке из данных экспериментов составляет 200–300 Вт; – доля СВЧ энергии, идущая в разогрев газа; – мощность, затрачиваемая на испарение поступающего пара в пузырь, , где L – удельная теплота парообразования воды, Дж/кг; – плотность водяного пара при температуре кипения, кг/м3; – тепловые эффекты реакций, Вт/м3; – коэффициент теплопроводности водорода, Вт⋅м–1⋅К–1; , – энтальпии метана и воды, поступающих в пузырь, Дж/моль; , – энтальпии метана и воды при температуре Т. Для простоты считалось, что коэффициенты теплопроводности всех компонент газовой смеси одинаковы и равны коэффициенту теплопроводности для молекулярного водорода. Такое допущение соответствует максимальному отводу тепла.
Удельная мощность P = Pin/Vr связана с электронной проводимостью σ (Ом–1⋅м–1) следующим выражением:
(4)
Отсюда определяется СВЧ-поле в плазме .
Проводимость плазмы [57]
(5)
определяется электронной плотностью ne = ceNA , м–3, с нормировкой , м–3, и частотой столкновений электронов с тяжелыми нейтральными частицами плазмы, с–1. Здесь me и e масса и заряд электрона, NA – число Авогадро, моль–1.
Для описания термических процессов используется набор реакций GRI-Mech Version 3.0 [58], дополненный реакциями для С, С2 и для заряженных частиц (табл. 1). Список нейтральных компонент, учитываемый при моделировании процессов в плазме следующий O, O1(D), O2, H, OH, H2, HO2, H2O2, CH, CO, CH2, HCO, CH3, CH2O, CH4, CO2, CH2OH, CH3O, CH3OH, C2H, C2H2, HCCO, C2H3, CH2CO, C2H4, C2H5, C2H6, H2O, C, HCCOH, CH2CHO, CH3CHO, C3H8, C3H7, C2, C2O.
Список учитываемых заряженных частиц: H2O+, H3O+, , CO+, , , , , , , , e, H–, O–, OH–.
3. Процедура расчета
Заданными параметрами расчета являлись поглощенная мощность Р, начальный объем пузыря V0, начальная температура Т0, значение объемной скорости поступления метана , начальная объемная скорость поступления испаряемого водяного пара . Скорость поступления метана бралась из эксперимента, варьировалась в интервале (0.5–5) .
Оценка времени роста пузыря до момента его отрыва от поверхности антенны из результатов экспериментов дает значение порядка 10–3 с. При моделировании процессов после отрыва пузыря от антенны считалось, что СВЧ-поле внутри пузыря становится равным нулю и, следовательно, процессы при электронном ударе (диссоциации, ионизации) не происходят. Поступление метана в пузырь прекращается. За счет интенсивного испарения воды происходит быстрое снижение газовой температуры, что соответствует интенсивному процессу закалки.
Расчет проводился до времени 0.1 с, что примерно соответствует времени всплытия пузырька на поверхность.
Моделирование проводилось при помощи программы Comsol 3.5a [59], использующей метод конечных элементов.
4. Результаты расчетов
Для проведения расчетов необходимо задать поток водяного пара, поступающего в пузырь за счет испарения. Проанализируем влияние величины на полученные в расчете величины. Рассмотрим три значения величины M = 5, 3, 0.5. На рис. 3 показаны рассчитанные значения газовой температуры для этих случаев.
Рис. 3. Зависимость газовой температуры в пузыре от времени для разных значений величины М при значении Р = 200 Вт, F CH 4 = 50 мл/мин: 1 – M = 0.5; 2 – M = 3, 3 – M = 5.
Нагрев газа осуществлялся в основном за счет омического нагрева электронной компоненты. Суммарный тепловой эффект за счет всех химических процессов приводит к падению температуры.
На ранних временах порядка 10–7–10–5 с рост диаметра пузыря связан с ростом газовой температуры. На временах, превышающих 10–4 с, рост пузыря осуществляется в основном за счет потока испаряющейся воды, и поэтому при больших М диаметр пузыря больше (рис. 4). Величина приведенного поля зависит как от СВЧ поля, так и от температуры. На участке от 10–8 до 10–7 с изменение величины приведенного поля связано только с изменением концентрации электронов, так как газовая температура на этих временах постоянна. На этих временах концентрация электронов падает с ростом потока водяного пара, так как с ростом водяного пара увеличивается гибель электронов за счет процесса прилипания. На временах 10–5–10–4 с приведенное поле увеличивается в связи с резким ростом газовой температуры, величина приведенного поля больше для меньшего значения потока водяного пара, так как для этого случая газовая температура больше (рис. 5).
