Investigation of the biexciton radiative cascade in a single InAs/GaAs quantum dot embedded in a high-Q microcavity
- Authors: Serov Y.M., Galimov A.I., Toropov A.A.
- Issue: Vol 87, No 6 (2023)
- Pages: 885-891
- Section: Articles
- URL: https://journal-vniispk.ru/0367-6765/article/view/135414
- DOI: https://doi.org/10.31857/S0367676523701533
- EDN: https://elibrary.ru/VMZVID
- ID: 135414
Cite item
Full Text
Abstract
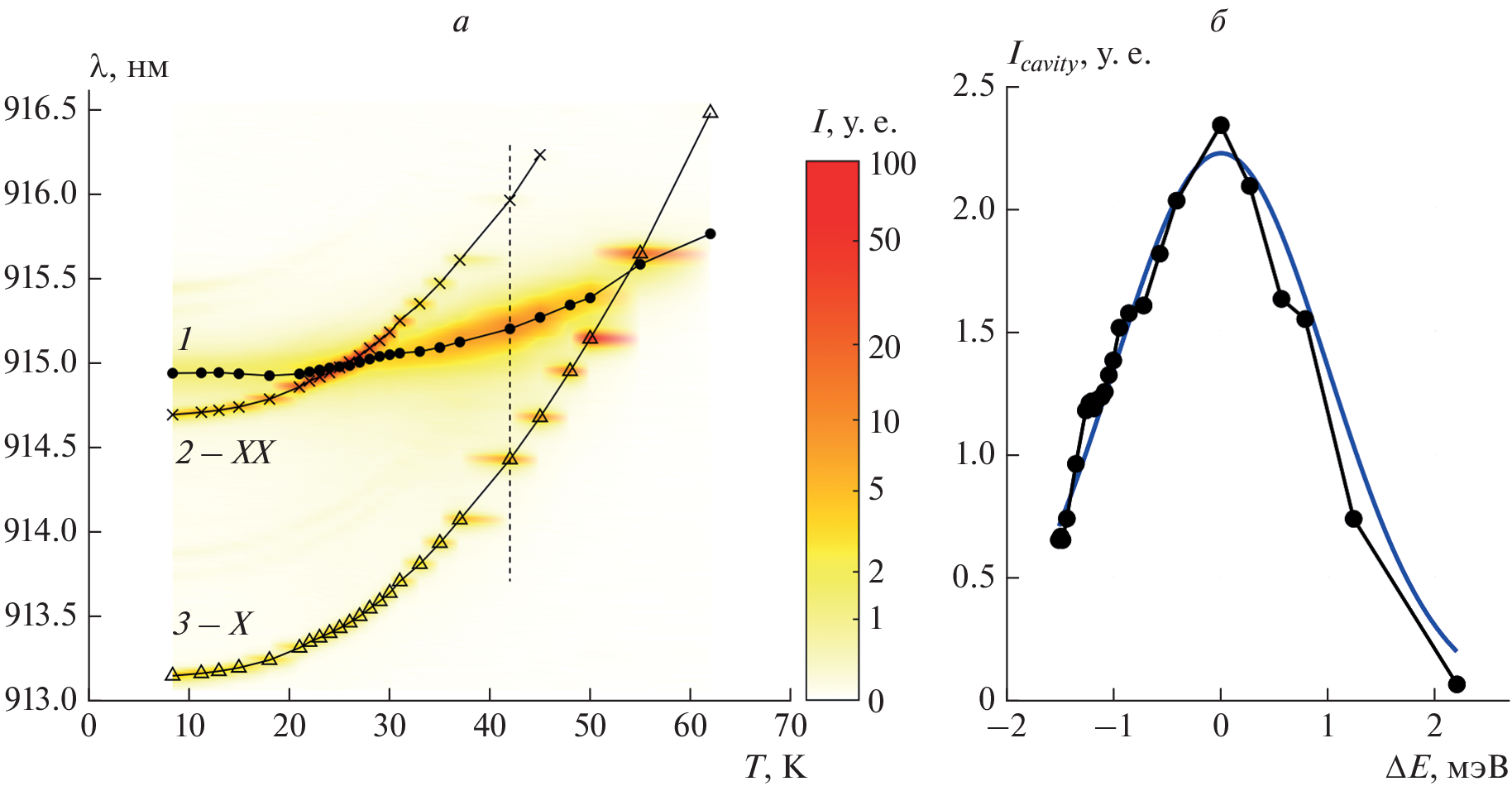
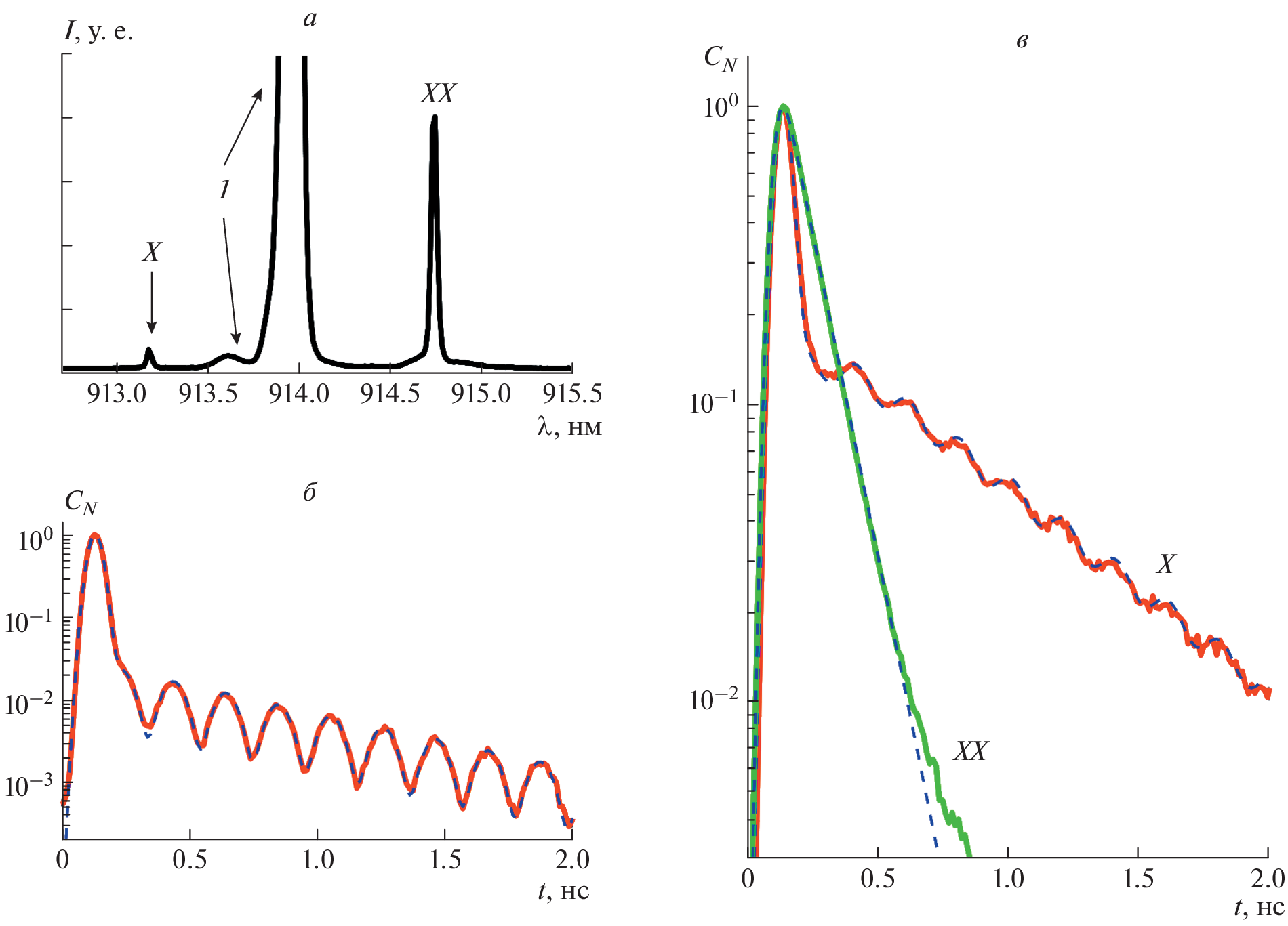
A biexciton radiative cascade was recorded in the photoluminescence spectra of an InAs/GaAs QD embedded in a λ-cavity with a relatively high-quality factor of 4600, formed in a micropillar with GaAs/AlGaAs distributed Bragg reflectors. The spectrum and kinetics of the radiation, measured under conditions of two-photon excitation, demonstrated a significant effect of the microcavity on the emission process. A possible improvement based on this effect in the generation of entangled photon pairs is discussed.
About the authors
Yu. M. Serov
							Author for correspondence.
							Email: serovjurij@mail.ru
				                					                																			                												                														
