Magnetic properties of nano- and microsized crystalline powders of terbium–lithium tetrafluoride
- Authors: Andreev G.I.1, Romanova I.V.1, Korableva S.L.1, Morozov O.A.1,2, Semakin .S.1, Kiiamov A.G.1, Tagirov M.S.1,3
-
Affiliations:
- Kazan Federal University, Institute of Physics
- Federal Research Center “Kazan Scientific Center of the Russian Academy of Sciences”, Zavoisky Physical-Technical Institute
- Tatarstan Academy of Sciences, Institute of Applied Research
- Issue: Vol 87, No 4 (2023)
- Pages: 462-467
- Section: Articles
- URL: https://journal-vniispk.ru/0367-6765/article/view/135345
- DOI: https://doi.org/10.31857/S0367676522700806
- EDN: https://elibrary.ru/NKEAIP
- ID: 135345
Cite item
Full Text
Abstract
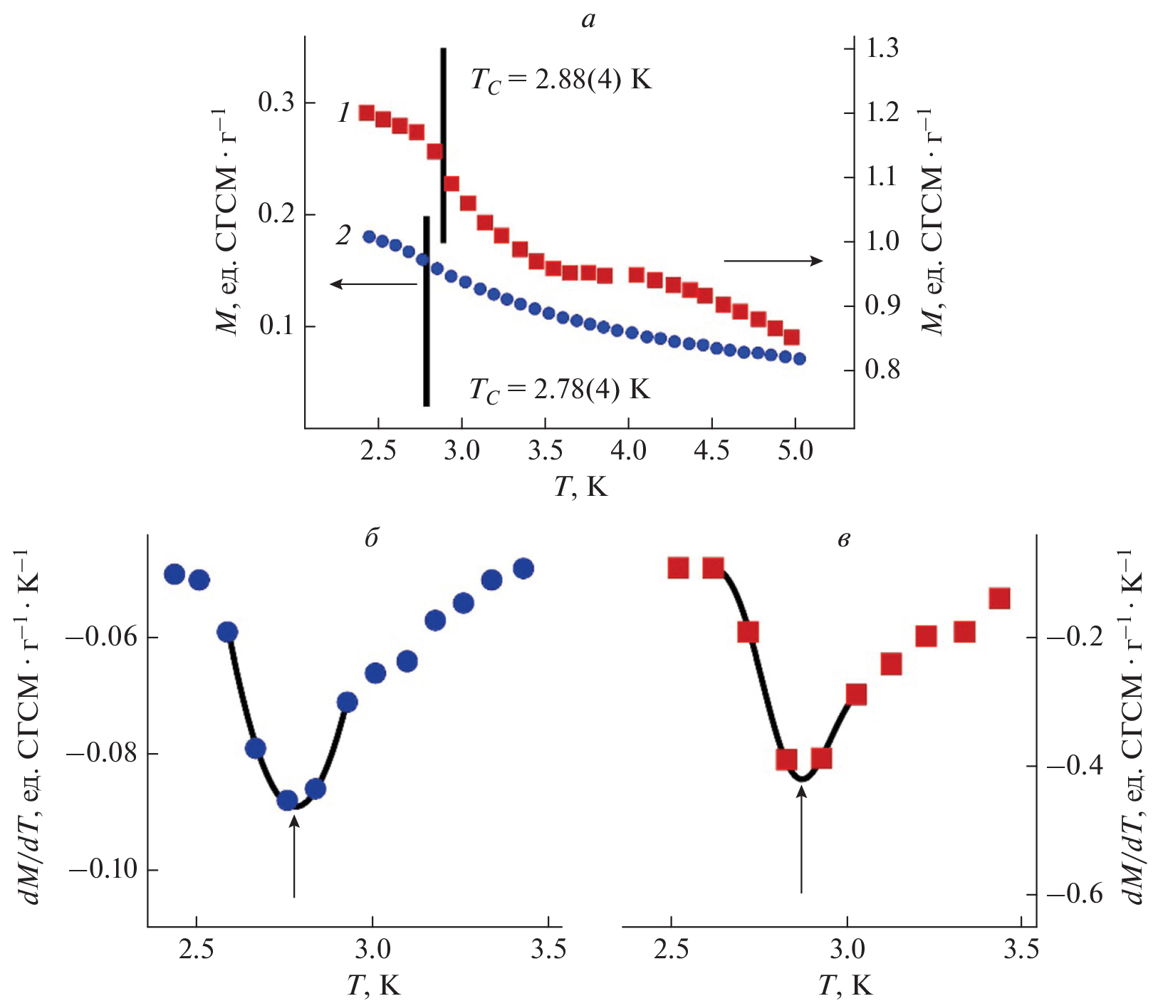
Microsized and nanosized powders of terbium tetrafluoride were synthesized. The decrease of Curie temperature of the nanosized sample was observed: TC = 2.88(4) K for the microsized sample, TC = 2.78(4) K for the nanosized sample. The field dependences of the magnetization of the microsized sample in magnetic fields up to 9 T at temperatures from 2 to 300 K were measured and calculated.
About the authors
G. Iu. Andreev
Kazan Federal University, Institute of Physics
Author for correspondence.