Рис. 4. Эволюция размера плазменного пузыря: 1 – M = 0.5; 2 – M = 3, 3 – M = 5. Р = 200 Вт, F CH 4 = 50 мл/мин.
Рис. 5. Эволюция среднего приведенного поля: 1 – M = 0.5; 2 – M = 3, 3 – M = 5. Р = 200 Вт, F CH 4 = 50 мл/мин.
На рис. 6 показаны временные зависимости концентраций заряженных компонент для начального отношения потоков М = 3.
Рис. 6. Концентрации основных заряженных частиц до отрыва пузыря от антенны: 1 – электроны; 2 – сумма концентраций отрицательных ионов, 3 – сумма концентраций положительных ионов. М = 3, Р = = 200 Вт, F CH 4 = 50 мл/мин.
Для всех рассчитанных нами случаев при временах более 10–5 с концентрация электронов больше суммарной концентрации отрицательных ионов. На меньших временах – наоборот. Основными отрицательно заряженными частицами являются ионы ОН– и О– (рис. 6).
Концентрация электронов меняется в диапазоне 1013–1014 см–3. Основным положительным ионом является ион Н3О+. При уменьшении потока водяного пара на временах 10–6–10–4 с существенными становятся углеводородные ионы ( , , ).
На рис. 7 показаны временные зависимости концентраций основных компонент для разных значений М. Основными полученными компонентами являются молекулярный водород, окись углерода и диоксид углерода.
Рис. 7. Концентрации основных нейтральных частиц до отрыва пузыря от антенны для разных величин М : M = 0.5 (а); M = 3 (b), M = 5 (c); 1 – Н 2 О, 2 – СН 4, 3 – Н 2, 4 – СО 2, 5 – СО. Р = 200 Вт, F CH 4 = 50 мл/мин.
Первоначальными процессами разложения водяного пара для всех значений величины М являются диссоциация электронным ударом
(6)
и ион-молекулярная реакция
(7)
приводящие к образованию радикала ОН и атома Н. Основное разложение водяного пара проходит на временах 10–5–10–4 с (рис. 7) в реакциях
(8)
(9)
С ростом пузыря основное влияние на концентрацию водяного пара в пузыре оказывает испарение воды, так как количество поступающего в пузырь водяного пара растет с ростом температуры (рис. 7).
Основные процессы гибели метана – это реакции
(10)
(11)
Во всех случаях характерное время этих процессов порядка 10–4 с. Поэтому в пузыре во время его отрыва метана уже нет.
Наработка водорода проходит в несколько этапов по времени. На ранней стадии 10–10–10–6 с водород образуется за счет процессов прилипания
(12)
(13)
На более поздних стадиях включаются химические реакции с участием молекул и радикалов. На стадии 10–6–10–5 с основной вклад в образование Н2 дает реакция (10). При отношении входных потоков водяного пара и метана М = 3 и М = 5 доля водорода убывает на поздних стадиях вплоть до момента отрыва пузыря. Особенно это заметно при соотношении М = 5. Такое уменьшение водорода объясняется увеличением потока водяного пара внутрь пузыря за счет роста его температуры. Таким образом доля водорода уменьшается за счет увеличения доли водяного пара. Небольшой рост концентрации водорода при М = 0.5 на временах, превышающих 10–4 с, объясняется большим влиянием процесса
(14)
Влияние этого процесса сказывается при малом значении величины М, так как в этом случае увеличивается доля атома Н, а доля водяного пара уменьшается.
Из рис. 7 видно, что соотношение выхода диоксида углерода и окиси углерода зависит от отношения потоков водяного пара и метана М. С увеличением величины М выход СО2 увеличивается, а выход СО уменьшается.
Основные пути конверсии метана и воды в окись углерода показаны на рис. 8.
Рис. 8. Схема образования СО из метана и паров воды.
