Адсорбция органических красителей магнитными наночастицами Fe3O4@C, Fe3O4@C@C, Fe3O4@SiO2
- Авторы: Иванова О.С.1,2, Эдельман И.С.1, Соколов А.Э.1,2, Светлицкий Е.С.1, Жарков С.М.1,2, Сухачев А.Л.1, Лин Ч.Р.3, Чэнь Ю.Ж.3
-
Учреждения:
- Институт физики имени Л.В. Киренского Сибирского отделения Российской академии наук – обособленное подразделение Федерального государственного бюджетного научного учреждения Федеральный исследовательский центр “Красноярский научный центр Сибирского отделения Российской академии наук”
- Федеральное государственное автономное образовательное учреждение высшего профессионального образования “Сибирский федеральный университет”
- Национальный университет Пиндун
- Выпуск: Том 87, № 3 (2023)
- Страницы: 390-395
- Раздел: Статьи
- URL: https://journal-vniispk.ru/0367-6765/article/view/135302
- DOI: https://doi.org/10.31857/S0367676522700685
- EDN: https://elibrary.ru/HGIVMM
- ID: 135302
Цитировать
Полный текст
Аннотация
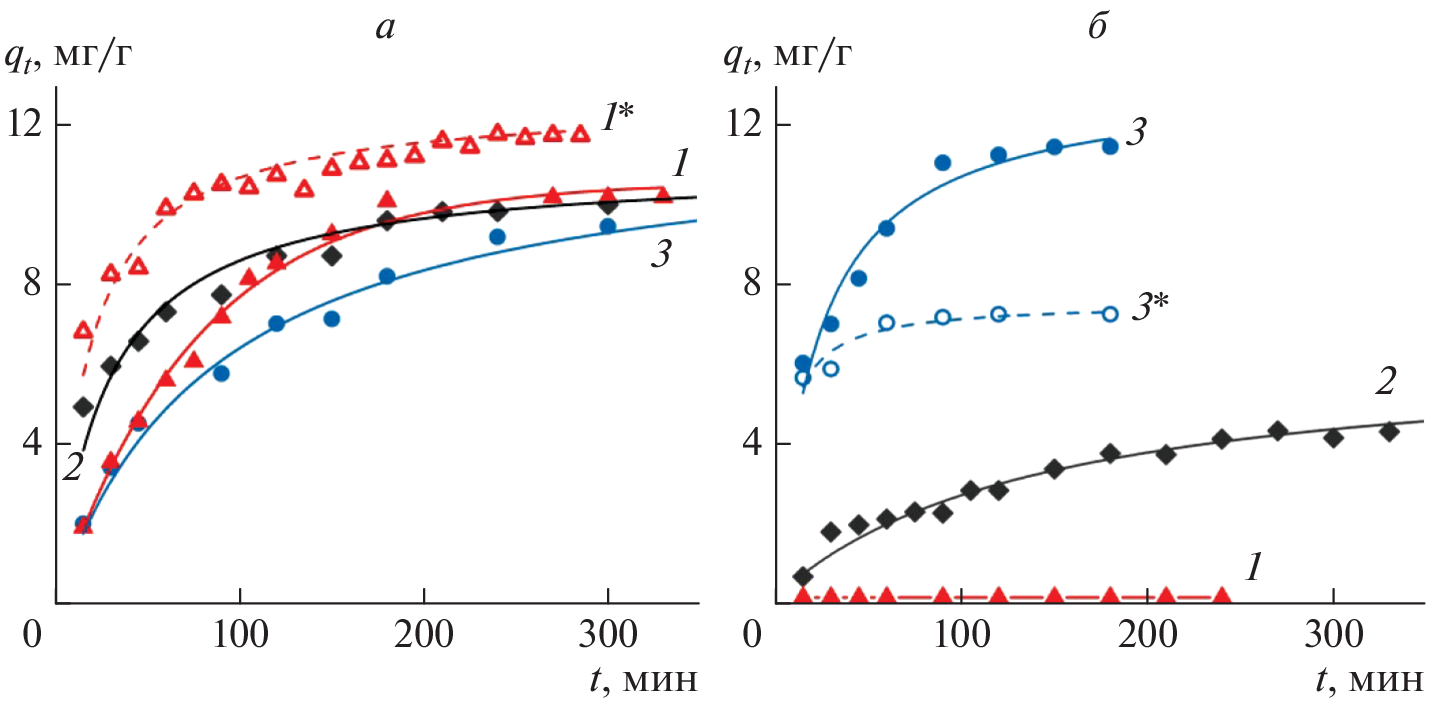
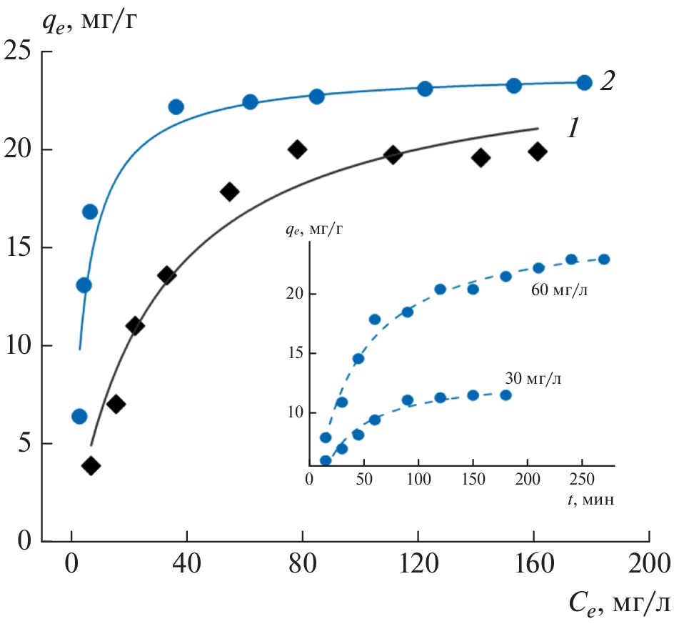
Наночастицы ядро-оболочка Fe3O4@C, Fe3O4@C@C и Fe3O4@SiO2 синтезированы с помощью методик термического разложения и со-осаждения, и охарактеризованы с помощью рентгеновской спектроскопии, просвечивающей электронной микроскопии и магнитометрии. Показано, что магнитное ядро всех наночастиц является нанокристаллическим магнетитом Fe3O4, а оболочка аморфным углеродом или оксидом кремния толщиной около 8 нм. Основное внимание уделялось адсорбционным свойствам наночастиц относительно четырех красителей: метиленового синего, конго красного, эозина Y и родамина C. Выявлена высокая избирательность наночастиц Fe3O4@C по отношению к различным красителям.
Об авторах
О. С. Иванова
Институт физики имени Л.В. Киренского Сибирского отделения Российской академии наук –обособленное подразделение Федерального государственного бюджетного научного учреждения
Федеральный исследовательский центр “Красноярский научный центр Сибирского отделения
Российской академии наук”; Федеральное государственное автономное образовательное учреждение высшего профессионального образования “Сибирский федеральный университет”
Автор, ответственный за переписку.
