The energy position of size quantization levels in multiple HgCdTe quantum wells
- Authors: Mikhailov N.N.1, Remesnik V.G.1, Aleshkin V.Y.2, Dvoretsky S.A.1, Uzhakov I.N.1, Shvets V.A.1,3
- 
							Affiliations: 
							- Rzhanov Institute of Semiconductor Physics of the Siberian Branch of the Russian Academy of Sciences
- Institute for Physics of Microstructures of the Russian Academy of Sciences
- Novosibirsk State University
 
- Issue: Vol 87, No 6 (2023)
- Pages: 861-866
- Section: Articles
- URL: https://journal-vniispk.ru/0367-6765/article/view/135410
- DOI: https://doi.org/10.31857/S0367676523701491
- EDN: https://elibrary.ru/VMIDPK
- ID: 135410
Cite item
Full Text
Abstract
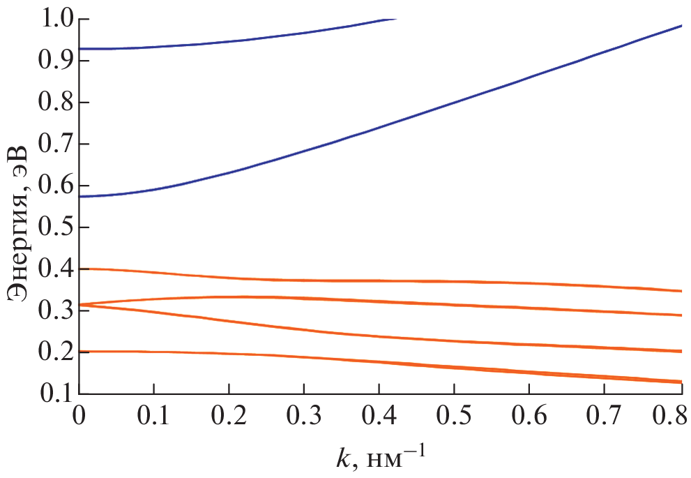
The energy position of size quantization levels size levels in the multiple Hg0.3Cd0.7Te/HgTe quantum wells grown by molecular beam epitaxy on (013)GaAs substrate has been studied. The experimental and calculated values of the energy position of three size quantization levels are obtained.
About the authors
N. N. Mikhailov
Rzhanov Institute of Semiconductor Physics of the Siberian Branch of the Russian Academyof Sciences
							Author for correspondence.
							Email: mikhailov@isp.nsc.ru
				                					                																			                												                								Russia, 630090, Novosibirsk						
V. G. Remesnik
Rzhanov Institute of Semiconductor Physics of the Siberian Branch of the Russian Academyof Sciences
														Email: mikhailov@isp.nsc.ru
				                					                																			                												                								Russia, 630090, Novosibirsk						
V. Ya. Aleshkin
Institute for Physics of Microstructures of the Russian Academy of Sciences
														Email: mikhailov@isp.nsc.ru
				                					                																			                												                								Russia, 603950, Nizhny Novgorod						
S. A. Dvoretsky
Rzhanov Institute of Semiconductor Physics of the Siberian Branch of the Russian Academyof Sciences
														Email: mikhailov@isp.nsc.ru
				                					                																			                												                								Russia, 630090, Novosibirsk						
I. N. Uzhakov
Rzhanov Institute of Semiconductor Physics of the Siberian Branch of the Russian Academyof Sciences
														Email: mikhailov@isp.nsc.ru
				                					                																			                												                								Russia, 630090, Novosibirsk						
V. A. Shvets
Rzhanov Institute of Semiconductor Physics of the Siberian Branch of the Russian Academyof Sciences; Novosibirsk State University
														Email: mikhailov@isp.nsc.ru
				                					                																			                												                								Russia, 630090, Novosibirsk; Russia, 630090, Novosibirsk						
References
- Lei W., Antoszewski J., Faraone L. // Appl. Phys. Rev. 2015. V. 2. Art. No. 041303.
- Bhan R.K., Dhar V. // Opto-Electron. Rev. 2019. V. 27. No. 2. P. 174.
- Rogalski A. // Rep. Prog. Phys. 2005. V. 68. No. 10. P. 2267.
- Capper P., Garland J. Mercury cadmium telluride. Growth, properties and applications. Chichester: John Wiley & Sons Ltd, 2011. P. 556.
