Proximity effect in ferromagnetic structures InGaAs/GaAs/CoPt
- Authors: Zaitsev S.V.1
-
Affiliations:
- Institute of Solid State Physics of the Russian Academy of Sciences
- Issue: Vol 87, No 2 (2023)
- Pages: 213-217
- Section: Articles
- URL: https://journal-vniispk.ru/0367-6765/article/view/135275
- DOI: https://doi.org/10.31857/S0367676522700399
- EDN: https://elibrary.ru/AESWOU
- ID: 135275
Cite item
Full Text
Abstract
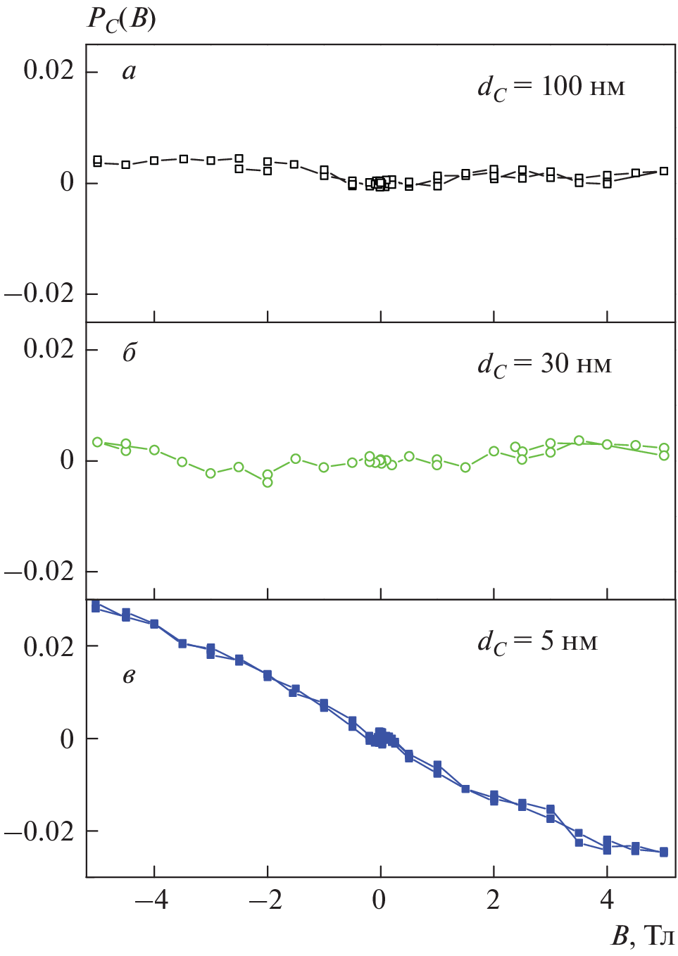
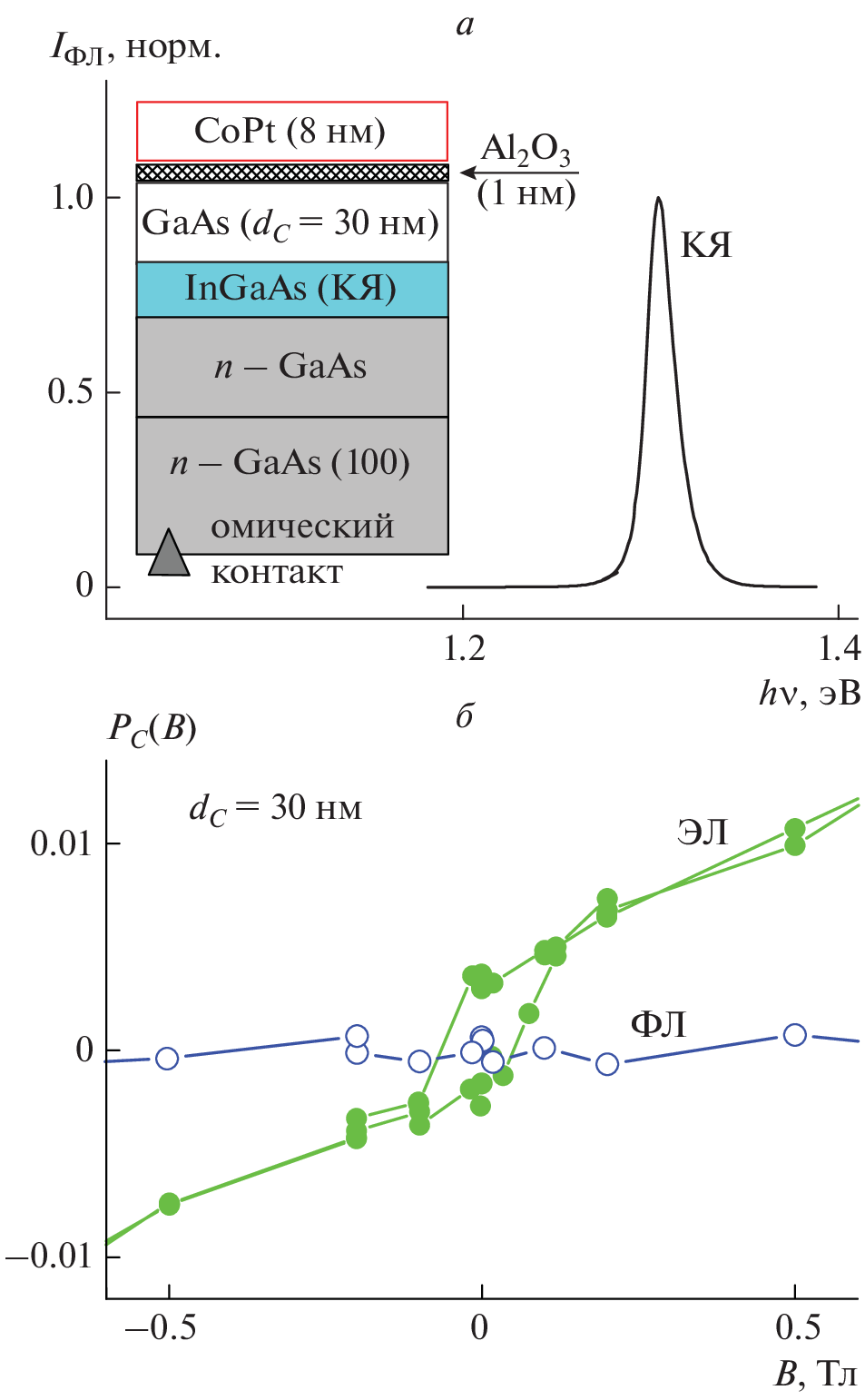
Ferromagnetic influence of a thin (~8 nm) surface CoPt layer on the circular polarization of the InGaAs/GaAs quantum well photoluminescence is observed in structure GaAs/InGaAs/GaAs/Al2O3 (1 нм)/CoPt with narrow GaAs spacer dS = 5 nm, while electroluminescence is polarized in the whole range of dS = 5–100 nm. It is suggested that the short-range proximity effect is determined by overlap of electrons wave functions with the nearby ferromagnetic CoPt film.
About the authors
S. V. Zaitsev
Institute of Solid State Physics of the Russian Academy of Sciences
Author for correspondence.
Email: szaitsev@issp.ac.ru
Russia, 142432, Chernogolovka
References
- Dietl T., Ohno H. // Rev. Mod. Phys. 2014. V. 86. P. 187.
- Nazmul A.M., Amemiya T., Shuto Y. et al. // Phys. Rev. Lett. 2005. V. 95. Art. No. 017201.