Email: osi@iph.krasn.ru
Россия, Красноярск; Россия, Красноярск
И. С. Эдельман
Институт физики имени Л.В. Киренского Сибирского отделения Российской академии наук –обособленное подразделение Федерального государственного бюджетного научного учреждения
Федеральный исследовательский центр “Красноярский научный центр Сибирского отделения
Российской академии наук”
Email: osi@iph.krasn.ru
Россия, Красноярск
А. Э. Соколов
Институт физики имени Л.В. Киренского Сибирского отделения Российской академии наук –обособленное подразделение Федерального государственного бюджетного научного учреждения
Федеральный исследовательский центр “Красноярский научный центр Сибирского отделения
Российской академии наук”; Федеральное государственное автономное образовательное учреждение высшего профессионального образования “Сибирский федеральный университет”
Email: osi@iph.krasn.ru
Россия, Красноярск; Россия, Красноярск
Е. С. Светлицкий
Институт физики имени Л.В. Киренского Сибирского отделения Российской академии наук –обособленное подразделение Федерального государственного бюджетного научного учреждения
Федеральный исследовательский центр “Красноярский научный центр Сибирского отделения
Российской академии наук”
Email: osi@iph.krasn.ru
Россия, Красноярск
С. М. Жарков
Институт физики имени Л.В. Киренского Сибирского отделения Российской академии наук –обособленное подразделение Федерального государственного бюджетного научного учреждения
Федеральный исследовательский центр “Красноярский научный центр Сибирского отделения
Российской академии наук”; Федеральное государственное автономное образовательное учреждение высшего профессионального образования “Сибирский федеральный университет”
Email: osi@iph.krasn.ru
Россия, Красноярск; Россия, Красноярск
А. Л. Сухачев
Институт физики имени Л.В. Киренского Сибирского отделения Российской академии наук –обособленное подразделение Федерального государственного бюджетного научного учреждения
Федеральный исследовательский центр “Красноярский научный центр Сибирского отделения
Российской академии наук”
Email: osi@iph.krasn.ru
Россия, Красноярск
Ч. Р. Лин
Национальный университет Пиндун
Email: osi@iph.krasn.ru
Тайвань, Пиндун
Ю. Ж. Чэнь
Национальный университет Пиндун
Email: osi@iph.krasn.ru
Тайвань, Пиндун
Список литературы
- Wana Sh., Yu Ch., Li Y. et al. // Chem. Engin. J. 2021. V. 405. Art. No. 126576.
- Badruddoza A.Z.M., Shawon Z.B.Z., Tay W.J.D., Hidajat K. et al. // Carbohydr. Polym. 2013. V. 91. P. 322.
- Bharti M.K., Gupta S., Chalia S. et al. // J. Supercond. Nov. Magn. 2020. V. 33. P. 3651.
- Saiz J., Bringas E., Ortiz I. // J. Chem. Technol. Biotechnol. 2014. V. 89. P. 909.
- Bao X., Qiang Z., Chang J.H. et al. // J. Environ. Sci. 2014. V. 26. No. 5. P. 962.
- Chen L., Liu Y., He X., Zhang Y. // Chin. J. Chromatogr. 2015. V. 33. No. 5. P. 481.
- Xiang H., Ren G., Zhong Y. et al. // Nanomaterials. 2021. V. 11. P. 330.
- Xu P., Zeng G.M., Huang D.L. et al. // Sci. Total Environ. 2012. V. 424. P. 1.
- Allègre C., Moulin P., Maisseu M. et al. // J. Membr. Sci. 2006. V. 269. P. 15.
- Ghorbani F., Kamari S. // Environ. Technol. Innov. 2019. V. 14. Art. No. 100333.
- Robinson T., McMullan G., Marchant R. et al. // Bioresour. Technol. 2001. V. 77. P. 247.
- Lin Ch.-R., Ivanova O.S., Edelman I.S. et al. // Nanomaterials. 2022. V. 12. P. 376.
- Lin Ch.-R., Ivanova O.S., Petrov D.A. et al // Nanomaterials. 2021. V. 11. P. 2371.
- Stöber W., Fink A., Bohn E. // J. Colloid Interface Sci. 1968. V. 26. P. 62.
- Smit J., Wijn H.P.J. Ferrites: physical properties of ferrimagnetic oxides in relation to their technical applications. Eindhoven: N.V. Philips Gloeilampenfabrieken, 1959. 384 p.
- Azizian S. // J. Colloid Interface Sci. 2004. V. 276. P. 47.
- Langmuir I. // J. Amer. Chem. Soc. 1918. V. 40. P. 1361.
Дополнительные файлы