Диссоциация метана и водяного пара при электронном ударе приводит к образованию в начальный момент атома Н и радикалов СН3 и ОН. В дальнейшем возможны два пути образования окиси углерода. Первый путь – образование метанола при рекомбинации СН3 и ОН. Метанол переходит в радикалы состава СН3О (СН3О· и ·СН2ОН) и формальдегид. Потом образующийся формальдегид конвертируется в СО через СНО. Второй путь – образование радикала НССО в реакции ацетилена и атома О и последующего процесса
(15)
где СН2(S) – синглетное состояние радикала СН2.
Первый путь преобладает для больших значений М, а второй для маленьких М (рис. 9).
Рис. 9. Скорость основных процессов образования и гибели CO: M = 0.5 (a); 1 – НCO + Н 2 О = H + Н 2 + + СО; 2 – Н + НCCО = CН 2 + СО; 3 – CO + ОH = = CO 2 + H; 4 – O 1 (D) + CО → CO 2 ; M = 5 (б); 1 – НCO + Н 2 О = H + Н 2 + СО; 2 – Н + НCО = Н 2 + + СО; 3 – CO + ОH = CO 2 + H; 4 – O – + CО → CO 2 + + e ; Р = 200 Вт.
Диоксид углерода образуется из окиси углерода в реакциях
(16)
(17)
Во всех случаях образование CO2 связано с гибелью СО. Основным процессом образования СO2 в случае больших потоков водяного пара (рис. 7б, 8) является реакция (16). Отметим, что реакция (16) идет в сторону образования СО для не слишком больших температур. Поэтому для М = 5 и 3 для времен больше 10–5 с и газовой температуры больше 2000 К реакция (16) идет в обратную сторону и приводит к гибели CO2. Для случая М = 0.5 скорость реакции (16) очень мала. Это связано с тем, что количество гидроксильного радикала ОН мало (Основной канал образования ОН – диссоциация водяного пара под действием электронного удара). В случае М = 0.5 образование СО2 происходит в процессе (17), скорость которого мала по сравнению со скоростью процесса (16) в случаях М = 3 и М = 5 (рис. 10). Поэтому в этом случае концентрация СО2 мала по сравнению с концентрацией СО.
Рис. 10. Суммарная скорость образования и распада CO 2 : 1 – M = 0.5; 2 – M = 3, 3 – M = 5. Р = 200 Вт, F CH 4 = 50 мл/мин.
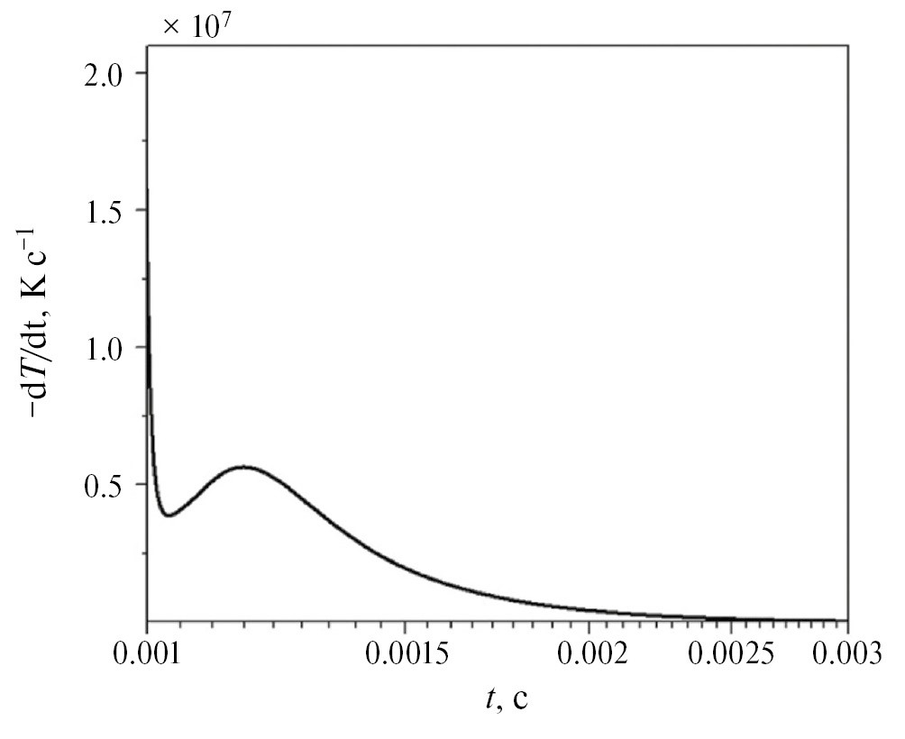
После отрыва пузыря от поверхности СВЧ электрода (t ≥ 10–3 с) омический нагрев газа резко прекращается и за счет испарения жидкости в объем пузыря происходит естественная закалка продуктов реакций. Получены скорости закалки (–dT/dt) порядка 107 К/с для всех М (рис. 11. Это значение соответствует одному из наибольших значений известных способов закалки [60]. Заметим, что закалка изменяет отношение CO2/CO.
