Двумерное волновое движение в вязкой однородной жидкости
- Авторы: Очиров А.А.1,2
-
Учреждения:
- Федеральное государственное бюджетное учреждение науки “Институт проблем механики имени А.Ю. Ишлинского Российской академии наук”
- Федеральное государственное бюджетное образовательное учреждение высшего образования “Ярославский государственный университет имени П.Г. Демидова”
- Выпуск: Том 87, № 1 (2023)
- Страницы: 94-98
- Раздел: Статьи
- URL: https://journal-vniispk.ru/0367-6765/article/view/135254
- DOI: https://doi.org/10.31857/S036767652270017X
- EDN: https://elibrary.ru/JTPIDR
- ID: 135254
Цитировать
Полный текст
Аннотация
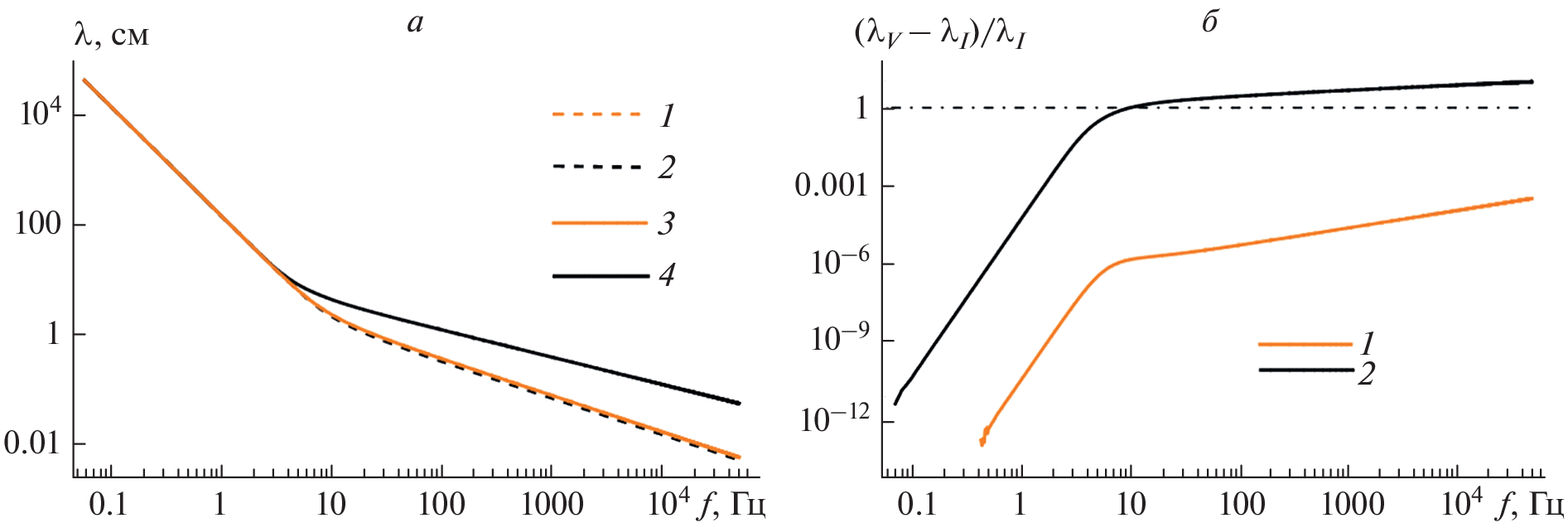
Исследовано распространение двумерных периодических капиллярно-гравитационных волн в вязкой однородной жидкости со свободной поверхностью в диапазоне частот от \(5 \cdot {{10}^{{ - 2}}}\) до \(5 \cdot {{10}^{4}}\) Гц. Получены дисперсионные соотношения, а также выражения для фазовых и групповых скоростей для поверхностных волн в физически наблюдаемых переменных. Показано, что существует еще один класс решений, который не наблюдается в модели идеальной жидкости.
Об авторах
А. А. Очиров
Федеральное государственное бюджетное учреждение науки“Институт проблем механики имени А.Ю. Ишлинского Российской академии наук”; Федеральное государственное бюджетное образовательное учреждение высшего образования
“Ярославский государственный университет имени П.Г. Демидова”
Автор, ответственный за переписку.
Email: otchirov@mail.ru
Россия, Москва; Россия, Ярославль
Список литературы
- Лэмб Г. Гидродинамика. М.-Л.: ГИТТЛ, 1949. 928 с.
- Кочин Н.Е., Кибель И.А., Розе И.В. Теоретическая гидромеханика. Ч. 1. М.: Физматгиз, 1963. 585 с.
- Лайтхилл Дж. Волны в жидкостях. Пер. с англ. M.: Мир, 1981. 598 с.
- Белоножко Д.Ф., Очиров А.А. // Изв. РАН. Сер. физ. 2018. Т. 82. № 1. С. 47; Belonozhko D.F., Ochirov A.A. // Bull. Russ. Acad. Sci. Phys. 2018. V. 82. No. 1. P. 40.
- Belonozhko D., Ochirov A. // J. Phys. Conf. Ser. 2022. V. 2231. No. 1. Art. No. 012013.
- Потапов И.И., Силакова Ю.Г. // Изв. РАН. Физ. атмосферы и океана. 2021. Т. 57. №. 2. С. 212; Potapov I.I., Silakova Y.G. // Izv. Atmos. Ocean. Phys. 2021. V. 57. No. 2. P. 192.
- Hung L.-P., Tsa W.-T. // J. Phys. Oceanogr. 2009. V. 39. No. 2. P. 263.
- Кистович А.В., Чашечкин Ю.Д. // Изв. РАН. Физ. атмосферы и океана. 2018. Т. 54. № 2. С. 206; Кistovich A.V., Chashechkin Yu.D. // Izv. Atmos. Ocean. Phys. 2018. V. 54. No. 2. P. 182
- Ермаков С.А. // Изв. РАН. Физ. атмосферы и океана. 2010. Т. 46. № 2. С. 228; Ermakov S.A. // Izv. Atmos. Ocean. Phys. 2010. V. 46. No. 2. P. 208.
- Чашечкин Ю.Д. // Изв. РАН. Физ. атмосферы и океана. 2022. Т. 58. № 2. С. 218; Chashechkin Yu.D. // Izv. Atmos. Ocean. Phys. 2022. V. 58. No. 2. P. 188.
- Chashechkin Y.D. // Axioms. 2021. V. 10. No. 4. P. 286.
Дополнительные файлы






