Thermal stability of ferroelectric films based on hafnium-zirconium dioxide on silicon
- Authors: Popov V.P.1, Antonov V.A.1, Tikhonenko F.V.2, Myakonkikh A.V.1, Rudenko K.1
- 
							Affiliations: 
							- Valiev Institute of Physics and Technology of the Russian Academy of Sciences
- Федеральное государственное бюджетное учреждение науки “Институт физики полупроводников имени А.В. Ржанова Сибирского отделения Российской академии наук”
 
- Issue: Vol 87, No 6 (2023)
- Pages: 867-872
- Section: Articles
- URL: https://journal-vniispk.ru/0367-6765/article/view/135411
- DOI: https://doi.org/10.31857/S0367676523701508
- EDN: https://elibrary.ru/VMKDGC
- ID: 135411
Cite item
Full Text
Abstract
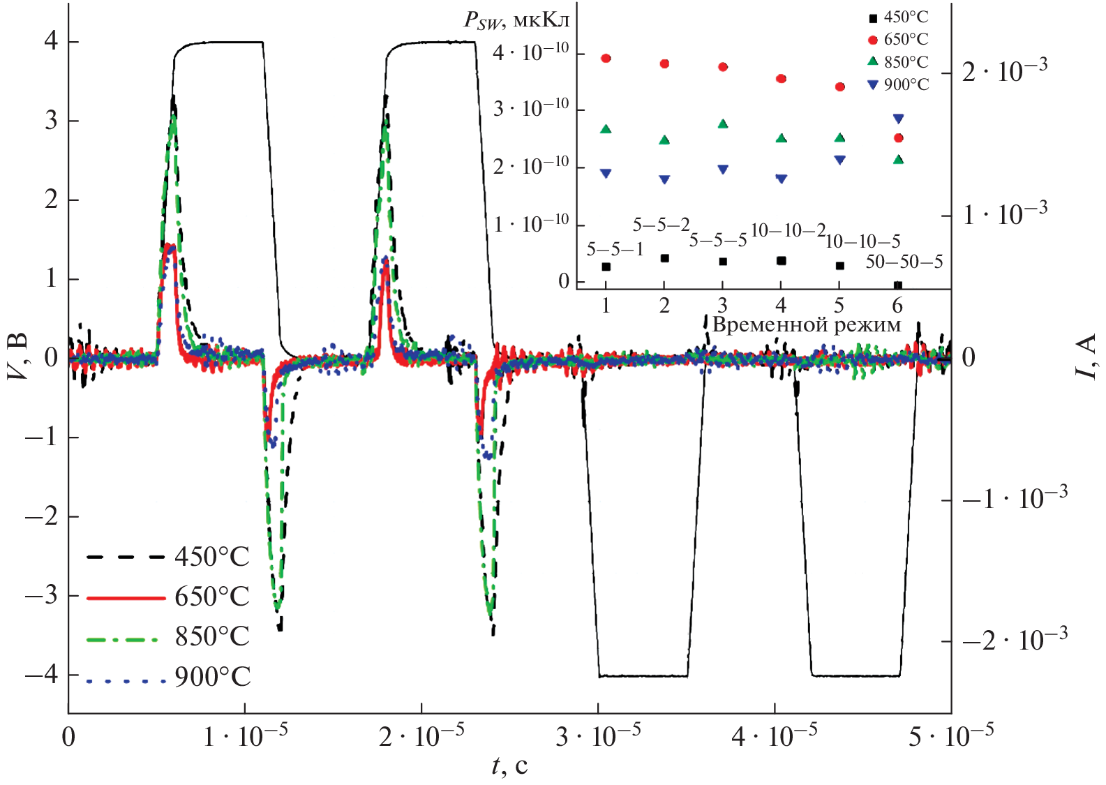
The results are presented indicating an increase in thermal stability, as well as structural and electrophysical properties of obtained by plasma-stimulated atomic layer deposition (PEALD) 20 nm ferroelectric HfO2, Hf0.5Zr0.5O2 films with the inserts of Al2O3 monolayers and without them, in metal-ferroelectric-silicon mesa structures, promising for universal memory devices.
About the authors
V. P. Popov
Valiev Institute of Physics and Technology of the Russian Academy of Sciences
							Author for correspondence.
							Email: popov@isp.nsc.ru
				                					                																			                												                								Russia, 117218, Moscow						
V. A. Antonov
Valiev Institute of Physics and Technology of the Russian Academy of Sciences
														Email: popov@isp.nsc.ru
				                					                																			                												                								Russia, 117218, Moscow						
F. V. Tikhonenko
Федеральное государственное бюджетное учреждение науки“Институт физики полупроводников имени А.В. Ржанова Сибирского отделения Российской академии наук”
														Email: popov@isp.nsc.ru
				                					                																			                												                								Россия, Новосибирск						
A. V. Myakonkikh
Valiev Institute of Physics and Technology of the Russian Academy of Sciences
														Email: popov@isp.nsc.ru
				                					                																			                												                								Russia, 117218, Moscow						
K. V. Rudenko