A. I. Galimov
							Author for correspondence.
							Email: serovjurij@mail.ru
				                					                																			                												                														
A. A. Toropov
							Author for correspondence.
							Email: serovjurij@mail.ru
				                					                																			                												                														
References
- Tomm N., Javadi A., Antoniadis N.O. et al. // Nature Nanotech. 2001. V. 16. No. 4. P. 399.
- Ding X., He Y., Duan Z. et al. // Phys. Rev. Lett. 2016. V. 116. No. 2. Art. No. 020401.
- Wang H., He Y.M., Chung T.H. et al. // Nature. Photon. 2019. V. 13. No. 11. P. 770.
- Prevedel R., Aspelmeyer M., Brukner C. // JOSA B. 2007. V. 24. No. 2. P. 241.
- Young R.J., Stevenson R.M., Shields A.J. // J. Appl. Phys. V. 101. No. 8. Art. No. 081711.
- Zeuner K.D., Jons K.D., Schweickert L. // ACS Photonics. 2021. V. 8. No. 8. P. 2337.
- Wang H., Hu H., Chung T.H. et al. // Phys. Rev. Lett. 2019. V. 122. No. 11. Art. No. 113602.
- Dousse A., Suffczyński J., Beveratos A. et al. // Nature. 2010. V. 466. No. 7303. P. 217.
- Schumacher S., Förstner J., Zrenner A. et al. // Opt. Express. 2012. V. 20. No. 5. P. 5335.
- Heinze D., Zrenner A., Schumacher S. // Phys. Rev. B. 2017. V. 95. No. 24. Art. No. 245306.
- Галимов А.И., Рахлин М.В., Климко Г.В. и др. // Письма в ЖЭТФ. 2021. Т. 113. № 4. С. 248; Galimov A.I., Rakhlin M.V., Klimko G.V. et al. // JETP Lett. 2021. V. 113. No. 4. P. 252.
- Müller M., Bounouar S., Jöns K.D. et al. // Nature Photonics. 2014. V. 8. No. 3. P. 224.
- Bayer M., Ortner G., Stern O. et al. // Phys. Rev. B. 2002. V. 65. No. 19. Art. No. 195315.
- Sęk G., Krizhanovskii D.N., Kulakovskii V.D. et al. // Acta Phys. Polon. 2016. V. 129. No. 1-A. Art. No. A-44.
- Ollivier H., Maillette de Buy Wenniger I., Thomas S. et al. // ACS Photonics. 2020. V. 7. No. 4. P. 1050.
Supplementary files
 
				
			 
					 
						 
						 
						 
						 
				
 
  
  
  Email this article
			Email this article 