Рис. 11. Скорость закалки в зависимости от времени; M = 3; Р = 200 Вт, F CH 4 = 50 мл/мин.
Временные зависимости концентраций основных продуктов в процессе закалки приводятся на рис. 7. Видно, что в процессе закалки в случае M = 3 и 5 меняется соотношение концентраций CO2 и CO (рис. 7б), концентрация CO2 становится больше концентрации СО. Во всех трех случаях образование СО2 происходит в основном за счет реакции (16) и частично в реакции
(18)
Суммарная скорость образования диоксида углерода на временах, превышающих 10–7 с совпадает с суммой скоростей реакций (16), (18). Изменение концентрации окиси углерода также обусловлено только этими реакциями. Таким образом в процессе закалки во всех случаях происходит переход СО в СО2. Но в случае М = 0.5 концентрация окиси углерода остается больше концентрации диоксида углерода, так как в пузыре газа в начальный момент его отрыва отношение концентрации СО к концентрации СО2 намного больше, чем в остальных случаях (рис. 7а).
После отрыва пузыря от поверхности электрода происходит резкое снижение температуры газовой смеси. Атомарный водород рекомбинирует
(19)
а молекулярный водород гибнет, взаимодействуя с радикалами O и ОН
(20)
(21)
При отношении входных потоков метана и водяного пара М = 0.5 процесс рождения (19) преобладает. Доля водорода растет. При отношении входных потоков метана и водяного пара М = 3 и М = 5 процесс гибели водорода (20) преобладает над рождением (19), и доля водорода уменьшается.
Для проверки справедливости модели были проведены первые эксперименты на установке [40, 41]. Эксперименты проводились для падающей мощности 600 Вт, 70% из которых расходуется на нагрев воды.
Поскольку в экспериментах на выходе реактора использовался холодильник для удаления паров воды, то для сравнения расчетных значений с результатами хроматографического анализа продуктов плазменного разложения смеси метана и паров воды, мольные доли получившихся продуктов пересчитывались без учета воды согласно формуле
На рис. 12 показано сопоставление расчетных и экспериментальных значений мольных долей основных продуктов разложения метана и водяного пара в зависимости от потока метана. Отметим неплохое согласие расчетных и экспериментальных значений. Мольная доля водорода составляет около 80% и слабо зависит от потока метана. Видно, что при увеличении потока метана отношение CO2/CO уменьшается. Это подтверждает сделанный выше вывод, что соотношение выхода диоксида углерода к выходу окиси углерода уменьшается с уменьшением величины М.
Рис. 12. Продукты разложения метана и водяного пара в зависимости от потока метана. 1, 2, 3 – мольные доли Н 2, СО и СО 2 соответственно, эксперимент; 1 ′, 2 ′, 3 ′ – мольные доли Н 2, СО и СО 2, расчет ( мл/мин, Р = 200 Вт).
Представленная модель процессов в СВЧ-разряде в воде с барботированием метана позволяет оценить такую важную характеристику процесса получения водорода, как его энергетическую эффективность при известной поглощенной плазмой мощности. Расчет дает размер газового пузыря с момент его отрыва от антенны, время которого определяется 10–3 с, а также содержание водорода в нем. Использование этих данных дает величину энергетической эффективности 51 л/кВт∙ч при расчете по поглощенной мощности и 18 л/кВт∙ч при расчете по падающей мощности. Значение энергетической эффективности, рассчитанной по падающей мощности, в экспериментах (рис. 12) было 23.5 л/кВт∙ч. Видно хорошее согласие рассчитанного и определенного экспериментально значений энергетической эффективности. Это подтверждает эффективность разработанной модели.
