Перенос носителей заряда и поляризация в структурах M/PZT/M
- Авторы: Делимова Л.А.1, Юферев В.С.1
-
Учреждения:
- Федеральное государственное бюджетное учреждение науки “Физико-технический институт имени А.Ф. Иоффе Российской академии наук”
- Выпуск: Том 87, № 4 (2023)
- Страницы: 555-561
- Раздел: Статьи
- URL: https://journal-vniispk.ru/0367-6765/article/view/135362
- DOI: https://doi.org/10.31857/S0367676522700995
- EDN: https://elibrary.ru/NPBSIO
- ID: 135362
Цитировать
Полный текст
Аннотация
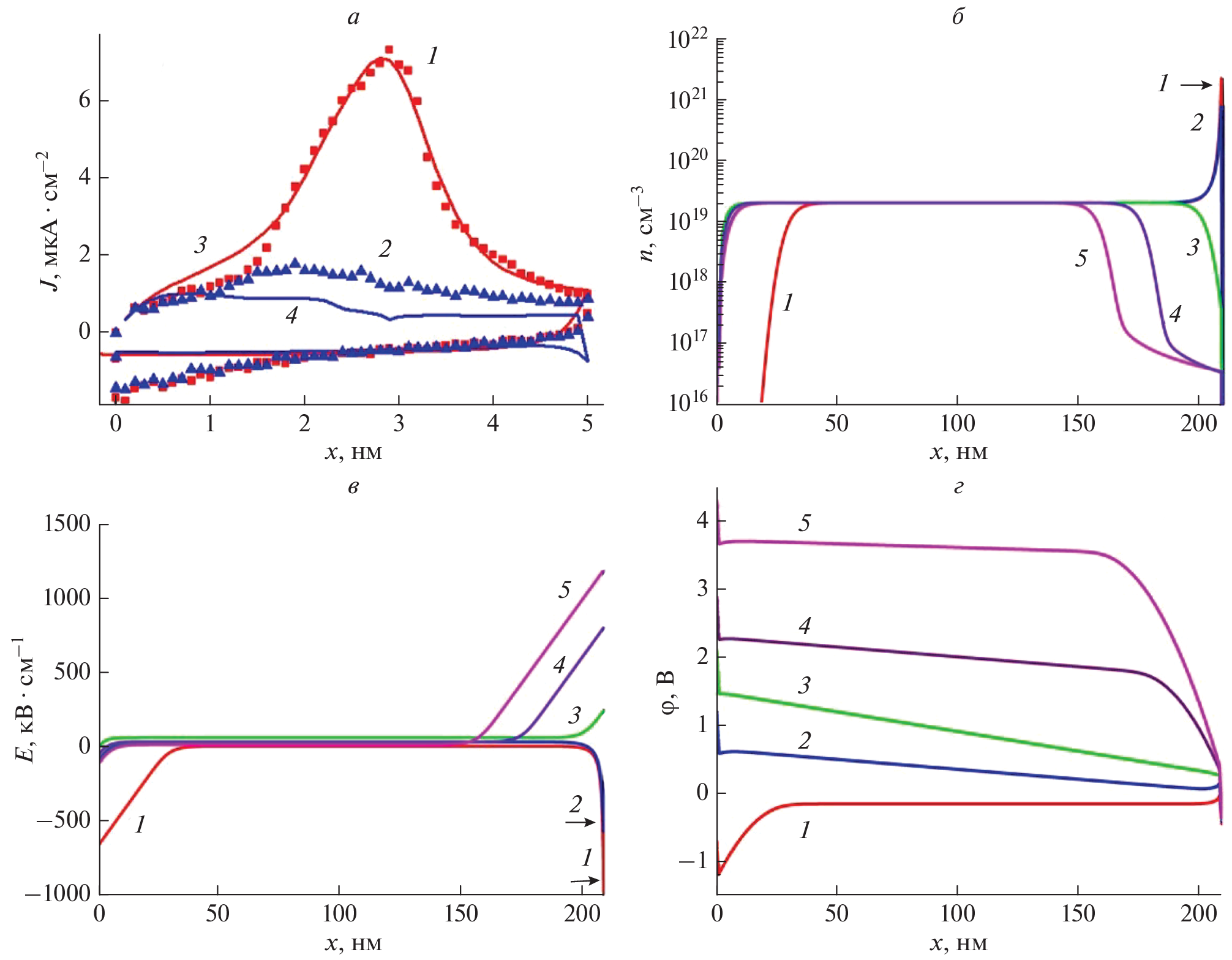
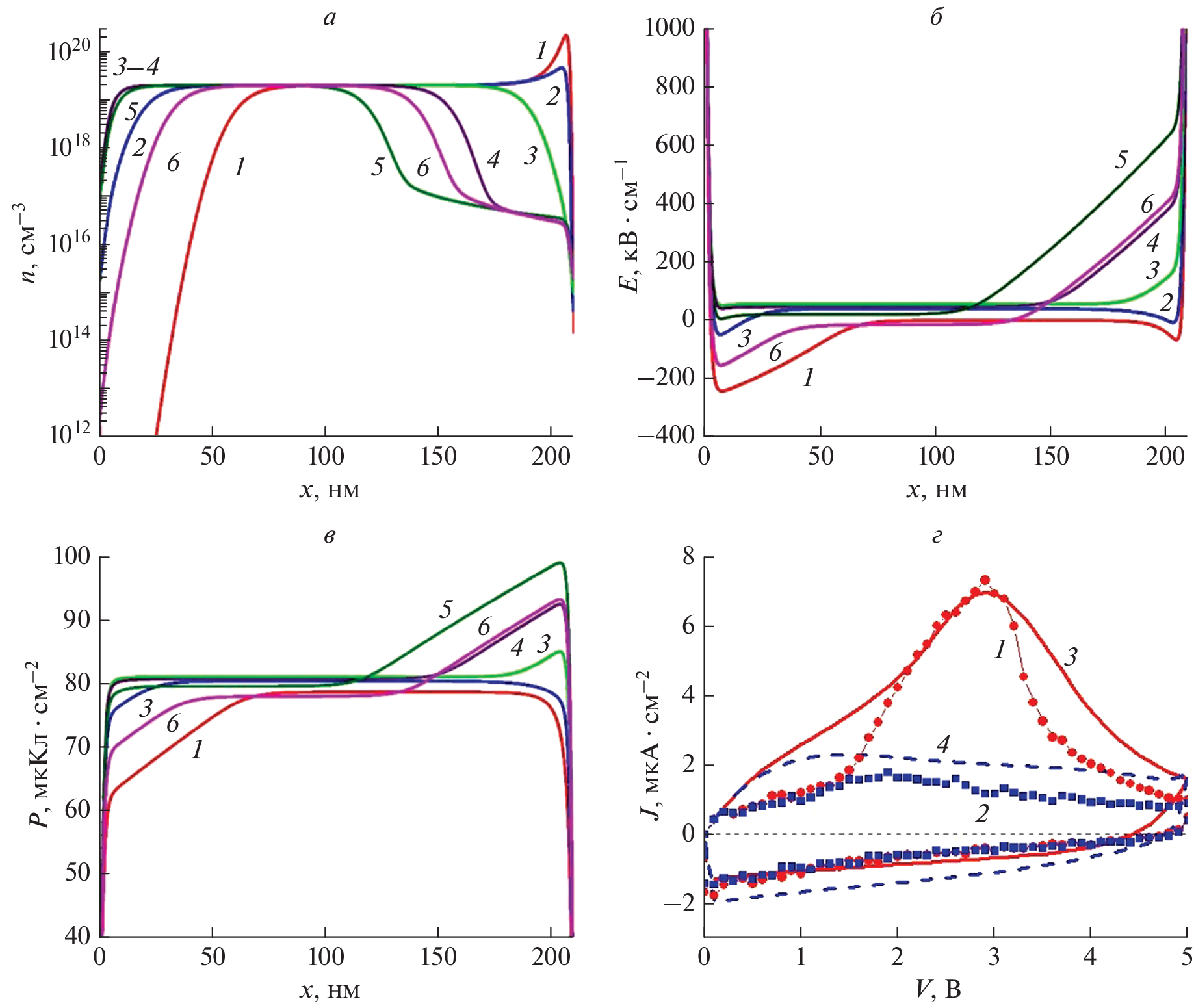
Разработана модель нестационарного транспорта носителей заряда в сегнетоэлектрических структурах M/PZT/M. Предполагается, что при комнатной температуре генерированные кислородными вакансиями электроны захвачены на уровни Ti+3 и перемещаются между ними под действием электрических полей, вызванных внешним смещением и поляризацией. Распределение поляризации в пленке PZT описывается с разной степенью усложнения – от постоянной по величине вне дефектных слоев до определяющейся уравнением, следующим из теории Ландау–Гинзбурга. Проведенное численное моделирование позволило объяснить причины и условия возникновения вольтамперных характеристик с необычными пиками токов, показать существование нескольких решений в модели Ландау–Гинзбурга для пленки с барьерами Шоттки и выявить реакцию заряженных доменных стенок на приложенное напряжение.