Email: ujif28@mail.ru
Russia, 420008, Kazan
I. V. Romanova
Kazan Federal University, Institute of Physics
Email: ujif28@mail.ru
Russia, 420008, Kazan
S. L. Korableva
Kazan Federal University, Institute of Physics
Email: ujif28@mail.ru
Russia, 420008, Kazan
O. A. Morozov
Kazan Federal University, Institute of Physics; Federal Research Center “Kazan Scientific Center of the Russian Academy of Sciences”,Zavoisky Physical-Technical Institute
Email: ujif28@mail.ru
Russia, 420008, Kazan; Russia, 420029, Kazan
A. S. Semakin
Kazan Federal University, Institute of Physics
Email: ujif28@mail.ru
Russia, 420008, Kazan
A. G. Kiiamov
Kazan Federal University, Institute of Physics
Email: ujif28@mail.ru
Russia, 420008, Kazan
M. S. Tagirov
Kazan Federal University, Institute of Physics; Tatarstan Academy of Sciences, Institute of Applied Research
Email: ujif28@mail.ru
Russia, 420008, Kazan; Russia, 420111, Kazan
References
- Семашко В.В., Кораблева С.Л., Федоров П.П. // Неорг. матер. 2022. Т. 58. № 5. С. 467; Semashko V.V., Korableva S.L., Fedorov P.P. // Inorg. Mater. 2022. V. 58. No. 5. P. 447.
- Vojna D., Slezvák O., Lucianetti A., Mocek T. // Appl. Sci. 2019. V. 9. No. 15. P. 3160.
- Shirron P., Canavan E., DiPirro M. et al. // Cryogenics. 2004. V. 44. No. 6–8. P. 581.
- Aminov L.K., Malkin B.Z., Teplov M.A. // in: Handbook on the physics and chemistry of rare earths. V. 22. Elsevier Science B.V., 1996. P. 296.
- McKenzie R.D., Stamp P.C.E. // Phys. Rev. B. 2018. V. 97. No. 21. Art. No. 214430.
- Keller C., Schmutz H. // J. Inorg. Nucl. Chem. 1965. V. 4. No. 4. P. 900.
- Thoma R.E., Brunton G.D., Penneman R.A., Keenan T.K. // Inorg. Chem. 1970. V. 9. No. 5. P. 1096.
- Als-Nielsen J., Holmes L.M., Krebs Larsen F., Guggenheim H.J. // Phys. Rev. B. 1975. V. 12. No. 1. P. 191.
- Romanova I.V., Tagirov M.S. // Magn. Reson. Solids. 2019. V. 21. No. 4. Art. No. 19412.
- Кротов В.И., Малкин Б.З., Миттельман А.А. // ФТТ. 1982. Т. 24. No. 2. С. 542.
- Babkevich P., Finco A., Jeong M. // Phys. Rev. B. 2015. V. 92. No. 14. Art. No. 144422.
- Magariño J., Tuchendler J., Beauvillain P., Laursen I. // Phys. Rev. B. 1980. V. 21. No. 1. P. 18.
- Alakshin E.M., Klochkov A.V., Korableva S.L. et al. // Magn. Reson. Solids. 2016. V. 18. No. 4. Art. No. 19412.
- Zhang Q., Yan B. // Inorg. Chem. 2010. V. 49. No. 15. P. 6834.
- Федоров П.П., Семашко В.В., Кораблева С.Л. // Неорг. матер. 2022. Т. 58. № 3. С. 235.
- Lutterotti L., Matthies S., Wenk H.-R. et al. // J. Appl. Phys. 1997. V. 81. P. 594.
- Semashko V.V., Korableva S.L., Fedorov P.P. // Inorg. Mater. 2022. V. 58. No. 3. P. 447.
- Carnall1 W.T., Goodman G.L., Rajnak K., Rana R.S. // J. Chem. Phys. 1989. V. 90. No. 7. P. 3443.
- Mollabashi L., Jalali-Asadabadi S. // Phys. Rev. B. 2020. V. 102. No. 4. Art. No. 045120.
- Аминов Л.К., Малкин Б.З. Динамика и кинетика электронных и спиновых возбуждений в парамагнитных кристаллах. Казань, 2008. 182 с.
- Bertaina S., Barbara B., Giraud R. et al. // Phys. Rev. B. 2006. V. 74. No. 16. Art. No. 184421.
- Кендалл М., Стьюарт A. Теория распределений. М.: Наука. ГРФМЛ, 1966. 588 с.
- Klochkov A.V., Kurzin S.P., Mukhamedshin I.R. et al. // Appl. Magn. Reson. 1996. V. 14. P. 525.
- Holmes L.M., Als-Nielsen J., Guggenheim H.J. // Phys. Rev. B. 1975. V. 12. No. 1. P. 180.
- Никифоров В.И., А.Н. Игнатенко А.Н., Ирхин В.Ю. // ЖЭТФ. 2017. Т. 151. № 2. С. 356; Nikiforov V.N., Ignatenko A.N., Irkhin V.Yu. // J. Exp. Theor. Phys. 2017. V. 124. No. 2. P. 304.
- Alakshin E., Kondratyeva E., Garaeva A. et al. // Nanoscale. 2022. V. 14. No. 31. Art. No. 11353.
Supplementary files