5. Выводы
Разработана нульмерная нестационарная модель СВЧ-разряда метана в воде с учетом изменения размера плазменного пузыря. Модель также включает закалку продуктов реакций за счет испарения жидкости в объем пузыря после его отрыва от поверхности электрода. Получены концентрации основных продуктов разложения в разряде метана в зависимости от отношения потоков метана и паров воды, испаряемых в пузырь. Проведено сравнение полученных результатов с результатами экспериментальной работы. Показано, что основными продуктами являются H2 (до 80 об. %), CO2 и CO. Отношение концентраций CO2 и CO зависит от отношения начальных потоков паров воды и метана. При увеличении начального отношения H2O/CH4 отношение CO2/CO растет. Основными ионами являются отрицательные ионы ОН– и О–, и положительные ионы Н3O+.
Работа выполнена в рамках Государственного задания ИНХС РАН.
Об авторах
Ю. А. Лебедев
Институт нефтехимического синтеза им. А.В. Топчиева РАН
Автор, ответственный за переписку.
Email: lebedev@ips.ac.ru
Россия, Москва
Т. С. Батукаев
Институт нефтехимического синтеза им. А.В. Топчиева РАН
Email: lebedev@ips.ac.ru
Россия, Москва
И. В. Билера
Институт нефтехимического синтеза им. А.В. Топчиева РАН
Email: lebedev@ips.ac.ru
Россия, Москва
А. В. Татаринов
Институт нефтехимического синтеза им. А.В. Топчиева РАН
Email: lebedev@ips.ac.ru
Россия, Москва
А. Ю. Титов
Институт нефтехимического синтеза им. А.В. Топчиева РАН
Email: lebedev@ips.ac.ru
Россия, Москва
И. Л. Эпштейн
Институт нефтехимического синтеза им. А.В. Топчиева РАН
Email: lebedev@ips.ac.ru
Россия, Москва
Список литературы
- Arutyunov V.S. // Combust. Plasma Chem. 2021. V. 19. P. 245.
- Holladay J.D., Hu J., King D.L., Wang Y. // Catal. Today. 2009. V. 139. P. 244.
- Abbas H.F., Daud W.M.A.W. // Int. J. Hydrogen Energy. 2010. V. 35. P. 1160. https://doi.org/10.1016/ j.ijhydene.2009.11.036
- Dincer I., Acar C. // Int. J. Hydrogen Energy. 2015. V. 40. P. 11094. https://doi.org/10.1016/ j.ijhydene.2014.12.035
- Nikolaidis P., Poullikkas A. // Renew. and Sustain. Energy Rev. 2017. V. 67. P. 597. https://doi.org/10.1016/j.rser.2016.09.044
- Slovetskii D. I. // High Energy Chem. 2006. V. 40. P. 86. https://doi.org/10.1134/S0018143906020044
- Burlica R., Shih K. Y., Hnatiuc B., Locke B. R. // Indust. Engin. Chem. Res. 2011. V. 50. P. 9466. https://doi.org/10.1021/ie101920n
- Mizeraczyk J., Urashima K., Jasiński M., Dors M. // Int. J. Plasma Environ. Sci. Technol. 2014. V. 8. P. 89.
- Mizeraczyk J., Jasiński M. // The European Phys. J. Appl. Phys. 2016. V. 75. P. 24702. https://doi.org/10.1051/epjap/2016150561
- Nedybaliuk O.A., Chernyak V.Y., Fedirchyk I.I., Demchina V.P., Bortyshevsky V.A., Korzh R.V. // Quest. Atomic Sci. Technol. 2016. V. 6. P. 276.