- Erdem Arkun F., Edwall D.D., Ellsworth J. et al. // J. Electron. Mater. 2017. V. 46. No. 9. P. 5374.
- Reddy M., Peterson J.M., Vang T. et al. // J. Electron. Mater. 2011. V. 40. No. 8. P. 1706.
- Ziegler J., Wenisch J., Breiter R. et al. // J. Electron. Mater. 2014. V. 43. No. 8. P. 2935.
- Варавин В.С., Дворецкий С.А., Михайлов Н.Н. и др. // Автометрия. Т. 56. № 5. С. 12; Varavin V.S., Dvoretskii S.A., Mikhailov N.N. et al. // Optoelectron. Instrum. Data Process. 2020. V. 56. No. 5. P. 456.
- Schulman J.N., McGill T.C. // Appl. Phys. Lett. 1979. V. 34. No. 10. P. 663.
- Aleshkin V.Y., Dubinov A.A., Morozov S.V. et al. // Opt. Mater. Express. 2018. V. 8. No. 5. P. 1349.
- Ryzhii M., Otsuji T., Ryzhii V. et al. // Opto-Electron. Rev. 2019. V. 27. No. 2. P. 219.
- Zhou Y.D., Becker C.R., Selamet Y. et al. // J. Electron. Mater. 2003. V. 32. No. 7. P. 608.
- Grein C.H., Jung H., Singh R. et al. // J. Electron. Mater. 2005. V. 34. No. 6. P. 905.
- Becker C.R., Latussek V., Pfeuffer-Jeschke A. et al. // Phys. Rev. B. V. 62. No. 15. Art. No. 10353.
- Михайлов Н.Н., Швец В.А., Дворецкий С.А. и др. // Автометрия. 2003. Т. 39. № 2. С. 71.
- Mikhailov N.N., Smirnov R.N., Dvoretsky S.A. et al. // Int. J. Nanotechnol. 2006. V. 3. No. 1. P. 120.
- Сидоров Ю.Г., Дворецкий С.А., Михайлов Н.Н. и др. // Опт. журн. 2000. Т. 67. № 1. С. 39; Sidorov Yu.G., Dvoretski S.A., Mikhailov N.N. et al. // J. Opt. Technol. 2000. V. 67. No. 1. P. 31.
- Сидоров Ю.Г., Дворецкий С.А., Варавин В.С. и др. // ФТП. 2001. Т. 35. № 9. С. 1092; Sidorov Yu.G., Dvoretskii S.A., Varavin V.S. et al. // Semiconductors. 2001. V. 35. No. 9. P. 1045.
- Спесивцев Е.В., Рыхлицкий С.В., Швец В.А. // Автометрия. 2011. Т. 47. № 5. С. 5; Spesivtsev E.V., Rykhlitskii S.V., Shvets V.A. // Optoelectron. Instrument. Proс. 2011. V. 47. No. 5. P. 419.
- Ржанов А.В., Свиташев К.К., Мардежов А.С., Швец В.А. // ДАН. 1987. Т. 297. № 3. С. 604.
- Dvoretsky S., Mikhailov N., Sidorov Yu. et al. // J. Electron. Mater. V. 39. No. 7. P. 918.
- Швец В.А., Михайлов Н.Н., Икусов Д.Г. и др. // Опт. и спектроск. 2019. Т. 127. № 8. С. 318; Shvets V.A., Mikhailov N.N., Ikusov D.G. et al. // Opt. Spectrosс. 2019. V. 127. No. 2. P. 340.
- Швец В.А. // Опт. и спектроск. 2009. Т. 107. № 5. С. 822; Shvets V.A. // Opt. Spectrosс. 2009. V. 107. P. 780.
- Швец В.А., Азаров И.А., Спесивцев Е.В. и др. // ПТЭ. 2016. № 6. С. 87; Shvets V.A., Azarov I.A., Spesivtsev E.V. et al. // Instrum. Exp. Tech. 2016. V. 59. No. 6. P. 857.
- Zholudev M., Teppe F., Orlita M. et al. // Phys. Rev. B. 2012. V. 86. Art. No. 205420.
- Pfeuffer-Jeschke A. PhD thesis. Germany: Universität Würzburg. Physikalisches Institut. 2000.
- Minkov G.M., Aleshkin V.Ya., Rut O.E. et al. // Phys. Rev. B. 2017. V. 96. Art. No. 035310.
- Novik E.G., Pfeuffer-Jeschke A., Jungwirth T. et al. // Phys. Rev. B. 2005. V. 72. Art. No. 035321.
- Takita K., Onabe K., Tanaka S. // Phys. Stat. Sol. B. 1979. V. 92. P. 297.
- Иконников А.В., Бовкун Л.С., Румянцев В.В. и др. // ФТП. 2017. Т. 51. № 12. С. 1588; Ikonnikov A.V., Bovkun L.S., Rumyantsev V.V. et al. // Semiconductors. 2017. V. 51. No. 12. P. 1531.
Supplementary files
 
				
			 
					 
						 
						 
						 
						 
				
 
  
  
  Email this article
			Email this article 







