On a shape of band-to-acceptor luminescence line in semiconductors
- Authors: Kokurin I.A.1,2, Averkiev N.S.1
- 
							Affiliations: 
							- Ioffe Physical-Technical Institute of the Russian Academy of Sciences
- National Research Ogarev Mordovia State University
 
- Issue: Vol 87, No 6 (2023)
- Pages: 849-854
- Section: Articles
- URL: https://journal-vniispk.ru/0367-6765/article/view/135408
- DOI: https://doi.org/10.31857/S0367676523701478
- EDN: https://elibrary.ru/VLVYLH
- ID: 135408
Cite item
Full Text
Abstract
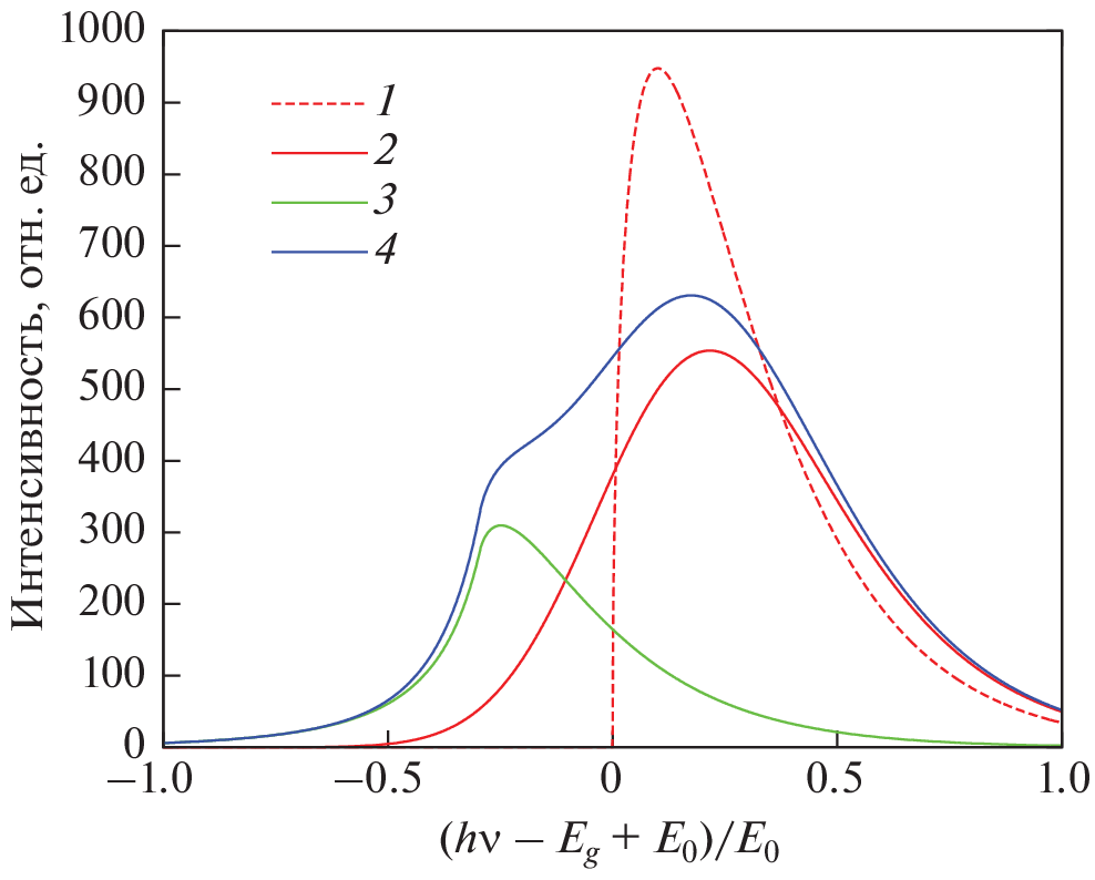
A theoretical explanation is proposed for the shape of the long-wavelength edge of the luminescence line, which is caused by the recombination of a free electron and a hole of a neutral acceptor. The formation of complexes, in which a single hole is localized by the field of two attracting ions (\(A_{2}^{ - }\) complexes) and the subsequent recombination of holes in such complexes with electrons of the conduction band are considered. The Coulomb repulsion in the final state after recombination and the dispersion of the complexes in terms of the interionic distance provide an extended long-wavelength tail of the luminescence line, comparable in magnitude to the ionization energy of a single acceptor.
About the authors
I. A. Kokurin
Ioffe Physical-Technical Institute of the Russian Academy of Sciences; National Research Ogarev Mordovia State University
							Author for correspondence.
							Email: ivan.a.kokurin@gmail.com
				                					                																			                												                								Russia, 194021, St. Petersburg,; Russia, 430005, Saransk						
N. S. Averkiev
Ioffe Physical-Technical Institute of the Russian Academy of Sciences
														Email: ivan.a.kokurin@gmail.com
				                					                																			                												                								Russia, 194021, St. Petersburg,						
References
- Williams E.W., Bebb H.B. // Semicond. Semimet. 1972. V. 8. P. 321.
- Skromme B.J., Bose S.S., Stillman G.E. // J. Electron. Mater. 1986. V. 15. No. 6. P. 345.
- Chen H.D., Feng M.S., Chen P.A. et al. // J. Appl. Phys. 1994. V. 75. No. 4. P. 2210.
- Ben Saddik K., Brana A.F., Lopez N. et al. // J. Cryst. Growth. 2021. V. 571. Art. No. 126242.
- Kundrotas J., Čerškus A., Valušis G. et al. // J. Appl. Phys. 2010. V. 107. No. 9. Art. No. 093109.
- Petrov P.V., Kokurin I.A., Ivanov Yu.L. et al. // Phys. Rev. B. 2016. V. 94. No. 8. Art. No. 085308.
- Ali H., Zhang Y., Tang J. et al. // Small. 2018. V. 14. No. 17. Art. No. 1704429.
- Williams E.W., Bebb H.B. // J. Phys. Chem. Solids. 1969. V. 30. No. 5. P. 1289.
- Eagles D.M. // J. Phys. Chem. Solids. 1960. V. 16. No. 1–2. P. 76.
- Brasil M.J.S.P., Bernussi A.A., Motisuke P. // Solid State Commun. 1989. V. 71. No. 1. P. 13.
- Kokurin I.A., Averkiev N.S. // Phys. Rev. B. 2023. V. 107. No. 12. Art. No. 125208.
- Levine I.N. Quantum chemistry. New Jersey: Prentice Hall, 1991.
- Atkins P.W., Friedman R.S. Molecular quantum mechanics. N.Y.: Oxford University Press, 2011.
- Слэтер Дж. Электронная структура молекул. М.: Мир, 1965.
- Kamiya T., Wagner E. // J. Appl. Phys. 1977. V. 48. No. 5. P. 1928.
- Lipari N.O., Baldereschi A. // Phys. Rev. Lett. 1970. V. 25. No. 24. P. 1660.
- Гельмонт Б.Л., Дьяконов М.И. // ФТП. 1971. Т. 5. № 11. С. 2191; Gel’mont B.L., D’yakonov M.I. // Sov. Phys. Semicond. 1972. V. 5. No. 11. P. 1905.
- Кокурин И.А., Петров П.В., Аверкиев Н.С. // ФТП. 2013. Т. 47. № 9. С. 1244; Kokurin I.A., Petrov P.V., Averkiev N.S. // Semiconductors. 2013. V. 47. No. 9. P. 1232.
 
				
			 
					 
						 
						 
						 
						 
				
 
  
  
  Email this article
			Email this article 