- Lian H.Y., Liu J.L., Li X.S., Zhu X., Weber A.Z., Zhu A.M. // Chem. Engineer. J. 2019. V. 369. P. 245. https://doi.org/10.1016/j.cej.2019.03.069
- Wang B., Lü Y., Zhang X., Hu S. // J. Natural Gas Chem. 2011. V. 20. P. 151. https://doi.org/10.1016/S1003-9953(10)60160-0
- Henriques J., Bundaleska N., Tatarova E., Dias F.M., Ferreira C.M. // Int. J. Hydrogen Energy. 2011. V. 36. P. 345. https://doi.org/10.1016/j.ijhydene.2010.09.101
- Bundaleska N., Tsyganov D., Saavedra R., Tatarova E., Dias F.M., Ferreira C.M. // Int. J. Hydrogen Energy. 2013. V. 38. P 9145. https://doi.org/10.1016/j.ijhydene.2013.05.016
- Wang Y.F., You Y.S., Tsai C.H., Wang L. C. // Int. J. Hydrogen Energy. 2010. V. 35. P. 9637. https://doi.org/10.1016/j.ijhydene.2010.06.104
- Hrycak B., Czylkowski D., Miotk R., Dors M., Jasinski M., Mizeraczyk J. // Open Chem. 2015. V. 13. P. 317. https://doi.org/10.1515/chem-2015-0039
- Miotk R., Hrycak B., Czylkowski D., Dors M., Jasinski M., Mizeraczyk J. // Plasma Sources Sci. Technol. 2016. V. 25. P. 035022. https://doi.org/10.1088/0963-0252/25/3/035022
- Bardos L., Baránková H., Bardos A. // Plasma Chem. Plasma Process. 2017. V. 37. P. 115. https://doi.org/10.1007/s11090-016-9766-6
- Yan J., Du C. Hydrogen Generation from Ethanol Using Plasma Reforming Technology. Hangzhou: Springer, Zhejiang University Press, 2017.
- Bundaleska N., Tsyganov D., Tatarova E., Dias F.M., Ferreira C.M. // Int. J. Hydrogen Energy. 2014. V. 39. P. 5663. https://doi.org/10.1016/j.ijhydene.2014.01.194
- Levko D.S., Tsymbalyuk A.N., Shchedrin A.I. // Plasma Phys. Rep. 2012. V. 38. P. 913. https://doi.org/10.1134/S1063780X1210008X
- Shchedrin A.I., Levko D.S., Chernyak V.Y., Yukhimenko V.V., Naumov V.V. // JETP Lett. 2008. V. 88. P. 99. https://doi.org/10.1134/S0021364008140063
- Wang W., Zhu C., Cao Y. // Int. J. Hydrogen Energy. 2010. V. 35. P. 1951. https://doi.org/10.1016/j.ijhydene.2009.12.170
- Adamovich I., Agarwal S., Ahedo E., Alves L.L., Baalrud S., Babaeva N., Bogaerts A., Bourdon A., Bruggeman P.J., Canal C., Choi E.H., Coulombe S., Zoltan Donkó Z., Graves D.B., Hamaguchi S., Hegemann D., Hori M., Kim H.-H., Kroesen G.M.W., Kushner M.J., Laricchiuta A., Li X., Magin T.E., Mededovic Thagard S., Miller V., Murphy A.B., Oehrlein G.S., Puac N., Sankaran R.M., Samukawa S., Shiratani M., Šimek M., Tarasenko N., Terashima K., Thomas Jr.E., Trieschmann J., Tsik ata S., Turner M.M., Van Der Walt I.J., Van De Sanden M.C.M, von Woedtke T. // J. Phys. D: Appl. Phys. 2022. V. 55. P. 373001. https://doi.org/10.1088/1361-6463/ac5e1c
- Malik M.A., Ghaffar A., Malik S.A. // Plasma Sources Sci. Technol. 2001. V. 10. P. 82. https://doi.org/10.1088/0963-0252/10/1/311
- Foster J.E. // Phys. Plasmas. 2017. V. 24. P. 055501. https://doi.org/10.1063/1.4977921
- Rezaei F., Vanraes P., Nikiforov A., Morent R., Geyter N. // Materials. 2019. V. 12. P. 2751. https://doi.org/10.3390/ma12172751
- Locke B.R. // Int. J. Plasma Environ. Sci. Technol. 2012. V. 6. P. 194.
- Rybkin V.V., Shutov D.A. // Plasma Phys. Rep. 2017. V. 43. P. 1089.
- Vanraes P., Bogaerts A. // Appl. Phys. Rev. 2018. V. 5. P. 031103. https://doi.org/10.1063/1.5020511
- Lebedev Yu.A. // Plasma Phys. Rep. 2017. V. 43. P. 676. https://doi.org/10.1134/S1063780X17060101
- Horikoshi S., Serpone N. // RSC Adv. 2017. V. 7. P. 47196.
