High-harmonic large-orbit terahertz gyrotrons for physical applications
- Authors: Bandurkin I.V.1, Kalynov Y.K.1, Osharin I.V.1, Savilov A.V.1, Semenov E.S.1, Shchegolkov D.Y.1
-
Affiliations:
- Federal Research Center Institute of Applied Physics of the Russian Academy of Sciences
- Issue: Vol 87, No 5 (2023)
- Pages: 747-754
- Section: Articles
- URL: https://journal-vniispk.ru/0367-6765/article/view/135392
- DOI: https://doi.org/10.31857/S0367676522701125
- EDN: https://elibrary.ru/KVNAFM
- ID: 135392
Cite item
Full Text
Abstract
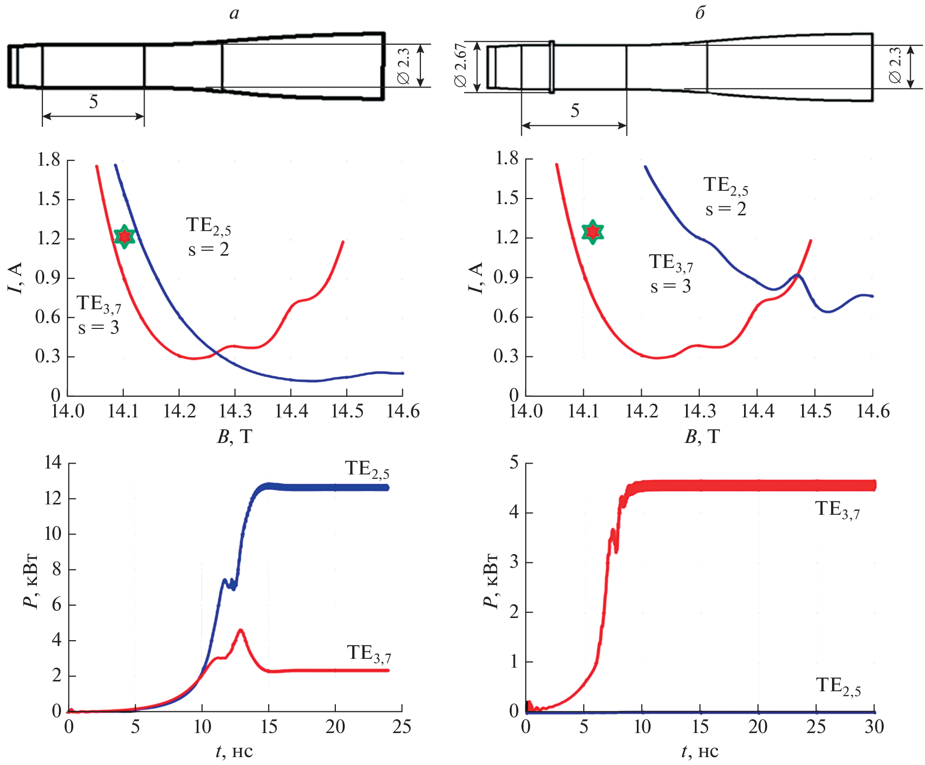
An overview is given of works on two experimental installations that implement large-orbit gyrotrons (LOG) operating in the sub-terahertz frequency range at high harmonics of the electronic cyclotron frequency. At the installation of a pulsed LOG (80–100 keV/0.7–1.0 A), a radiation source with a frequency of 1 THz with a kilowatt output power level is being developed, which is planned to be used in plasma applications. A continuous subterahertz LOG (30 keV/0.7 A) is being created as a prototype of a universal multi-frequency source for spectroscopic applications. Complex electrodynamic systems are also described, designed to increase the selectivity and efficiency of excitation of high cyclotron harmonics in these devices, as well as to ensure the tuning of the generation frequency.
About the authors
I. V. Bandurkin
Federal Research Center Institute of Applied Physics of the Russian Academy of Sciences
Email: savilov@ipfran.ru
Russia, 603950, Nizhny Novgorod
Yu. K. Kalynov
Federal Research Center Institute of Applied Physics of the Russian Academy of Sciences
Email: savilov@ipfran.ru
Russia, 603950, Nizhny Novgorod
I. V. Osharin
Federal Research Center Institute of Applied Physics of the Russian Academy of Sciences
Email: savilov@ipfran.ru
Russia, 603950, Nizhny Novgorod
A. V. Savilov
Federal Research Center Institute of Applied Physics of the Russian Academy of Sciences
Author for correspondence.
Email: savilov@ipfran.ru
Russia, 603950, Nizhny Novgorod
E. S. Semenov
Federal Research Center Institute of Applied Physics of the Russian Academy of Sciences
Email: savilov@ipfran.ru
Russia, 603950, Nizhny Novgorod
D. Yu. Shchegolkov
Federal Research Center Institute of Applied Physics of the Russian Academy of Sciences
Email: savilov@ipfran.ru
Russia, 603950, Nizhny Novgorod
References
- Jory H. Research and development technical report ecom-01873-f. Technical Report ECOM-01873-F. Palo Alto: Varian Associates, 1968.
- McDermott D.B., Luhmann N.C. Jr., Kupiszewski A., Jory H.R. // Phys. Fluids. 1983. V. 26. P. 1936.
- Lawson W., Destler W.W., Striffler C.D. // IEEE Trans. Plasma Sci. 1985. V. PS-13. P. 444.
- Bratman V.L., Fedotov A.E., Kalynov Y.K. et al. // IEEE Trans. Plasma Sci. 1999. V. 27. P. 456.
- Bratman V.L., Kalynov Yu.K., Manuilov V.N. // Phys. Rev. Lett. 2009. V. 102. Art. No. 245101.
- Bandurkin I.V., Bratman V.L., Kalynov Yu.K. et al. // IEEE Trans. Electron Devices. 2018. V. 65. P. 2287.
- Kalynov Yu.K., Manuilov V.N., Fiks A.Sh., Zavolsky N.A. // Appl. Phys. Lett. 2019. V. 114. Art. No. 213502.
- Shalashov A., Gospodchikov E. // IEEE Trans. Antennas Propag. 2016. V. 64. P. 3960.
- Abramov I.S., Gospodchikov E.D., Shalashov A.G. // Phys. Rev. Appl. 2018. V. 10. Art. No. 034065.
- Bandurkin I.V., Kalynov Y.K., Makhalov P.B. et al. // IEEE Trans. Electron Devices. 2017. V. 64. P. 300.
- Kalynov Yu.K., Osharin I.V., Savilov A.V. // Phys. Plasm. 2016. V. 23. Art. No. 053116.
- Bandurkin I.V., Fokin A.P., Glyavin M.Y. et al. // IEEE Electron Device Lett. 2020. V. 41. P. 1412.
- Bandurkin I.V., Kalynova G.I., Kalynov Yu.K. et al. // IEEE Trans. Electron Devices. 2021. V. 68. P. 347.
- Kalynov Y.K., Osharin I.V., Savilov A.V. // IEEE Trans. Electron Devices. 2020. V. 67. P. 3795.
- Bandurkin I.V., Kalynov Y. K., Osharin I.V., Savilov A.V. // Phys. Plasmas. 2016. V. 23. Art. No. 013113.
- Guznov Yu.M., Kalynov Y.K., Osharin I.V., Savilov A.V. // IEEE Trans. Electron Devices. 2021. V. 69. P. 325.
Supplementary files