- Захарченя Б.П., Коренев В.Л. // УФН. 2005. Т. 175. С. 629; Zakharchenya B.P., Korenev V.L. // Phys. Usp. 2005. V. 48. P. 603.
- Myers R.C., Gossard A.C., Awschalom D.D. // Phys. Rev. B. 2004. V. 69. Art. No. 161305(R).
- Зайцев С.В., Дорохин М.В., Бричкин А.С. и др. // Письма в ЖЭТФ. 2009. Т. 90. С. 730; Zaitsev S.V., Dorokhin M.V., Brichkin A.S. et al. // JETP Lett. 2010. V. 90. P. 658.
- Korenev V.L., Salewski M., Akimov I.A. et al. // Nature Phys. 2016. V. 12. No. 1. P. 85.
- Akimov I.A., Salewski M., Kalitukha I.V. et al. // Phys. Rev. B. 2017. V. 96. Art. No. 184412.
- Здоровейщев А.В., Дорохин М.В., Демина П.Б. и др. // ФТП. 2015. Т. 49. № 12. С. 1649; Zdoroveyshchev A.V., Dorokhin M.V., Demina P.B. et al. // Semiconductors. 2015. V. 49. No. 12. P. 1601.
- Дорохин М.В., Ведь М.В., Демина П.Б. и др. // ФТТ. 2017. Т. 59. № 11. С. 2135; Dorokhin M.V., Ved’ M.V., Demina P.B. et al. // Phys. Sol. State. 2017. V. 59. No. 11. P. 2155.
- Дорохин М.В., Демина П.Б., Здоровейщев А.В. и др. // ЖТФ. 2022. Т. 92. № 5. С. 724; Dorokhin M.V., Demina P.B., Zdoroveyshchev A.V. et al. // Tech. Phys. 2022. V. 92. No. 5. P. 613.
- Kalitukha I.V., Ken O.S., Korenev V.L. et al. // Nano Lett. 2021. V. 21. No. 6. P. 2370.
- Зайцев С.В. // ФНТ. 2012. Т. 38. № 5. С. 513; Zaitsev S.V. // Low Temp. Phys. 2012. V. 38. No. 5. P. 399.
Supplementary files