- Lebedev Yu.A. // High Temp. 2018. V. 56. P. 811. https://doi.org/10.1134/ S0018151X18050280
- Lebedev Yu.A. // Polymers. 2021. V. 13. P. 1678. https://doi.org/10.3390/polym13111678
- Nomura S., Toyota H., Mukasa S., Yamashita H., Maehara T., Kawashima A. J. // J. Appl. Phys. 2009. V. 106. P. 073306. https://doi.org/10.1063/1.3236575
- Nomura S., Toyota H., Tawara M., Yamashota H. // Appl. Phys. Lett. 2006. V. 88. P. 231502. https://doi.org/10.1063/1.2210448
- Liu J.L., Zhu T.H., Sun B. // Int. J. Hydrogen Energy. 2022. V. 47. P. 12841.https://doi.org/10.1016/j.ijhydene.2022.02.041
- Sun B., Zhao X., Xin Y., Zhu X. // Int. J. Hydrogen Energy. 2017. V. 42. P. 24047. https://doi.org/10.1016/j.ijhydene.2017.08.052
- Lebedev Yu.A., Tatarinov A.V., Epshtein I.L., Titov A.Y. // High Energy Chem. 2022. V. 56. P. 448. https://doi.org/10.1134/S001814392206011X
- Batukaev Т.S., Bilera I.V., Krashevskaya G.V., Lebedev Yu.A., Epstein I.L. // Plasma Proc. Polym. 2023. V. 20. P. e2300015. https://doi.org/10.1002/ppap.202300015
- B atukaev Т.S., Bilera I.V., Krashevskaya G.V., Lebedev Yu.A. // Processes. 2023. V. 11. P. 2292. https://doi.org/10.3390/pr11082292
- Wang Q., Wang J., Zhu T., Zhu X., B. Sun B. // Int. J. Hydrogen Energy. 2021. V. 46. P. 34105.
- Wang Q., Wang J., Sun J., Sun S., Zhu X., Sun B. // Chemical Engineer. J. 2023. V. 465. P. 142872.
- Wang Q., Sun S., Yang Y., Zhu X., Sun B. // Energy. 2024. V. 289. P. 130023.
- Сердюков В.С. Экспериментальное исследование микрохарактеристик и теплообмена при кипении жидкостей в условиях различных давлений: Дис. … канд. физ.-матем. наук. Новосибирск, 2020.
- Hagelaar G., Pitchford L. // Plasma Sources Sci. Technol. 2005. V. 14. P. 722.
- Triniti Database. www.lxcat.net. Retrieved on May, 2024.
- Janev R.K., Reiter D. // Phys. Plasmas. 2002. V. 9. P. 4071.
- Morgan Database. www.lxcat.net. Retrieved on May, 30, 2024.
- Janev R.K., Reiter D. // Phys. Plasmas. 2004. V. 11. P. 780.
- Avtaeva S., General A., Kel’man V. // J. Phys. D: Applied Phys. 2010. V. 43. P. 315201.
- Aoki H., Kitano K., Hamaguchi S. // Plasma Sources Sci. Technol. 2008. V. 17. P. 025006.
- Pancheshnyi S., Biagi S., Bordage M., Hagelaar G., Morgan W., Phelps A., Pitchford L. // Chem. Phys. 2012. V. 398. P. 148.
- Rehman F., Lozano-Parada J.H., Zimmerman W.B. // Int. J. Hydrogen Energy. 2012. V. 37. P. 17678.
- Wang W., Snoeckx R., Zhang X., Cha M., Bog aerts A.J. // Phys. Chem. C. 2018. V. 122. P. 8704
- Tsyganov D., Bundaleska N., Tatarova E., Dias A., Henriques J., Rego A., Ferraria A., Abrashev M.V., Dias F.M.M., Luhrs C.C., Phillips J. // Plasma Sources Sci. Technol. 2016. V.2 5. P. 015013.
- Райзер Ю.П. Физика газового разряда, М.: Наука, 1992.
- GRI-Mech 3.0 http://combustion.berkeley.edu/gri-mech/
- COMSOL Multiphysics. https://comsol.com/chemicalreactionengineering
- Пархоменко В.Д., Полак Л.С., Сорока П.И., Цыбулев П.Н., Мельников Б.И., Гуськов А.Ф. Процессы и аппараты плазмохимической технологии. Киев: Вища школа, 1979.
Дополнительные файлы