Об авторах
Л. А. Делимова
Федеральное государственное бюджетное учреждение науки“Физико-технический институт имени А.Ф. Иоффе Российской академии наук”
Автор, ответственный за переписку.
Email: ladel@mail.ioffe.ru
Россия, Санкт-Петербург
В. С. Юферев
Федеральное государственное бюджетное учреждение науки“Физико-технический институт имени А.Ф. Иоффе Российской академии наук”
Email: ladel@mail.ioffe.ru
Россия, Санкт-Петербург
Список литературы
- Liu T., Wallace M., Trolier-mcKinstry S., Jackson T.N. // J. Appl. Phys. 2017. V. 122. No. 16. Art. No. 164103.
- Cornelius T.W., Mocuta C., Escoubas S. et al. // J. Appl. Phys. 2017. V. 122. No. 16. Art. No. 164104.
- Scott J.F., Melnik B.M., Cuchiaro J.D. et al. // Int. Ferroelectr. 1994. V. 4. No. 1. P. 85.
- Dawber M., Scott J.F. // J. Phys. Cond. Matter. 2004. V. 16. No. 49. Art. No. L515.
- Pintilie L., Alexe M. // J. Appl. Phys. 2005. V. 98. No. 12. Art. No. 124103.
- Alkoy E.M., Shiosaki T. // Thin Solid Films. 2007. V. 516. No. 12. P. 516.
- Zhu W., Ren W., Xin H. et al. // J. Adv. Dielectr. 2013. V. 3. No. 2. Art. No. 1350011.
- Podgorny Y., Vorotilov K., Sigov A. // Appl. Phys. Lett. 2014. V. 105. No. 18. Art. No. 182904.
- Barala S.S., Roul B., Banerjee N. et al. // J. Appl. Phys. 2016. V. 120. No. 11. Art. No. 115305.
- Podgorny Y., Vorotilov K., Sigov A. // AIP Advances. 2016. V. 6. No. 9. Art. No. 095025.
- Simmons J.G. // Phys. Rev. Lett. 1965. V. 15. No. 25. P. 967.
- Filip L.D., Pintilie L. // Eur. Phys. J. B. 2016. V. 89. No. 2. P. 44.
- Делимова Л.А., Гущина Е.В., Юферев В.С. и др. // ФТТ. 2014. Т. 56. № 12. С. 2366; Delimova L.A., Gushchina E.V., Yuferev V.S. et al. // Phys. Solid State. 2014. V. 56. No. 12. P. 2451.
- Delimova L.A., Gushchina E.V., Seregin D.S. et al. // J. Appl. Phys. 2017. V. 121. No. 22. Art. No. 224104.
- Robertson J., Warren W.L., Tuttle A. et al. // Appl. Phys. Lett. 1993. V. 63. No. 11. P. 1519.
- Warren W.L., Robertson J., Dimos D.D. et al. // Ferroelectrics. 1994. V. 153. No. 1. P. 303.
- Delimova L.A., Yuferev V.S. // J. Appl. Phys. 2018. V. 124. No. 18. Art. No. 184102.
- Delimova L.A., Yuferev V.S. // J. Phys. Conf. Ser. 2019. V. 1400. No. 5. Art. No. 055003.
- Haun M.J., Zhuang Z.Q., Furman E. et al. // Ferroelectrics. 1989. V. 99. No. 1. P. 45.
- Yudin S.P., Panchenko T.V., Kudzin A.Yu. // Ferrolecrtics. 1978. V. 18. No. 1. P. 45.
Дополнительные файлы