Valiev Institute of Physics and Technology of the Russian Academy of Sciences
														Email: popov@isp.nsc.ru
				                					                																			                												                								Russia, 117218, Moscow						
References
- Khosla R., Sharma S. // ACS Appl. Electron. Mater. 2021. V. 3. No. 7. P. 286.
- Wang D., Zhang Y., Wang J. et al. // J. Mater. Sci. Technol. 2022. V. 104. P. 1.
- Shen Y., Zhang Z., Zhang Q. et al. // RSC Advances. 2020. V. 10. P. 7812.
- Böscke T.S., Müller J., Bräuhaus D. et al. // Appl. Phys. Lett. 2011. V. 99. Art. No. 102903.
- Müller J., Yurchuk E., Schlösser T. et al. // Proc. 2012 Symp. VLSI Technology. (Honolulu, 2012). P. 25.
- Müller J., Böscke T.S., Schroder U. et al. // Nano Lett. 2012. V. 12. No. 8. P. 4318.
- Materano M., Lomenzo P.D., Kersch A. et al. // Inorg. Chem. Front. 2021. V. 8. P. 2650.
- Chen H., Zhou X., Tang L. et al. // Appl. Phys. Rev. 2022. V. 9. Art. No. 011307.
- Kim H.J., Park M.H., Kim Y.J. et al. // Appl. Phys. Lett. 2014. V. 105. Art. No. 192903.
- Migita S., Ota H., Shibuya K. et al. // Japan. J. Appl. Phys. 2019. V. 58. Art. No. SBBA07.
- Chesnokov Yu., Miakonkikh A., Rogozhin A. et al. // J. Mater. Sci. 2018. V. 53. P. 1.
- Grigoriev A., Azad M.M., McCampbell J. // Rev. Sci. Instrum. 2011. V. 82. No. 12. Art. No. 124704.
- Popov V., Antonov V., Tikhonenko F. et al. // J. Physics D. 2021. V. 54. No. 22. Art. No. 2251012021.
- Popov V.P., Tikhonenko F.V., Antonov V.A. et al. // Sol. State. Electron. 2022. V. 194. Art. No. 108348.
- Долженко Д.И., Бородзюля В.Ф., Захарова И.Б., Сударь Н.Т. // ЖТФ. 2021. Т. 91. № 1. С. 58; Dolzhenko D.I., Borodzyulya V.F., Zakharova I.B., Sudar’ N.T. // Tech. Phys. 2021. V. 66. No. 1. P. 53.
- White M.H., Adams D.A., Bu J. // IEEE Circuits Devices Mag. 2000. V. 16. P. 22.
- Zhang Y., Shao Y.Y., Lu X.B. et al. // Appl. Phys. Lett. 2014. V. 105. Art. No. 172902.
- Mikheev V., Chouprik A., Lebedinskii Y. et al. // ACS Appl. Mater. Interfaces. 2019. V. 11. No. 35. P. 32108.
- Fontanini R., Barbot J., Segatto M. // IEEE J. Electron Dev. Soc. 2022. V. 10. P. 593.
- Kim H.J., Park M.H., Kim Y.J. et al. // Appl. Phys. Lett. 2014. V. 105. Art. No. 192903.
Supplementary files
 
				
			 
					 
						 
						 
						 
						 
				
 
  
  
  Email this article
			Email this article 





